Латинский язык для медиков. Конспект лекций - А. Штунь
Книгу Латинский язык для медиков. Конспект лекций - А. Штунь читаем онлайн бесплатно и без регистрации! Читать онлайн вы можете не только на компьютере, но и на андроид (Android), iPhone и iPad. Наслаждайтесь!
250 0 09:59, 12-05-2019Книга Латинский язык для медиков. Конспект лекций - А. Штунь читать онлайн бесплатно без регистрации
Только за последние несколько лет на страницах газет и журналов, в выступлениях депутатов замелькали новые для нашей политической жизни слова латинского происхождения: плюрализм (pluralis – «множественный»), конверсия (conversio – «превращение», «изменение»), консенсус (consensus – «согласие», «договоренность»), спонсор (sponsor – «попечитель»), ротация (rotatio – «круговое движение») и др.
NB!
1. Запомните начертания и названия букв латинского алфавита.
2. Научитесь произносить звуки, которые обозначаются этими буквами.
3. Буква и звук – не одно и то же. Не подменяйте эти понятия.
Латинский алфавит, которым пользуются в современных учебниках, справочниках и словарях, состоит из 25 букв.
Ниже дается традиционное чтение латинских букв, принятое в русской учебной практике.
Таблица 1. Латинский алфавит

С прописной буквы в латинском языке пишутся собственные имена, названия месяцев, народов, географические названия и прилагательные, образованные от них. В фармацевтической терминологии с прописной буквы принято писать также названия растений и лекарственных веществ.
Примечания
1. Большинство букв латинского алфавита произносятся так же, как в различных западноевропейских языках, однако некоторые буквы в этих языках называются иначе, чем в латинском; например буква h называется в немецком языке «ха», во французском – «аш», в английском – «эйч», а в латинском – «га». Буква j во французском языке называется «жи», в английском – «джей», а в латинском – «йот». Латинская буква «с» в английском называется «си» и т. п.
2. Нужно иметь в виду, что одна и та же буква может обозначать в этих языках неодинаковый звук. Например, звук, обозначенный буквой g, в латинском языке произносится как [г], а во французском и английском перед е, i – как [ж] или [джь]; в английском j читается как [дж].
3. Латинская орфография фонетическая, она воспроизводит действительное произношение звуков. Сравните: лат. latina [латина], англ. latin [laetin] – латинский.
Особенно заметна разница при сравнении гласных в латинском и английском языках. В латинском языке почти все гласные всегда произносятся так же, как соответствующие гласные в русском языке.
4. Как правило, наименования не из латинского языка, а из других языков (греческого, арабского, французского и др.) латинизируются, т. е. оформляются в соответствии с правилами фонетики и грамматики латинского языка.
«Е е» читается как [э]: vertebra [вэ'ртэбра] – позвонок, medianus [мэдиа'нус] – срединный.
В отличие от русских никакие латинские согласные перед звуком [е] не смягчаются: anterior [антэ'риор] – передний, arteria [артэ'риа] – артерия.
«I i» читается как [и]: inferior [инфэ'риор] – нижний, internus [интэ'рнус] – внутренний.
В начале слова или слога перед гласными i читается как звонкий согласный [й]: iugularis [югуля'рис] – яремный, iunctura [юнкту'ра] – соединение, maior [ма'йор] – большой, iuga [ю'га] – возвышение.
В указанных позициях в современной медицинской терминологии вместо i используется буква J j – йот: jugularis [югуля'рис], juncture [юнкту'ра], major [ма'йор], juga [ю'га].
Буква j не пишется только в словах, заимствованных из греческого языка, так как в нем не было звука [й]: iatria [иа'трия] – врачевание, iodum [ио'дум] – йод.
NB!
Для передачи звуков [йа], [йо], [ие], [ йу] используются сочетания букв ja, jo, je, ju.
Y у (ипсилон), по-французски «игрек», читается как [и]: tympanum [ти'мпанум] – барабан; gyrus [ги'рус] – извилина мозга. Буква «ипсилон» употребляется только в словах греческого происхождения. Она введена римлянами для передачи буквы греческого алфавита ипсилон, которая читалась как немецкое [и]. Если греческое слово писалось через i (греч. йота), читаемое как [и], то на латинский язык оно транскрибировалось через i.
NB!
В целях грамотного написания медицинских терминов необходимо знать некоторые наиболее распространенные греческие приставки и корни, в которых пишется «ипсилон»:
dys[дис-] – приставка, придающая термину значение нарушения, расстройства функции: dysostosis (dys+ osteon – «кость») – дизостоз – расстройство образования кости;
hypo[гипо-] – «под», «ниже»: hypoderma (hypo + derma – «кожа») – гиподерма – подкожная клетчатка, hypogastrium (hypo-+ gaster – «живот», «желудок») – гипогастрий – подчревье;
hyper[гипер-] – «над», «сверх»: hyperostosis (hyper + osteon – «кость») – гиперостоз – патологическое разрастание неизмененной костной ткани;
syn-, sym[син-, сим-] – «с», «вместе», «совместно»: synostosis (syn + osteon – «кость») – синостоз – соединение костей посредством костной ткани;
mу(о)[мио-] – корень слова, указывающий на отношение к мышцам: myologia (myo + logos – «слово», «учение») – миология – учение о мышцах;
phys[физ-] – корень слова, указывающий в анатомических терминах на отношение к чему-то растущему в определенном месте: diaphysis – диафиз (в остеологии) – средняя часть трубчатой кости.
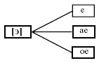
Кроме простых гласных [а], [е], [i], [о], [и], в латинском языке существовали также двугласные звуки (дифтонги) ае, ое, аи, ей. В классическую эпоху все они произносились с неслоговым вторым элементом. Позднее дифтонги ае [из ai] и ое [из oi] стали произноситься как один звук, т. е. превратились в монофтонги, изображаемые двумя буквами, – так называемые диграфы.
Диграф ае читается как [э]: vertebrae [вэ'ртэбрэ] – позвонки, peritonaeum [пэритонэ'ум] – брюшина.
Диграф ое читается как [э], точнее, как немецкое o или французское ое: foetor [фэтор]– дурной запах.
В большинстве случаев дифтонги ае и ое, встречающиеся в медицинских терминах, служили для передачи на латинском языке греческих дифтонгов ai и oi. Например: oedema [эдэ'ма] – отек, oesophagus [эзо'фагус] – пищевод.

Если в сочетаниях ае и ое гласные относятся к разным слогам, т. е. не составляют дифтонга, тогда над е ставится знак разделения (``) и каждый гласный произносится раздельно: diploё [диплоэ] – диплоэ – губчатое вещество плоских костей черепа; аёr [аэр] – воздух.
Прочитали книгу? Предлагаем вам поделится своим впечатлением! Ваш отзыв будет полезен читателям, которые еще только собираются познакомиться с произведением.
Уважаемые читатели, слушатели и просто посетители нашей библиотеки! Просим Вас придерживаться определенных правил при комментировании литературных произведений.
Просьба отказаться от дискриминационных высказываний. Мы защищаем право наших читателей свободно выражать свою точку зрения. Вместе с тем мы не терпим агрессии. На сайте запрещено оставлять комментарий, который содержит унизительные высказывания или призывы к насилию по отношению к отдельным лицам или группам людей на основании их расы, этнического происхождения, вероисповедания, недееспособности, пола, возраста, статуса ветерана, касты или сексуальной ориентации. Просьба отказаться от оскорблений, угроз и запугиваний. Просьба отказаться от нецензурной лексики. Просьба вести себя максимально корректно как по отношению к авторам, так и по отношению к другим читателям и их комментариям.
Надеемся на Ваше понимание и благоразумие. С уважением, администратор My-Books.me.
Оставить комментарий
-
Александра15 январь 09:37
Очень интересная книга! Особенно, если любишь психологию и хочешь понимать себя и других. Обязательно послушаю до конца. Спасибо....
Кригер Борис – Гнев
-
Галина25 май 13:02
Очень уважаю Артема Шейнина, книга замечательная, очень мне близкая по духу.Перечитываю уже второй раз, столько пережитого и не...
Мне повезло вернуться - Артем Шейнин
-
Екатерина11 январь 08:05
Доброе утро. Подскажите пожалуйста как сохранять книги, ставить закладки?...
Подонок - Анастасия Леманн