Бот - Максим Кидрук
Книгу Бот - Максим Кидрук читаем онлайн бесплатно и без регистрации! Читать онлайн вы можете не только на компьютере, но и на андроид (Android), iPhone и iPad. Наслаждайтесь!
333 0 22:27, 10-05-2019Книга Бот - Максим Кидрук читать онлайн бесплатно без регистрации
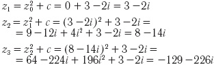
Возьмем для примера c = 3 –2i.
Тогда первые три члена последовательности будут равняться:

и так далее…
Что же там исследовать, спросите вы? Да почти ничего. Каждое из новых полученных zi также является комплексным числом и, соответственно, обозначается такой точкой на комплексной площади. Математики еще задолго до Мандельброта заметили, что некоторые zi стремятся к бесконечности, а другие — группируются, то есть направляются к какому-то конкретному числу. Такое странное поведение не подчинялось никаким теориям, аналитически его не смогли объяснить. Ученых заинтересовало, какую геометрическую фигуру образует эта совокупность точек последовательности zi+1 = zi2 + c. Круг? Эллипс? Возможно, хаотический набор точек? Какой-нибудь сложный рисунок?
До появления ЭВМ определить это не удавалось. Бенуа Мандельброт первым применил ЭВМ и графическую систему для решения такой задачи. К последовательности z → z2 + c Мандельброта подтолкнули длительные раздумья о разительном сходстве при рассматривании береговой линии, горного рельефа и других природных объектов в разных масштабах.
Также Мандельброт взялся за построение. Если точка не стремилась к бесконечности, компьютер изображал ее черным цветом на комплексной площади. В другом случае точка оставалась белой.
К своему удивлению, Мандельброт получил фигуру, напоминающую кардиоиду с многочисленными присоединенными к ней овалами. Он не ожидал, что простая на вид формула может дать настолько сложное изображение. Но главное удивление ожидало его впереди.

Множество Мандельброта на комплексной плоскости
Мандельброт выбрал часть изображения и увеличил ее, подбирая начальные точки z0 с большой точностью. Открывшаяся картина поразила его. То, что на большом изображении казалось точкой или невыразительным пятном, при увеличении оказалось удивительным узором, в котором то тут, то там попадалась точная копия главного изображения — фантастической кардиоиды. Дальнейшие увеличения открывали перед Бенуа еще более невероятные узоры, все части которых были соединены между собой. При данном увеличении математик видел точку. Но стоило углубиться, как эта точка превращалась в фантастически закрученные галактики.
Мандельброт не мог поверить в то, что видит. Рисунок был плоским, но математик углублялся в него, как будто тот был трехмерным. Это все равно что заглянуть в собственный шкаф с одеждой и вдруг обнаружить за ним портал, ведущий на другую планету, ландшафты которой настолько прекрасны, что просто нельзя описать словами. Это не укладывалось в голове. Такого не могло быть! Невиданная безграничность форм и образов просто не могла прятаться в настолько простой, банальной алгебраической формуле. Но это еще не все.

Увеличенный фрагмент множества Мандельброта
Мандельброт отметил, что разные точки, не принадлежащие множеству, стремятся к бесконечности с разной скоростью. Для начала он решил сделать примитивное разделение, немного расширив условия построения изображения. Теперь точки разделялись на три категории: не стремящиеся к бесконечности, стремящиеся с умеренной скоростью и уходящие в бесконечность «быстро».
Мандельброт получил следующий рисунок.

Множество Мандельброта (серым цветом изображены точки, стремящиеся к бесконечности с «медленной» скоростью)
После этого он еще более развил метод графического изображения и присвоил каждой точке определенный оттенок серого в зависимости от скорости ее удаления от нуля. На границах фрактала Мандельброт получил невероятной красоты узоры, описываемые одной-единственной простой формулой.
Сравнительные размеры самолетов, описанных в романе
Прочитали книгу? Предлагаем вам поделится своим впечатлением! Ваш отзыв будет полезен читателям, которые еще только собираются познакомиться с произведением.
Уважаемые читатели, слушатели и просто посетители нашей библиотеки! Просим Вас придерживаться определенных правил при комментировании литературных произведений.
Просьба отказаться от дискриминационных высказываний. Мы защищаем право наших читателей свободно выражать свою точку зрения. Вместе с тем мы не терпим агрессии. На сайте запрещено оставлять комментарий, который содержит унизительные высказывания или призывы к насилию по отношению к отдельным лицам или группам людей на основании их расы, этнического происхождения, вероисповедания, недееспособности, пола, возраста, статуса ветерана, касты или сексуальной ориентации. Просьба отказаться от оскорблений, угроз и запугиваний. Просьба отказаться от нецензурной лексики. Просьба вести себя максимально корректно как по отношению к авторам, так и по отношению к другим читателям и их комментариям.
Надеемся на Ваше понимание и благоразумие. С уважением, администратор My-Books.me.
Оставить комментарий
-
Александра15 январь 09:37
Очень интересная книга! Особенно, если любишь психологию и хочешь понимать себя и других. Обязательно послушаю до конца. Спасибо....
Кригер Борис – Гнев
-
Галина25 май 13:02
Очень уважаю Артема Шейнина, книга замечательная, очень мне близкая по духу.Перечитываю уже второй раз, столько пережитого и не...
Мне повезло вернуться - Артем Шейнин
-
Екатерина11 январь 08:05
Доброе утро. Подскажите пожалуйста как сохранять книги, ставить закладки?...
Подонок - Анастасия Леманн