120 лет жизни – только начало. Как победить старение? - Алексей Москалев
Книгу 120 лет жизни – только начало. Как победить старение? - Алексей Москалев читаем онлайн бесплатно и без регистрации! Читать онлайн вы можете не только на компьютере, но и на андроид (Android), iPhone и iPad. Наслаждайтесь!
208 0 01:16, 14-05-2019Книга 120 лет жизни – только начало. Как победить старение? - Алексей Москалев читать онлайн бесплатно без регистрации
К счастью, все больше современных врачей высказываются за то, чтобы признать старение болезнью, и у них на это есть серьезные причины. Как считает доктор А. В. Древаль, «до тех пор, пока старение не относится к категории болезни, оно не является медицинской проблемой и практически отдано на откуп парамедицинским специальностям (биологические добавки, немедицинская косметология и т. п.)». Чтобы проиллюстрировать, насколько недальновидно по-прежнему считать старение «естественным» процессом, который не требует лечения, приведем несколько важных фактов.

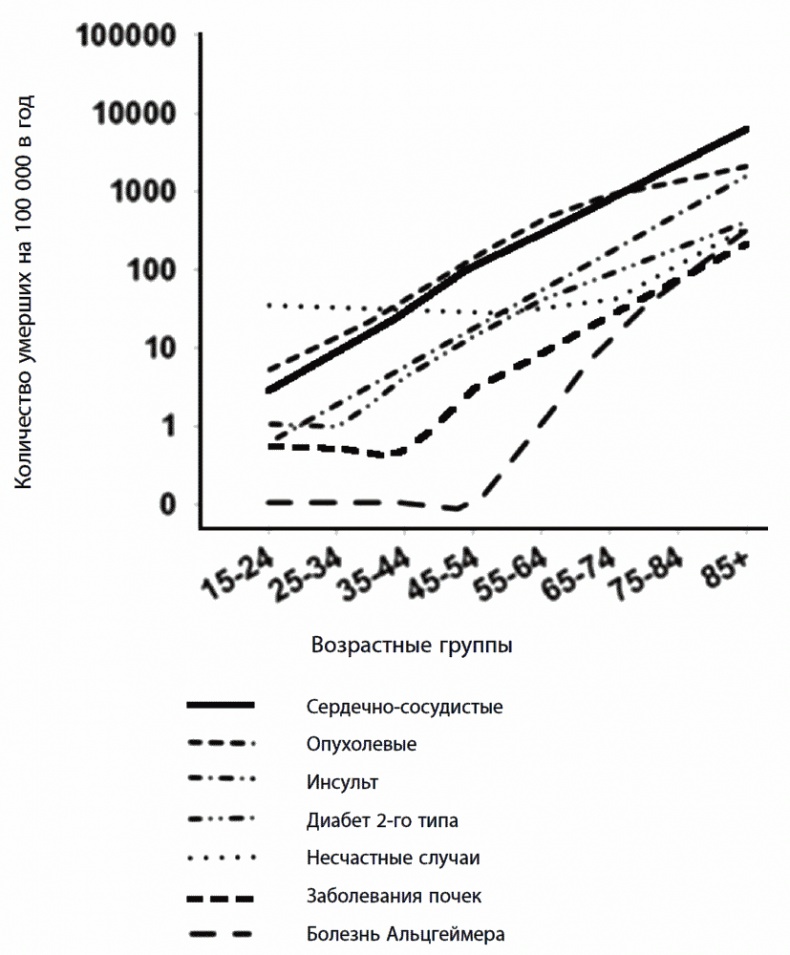
Рис. 7. Смертность человека от наиболее распространенных заболеваний в зависимости от возраста
Старение — убийца «номер один» во всем мире. Об этом говорят данные Всемирной организации здравоохранения. Среди 10 ведущих причин смертности в настоящее время лидируют ишемическая болезнь сердца, инсульт и другие цереброваскулярные болезни, рак, сахарный диабет. Смертность от данных причин лавинообразно нарастает с возрастом (рис. 7). Именно старение организма — ухудшение функциональных возможностей различных систем и органов — является основным фактором развития этих и многих других болезней (рис. 8).

Рис. 8. Возраст-зависимые заболевания, в основе развития которых лежит старение
И это еще не все. На фоне развития возраст-зависимых болезней увеличиваются и риски людей погибнуть от их последствий. Например, частота несчастных случаев как причин гибели после 65 лет начинает увеличиваться. По-видимому, это связано с прогрессирующим старением нервно-мышечной системы, нарушениями зрения, слуха, равновесия, координации движений. Расстройства мышления при болезни Альцгеймера ведут к неспособности человека заботиться о себе, своем здоровье и безопасности и тоже вносят свой вклад в гибель людей. Разве не очевидно, что старение играет роль спускового крючка, запускающего развитие каждой из связанных с возрастом патологий и сопутствующих рисков? К сожалению, современная медицина борется не с причиной, а со следствиями, что заведомо приносит меньший успех. Действительно, даже если устранить болезнь Альцгеймера или рак, человек продолжит умирать от других болезней старости, список которых очень и очень велик. Да и сама вероятность побороть конкретные возраст-зависимые заболевания без устранения главной причины выглядит иллюзорной.
Цепочку печальных последствий можно продлить. Снижение здоровья, упадок физических сил постепенно отнимают у пожилых людей работоспособность, ведут к бедности, социальной изоляции, к дискриминации. Государство вынуждено вкладывать все больше средств как в социальную поддержку, так и в лечение пожилых людей — причем без перспективы их вылечить, так как, напомним, без воздействия на причины старения это вряд ли получится!
Старение населения в мире идет возрастающими темпами, как показал А. Жаворонков в своей книге «The Ageless Generation» («Нестареющее поколение»), в скором времени есть вероятность обрушения пенсионной системы в ведущих экономиках мира. Если система здравоохранения по-прежнему будет ориентирована только лишь на лечение возрастных заболеваний, без перехода к их долгосрочной профилактике, благосостояние людей всех возрастов во многих странах мира может оказаться под угрозой.
Есть и еще один дискуссионный аспект проблемы. Отсутствие старения в перечне заболеваний тормозит целенаправленное создание фармпрепаратов и методов лечения, направленных против старения. Большие игроки на рынке фармакологической продукции признают, что бороться с причиной эффективнее, чем со следствиями. В частности, гендиректор компании AstraZeneca Паскаль Сорио считает старение болезнью, которая настигает нас, даже если мы ведем рациональный и здоровый образ жизни. Он признает, что эту болезнь надо лечить. Однако пока старение не названо болезнью в ряде официальных правовых документов, препараты для лечения старения просто не получится зарегистрировать и выпустить на рынок. А зачем производить то, что не получится продать?..
Высказываются сомнения в том, что лекарства против старения будут доступны всем через государственную систему здравоохранения. Действительно, поначалу любая новая технология является дорогой, но, как мы можем наблюдать на примере стоимости расшифровки геномов людей или, например, мобильной связи, радикальное снижение ее может произойти буквально за несколько лет. Прогресс не стоит на месте, новая технология по мере совершенствования оказывается все более экономичной в производстве и при этом более производительной. Между тем стоит помнить, что основой развития экономики государства выступает население, а конкретнее — трудоспособное население. Другими словами, государство заинтересовано в трудоспособности как можно большего числа граждан. Вопрос о бесплатном предоставлении инсулина был поднят не только из соображений гуманизма, но и из-за того, что государству выгоднее трудоспособные, а не находящиеся в больнице диабетики. Постепенное внедрение в систему здравоохранения высокотехнологичной медицинской помощи, расширение видов такой помощи связано с тем, что это экономически оправданно в долгосрочной перспективе: здоровый человек с высокой ожидаемой продолжительностью жизни — это активный налогоплательщик и создатель материальных благ.
Время от времени мы слышим пожелание вместо разработки технологий контроля над старением направить средства на что-то другое, что кажется более актуальным, — «на лечение больных детей», «на детские сады», «на пенсии». Но мы усматриваем в таких высказываниях некоторый недостаток логики. Не надо лечить старение, потому что мало детских садов? Построенные детские сады не помогут вылечить возрастные болезни, и маленькие люди, вышедшие из них, будут страдать раком, болезнью Альцгеймера, старческим диабетом, инсультами и артритом так же, как и их родители — разве такого будущего мы хотим для них на самом деле? Не надо лечить старение, лучше отдать эти деньги пожилым на пенсии? Но ведь если старение будет побеждено, пожилые люди будут иметь возможность работать, что повысит их достаток гораздо сильнее, чем мизерная надбавка к пенсии, соответствующая разделенной на всех стоимости конкретных исследований. Не лучше ли вместо нее приобрести благодаря науке дополнительные годы здоровья и жизни для своих потомков? То же самое следует сказать насчет перенаправления средств в систему здравоохранения. Отличия в уровне медицинского обслуживания будут несущественны на фоне таких небольших вливаний, а вот потенциал лечения старости, который можно создать на эти средства, трудно переоценить.
Не менее часто, чем призыв к перераспределению средств, мы слышим опасения, что долгожители будут не востребованы в связи с устареванием их трудовых специальностей, в то время как средств на переобучение у этой категории населения обычно нет. Действительно, структура занятости меняется, и становится необходимым обучение на протяжении всей жизни. Но и здесь развитие новых технологий открывает новые перспективы. В данный момент уже существует несколько организаций, предоставляющих желающим возможность бесплатного и, что немаловажно, дистанционного обучения по программам ведущих университетов мира. Такие организации работают и в России, что одновременно с удешевлением стоимости компьютерной техники и доступа в Интернет делает эти сервисы еще более доступными широкому кругу людей. При желании учиться любой человек любого возраста может приобрести интересующую его специальность, получить новые навыки, овладеть иностранными языками.
Прочитали книгу? Предлагаем вам поделится своим впечатлением! Ваш отзыв будет полезен читателям, которые еще только собираются познакомиться с произведением.
Уважаемые читатели, слушатели и просто посетители нашей библиотеки! Просим Вас придерживаться определенных правил при комментировании литературных произведений.
Просьба отказаться от дискриминационных высказываний. Мы защищаем право наших читателей свободно выражать свою точку зрения. Вместе с тем мы не терпим агрессии. На сайте запрещено оставлять комментарий, который содержит унизительные высказывания или призывы к насилию по отношению к отдельным лицам или группам людей на основании их расы, этнического происхождения, вероисповедания, недееспособности, пола, возраста, статуса ветерана, касты или сексуальной ориентации. Просьба отказаться от оскорблений, угроз и запугиваний. Просьба отказаться от нецензурной лексики. Просьба вести себя максимально корректно как по отношению к авторам, так и по отношению к другим читателям и их комментариям.
Надеемся на Ваше понимание и благоразумие. С уважением, администратор My-Books.me.
Оставить комментарий
-
Александра15 январь 09:37
Очень интересная книга! Особенно, если любишь психологию и хочешь понимать себя и других. Обязательно послушаю до конца. Спасибо....
Кригер Борис – Гнев
-
Галина25 май 13:02
Очень уважаю Артема Шейнина, книга замечательная, очень мне близкая по духу.Перечитываю уже второй раз, столько пережитого и не...
Мне повезло вернуться - Артем Шейнин
-
Екатерина11 январь 08:05
Доброе утро. Подскажите пожалуйста как сохранять книги, ставить закладки?...
Подонок - Анастасия Леманн