Игра Люцифера. Как один человек раскрыл "глобальный заговор", вышел из тюрьмы и стал миллионером - Брэдли Биркенфельд
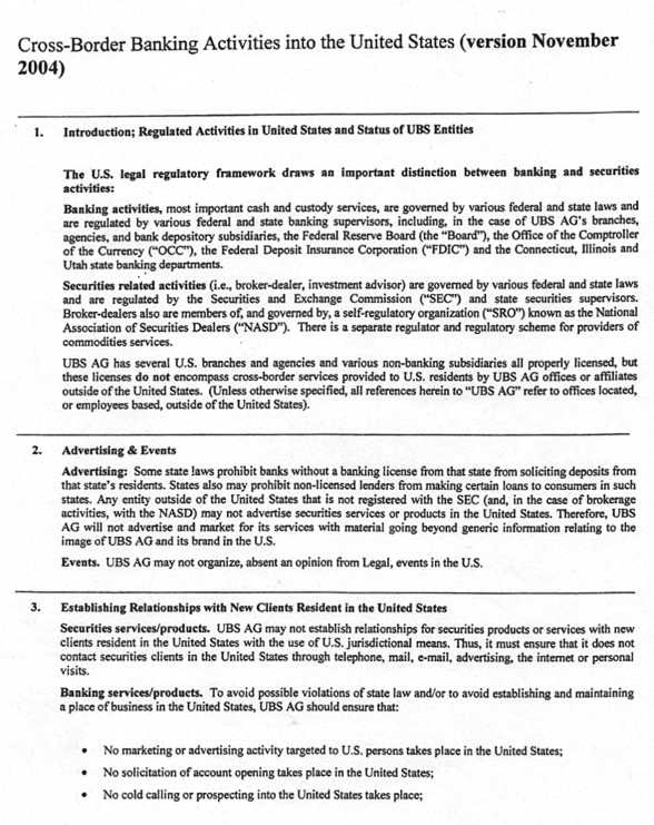
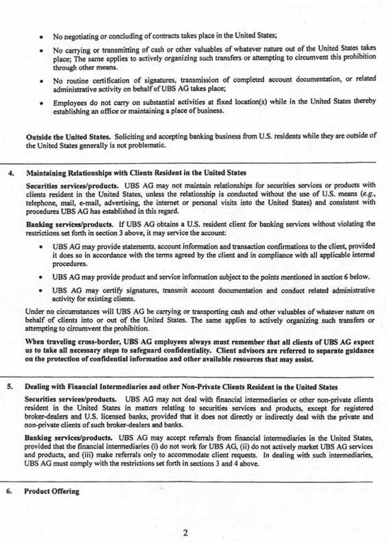
Книгу Игра Люцифера. Как один человек раскрыл "глобальный заговор", вышел из тюрьмы и стал миллионером - Брэдли Биркенфельд читаем онлайн бесплатно и без регистрации! Читать онлайн вы можете не только на компьютере, но и на андроид (Android), iPhone и iPad. Наслаждайтесь!
248 0 11:03, 26-05-2019Книга Игра Люцифера. Как один человек раскрыл "глобальный заговор", вышел из тюрьмы и стал миллионером - Брэдли Биркенфельд читать онлайн бесплатно без регистрации
Помимо организаций, помогавших изобличителям, свою роль сыграли и многие журналисты. Они проводили расследования и сообщали о незаконных действиях UBS и других частных банков, а также о том, как министерство юстиции спустя рукава относилось к своей работе по отправлению правосудия. Я хочу особенно отметить глубокую и серьезную работу следующих американских журналистов: Шэрил Аттикссон, Фабио Бенедетти-Валентини, Майкла Броннера, Джесси Друкера, Хуана Гонсалеса, Джеймса Гримальди, Дэвида Хильценрата, Уильяма Хоука, Имона Хаверса, Дженет Новак, Даниэля Рантьеса, Лору Сандерс, Дейва Соломона, Кена Стиера и Вивьен Уолт. За пределами США, где история налогового заговора частных банков и отдельных лиц только начинает раскручиваться, я бы хотел особенно отметить журналистов, которые помогли предать гласности роль UBS и других частных банков в этом заговоре: Иэна Аллисона, Тома Берджеса, Астрид Дорнер, Кэтрин Дюбулоз, Сири Гедде-Даль, Лукаса Хэссига, Мишеля Анри, Артура Хонеггера, Джона Легцинга, Маттье Пеллоли, Эдуарда Перрина, Франсуа Пиле, Валери де Сенневиль, Хейга Симоняна, Себастьяна Ситтла, Горана Скаалмо, Ноопура Тивари, Роара Вальдергоха, Мэтью Валенсиа и Маритину Зафеириаду. Уверен, что я не включил имена многих людей, внесший ценный вклад в расследование этого глобального мошенничества, приношу за это свои извинения и выражаю всем этим людям свою искреннюю благодарность.
Я бросил вызов крупнейшему банку мира, не до конца понимая, с какими последствиями сталкиваются изобличители. Мне посчастливилось встретить в последние годы нескольких настоящих героев, рискнувших всем ради раскрытия преступлений. Хочу поблагодарить Гарри Маркополоса, раскрывшего мошенническую «схему Понци», созданную Берни Мэдоффом, и многих других изобличителей за их отважные усилия. Мы обязаны признать важность вклада, внесенного этими людьми в развитие нашего общества, и всячески поддерживать законодательные акты и программы, помогающие защищать их работу и обеспечивающие им достойную компенсацию.
Я хочу поблагодарить всех тех, кто помогал мне в создании этой книги. Спасибо моим друзьям, семье и коллегам — я очень ценю все то, что вы делаете, чтобы рассказать всему миру о моей жизни. Вы помогли мне описать жизнь частного банкира и сделали все для того, чтобы мой рассказ не ушел в сторону. Также я бы хотел поблагодарить Эрика Раймана за помощь в путешествии по таинственному миру законодательства, связанного с произведениями литературы и искусства.
Я всегда буду безгранично признателен моим дорогим друзьям Фрицу Беллу (светлая память!) и Уиллу Фрегози, которые дали мне кров, работу и возможность общения после освобождения из тюрьмы. Они помогли мне снова встать на ноги, гордились моими действиями по изобличению преступников и всячески поощряли меня к тому, чтобы я рассказал эту историю всему миру.
И наконец, я очень благодарен Стивену Хартову за множество часов, в течение которых он терпеливо изучал историю и тщательно погружался в жизнь частного банкира. Спасибо ему за вдумчивое исследование моего исторического изобличения и моей драматической битвы против министерства юстиции. Стивен смог мастерски передать в книге мои интонации, и нам удалось удачно рассказать неслыханную историю о том, как я разрушил секретность швейцарской банковской системы.
Мое историческое изобличение позволило открыть лишь одну из многих незаконных схем, реализованных UBS в недавние годы. И хотя действия по уходу от налогов, которые я предал огласке, имели очень крупные последствия, другие известные схемы с участием UBS позволяют понять, с каким пренебрежением относился банк к законам, работая по всему миру.
1. 10 мая 2004 года — незаконный перевод валюты США в страны, находящиеся под эмбарго.
ШТРАФ: 100 миллионов долларов.
2. 18 февраля 2009 года — уклонение от уплаты налогов в США с помощью офшорных схем.
ШТРАФ: 780 миллионов долларов.
3. 4 мая 2011 года — мошенничество с ценными бумагами на рынке деривативов (мини-бондов).
ШТРАФ: 160 миллионов долларов.
4. 26 ноября 2012 года — вышедший из повиновения британский трейдер потерял 2,3 миллиарда долларов.
ШТРАФ: 47,6 миллиона долларов.
5. 19 декабря 2012 года — махинации со ставкой LIBOR на валютном рынке.
ШТРАФ: 1,5 миллиарда долларов.
6. 25 июля 2013 года — мошенничество на рынке ценных бумаг, обеспеченных закладными.
ШТРАФ: 885 миллионов долларов.
7. 29 июля 2014 года — уклонение от уплаты налогов в Германии с помощью офшорных схем.
ШТРАФ: 403 миллиона долларов.
8. 30 сентября 2014 года — уклонение от уплаты налогов во Франции и отмывание денег.
ШТРАФ: 1,4 миллиарда долларов.
9. 20 мая 2015 года — скандал на рынке валют и LIBOR.
ШТРАФ: 545 миллионов долларов.
10. 10 марта 2016 года — признание незаконными премий, выплаченных банкирам UBS.
ШТРАФ: 130 миллионов долларов.

UBS
Частное банковское обслуживание
Конфиденциальность клиента банка в Швейцарии Июнь 2003 г.
Эта презентация UBS описывает причины, по которым клиенты UBS были некорректно проинформированы о том, что они находятся под защитой банковской тайны.
Именно этот меморандум UBS был основной причиной, по которой Брэд решил осуществить свое историческое изобличение.
Прочитали книгу? Предлагаем вам поделится своим впечатлением! Ваш отзыв будет полезен читателям, которые еще только собираются познакомиться с произведением.
Уважаемые читатели, слушатели и просто посетители нашей библиотеки! Просим Вас придерживаться определенных правил при комментировании литературных произведений.
Просьба отказаться от дискриминационных высказываний. Мы защищаем право наших читателей свободно выражать свою точку зрения. Вместе с тем мы не терпим агрессии. На сайте запрещено оставлять комментарий, который содержит унизительные высказывания или призывы к насилию по отношению к отдельным лицам или группам людей на основании их расы, этнического происхождения, вероисповедания, недееспособности, пола, возраста, статуса ветерана, касты или сексуальной ориентации. Просьба отказаться от оскорблений, угроз и запугиваний. Просьба отказаться от нецензурной лексики. Просьба вести себя максимально корректно как по отношению к авторам, так и по отношению к другим читателям и их комментариям.
Надеемся на Ваше понимание и благоразумие. С уважением, администратор My-Books.me.
Оставить комментарий
-
Александра15 январь 09:37
Очень интересная книга! Особенно, если любишь психологию и хочешь понимать себя и других. Обязательно послушаю до конца. Спасибо....
Кригер Борис – Гнев
-
Галина25 май 13:02
Очень уважаю Артема Шейнина, книга замечательная, очень мне близкая по духу.Перечитываю уже второй раз, столько пережитого и не...
Мне повезло вернуться - Артем Шейнин
-
Екатерина11 январь 08:05
Доброе утро. Подскажите пожалуйста как сохранять книги, ставить закладки?...
Подонок - Анастасия Леманн