Неизвестный Сикорский. "Бог" вертолетов - Вадим Михеев
Книгу Неизвестный Сикорский. "Бог" вертолетов - Вадим Михеев читаем онлайн бесплатно и без регистрации! Читать онлайн вы можете не только на компьютере, но и на андроид (Android), iPhone и iPad. Наслаждайтесь!
283 0 08:37, 22-05-2019Книга Неизвестный Сикорский. "Бог" вертолетов - Вадим Михеев читать онлайн бесплатно без регистрации
Слова И. И. Сикорского: „нам нужно работать, а главное, учиться тому, что поможет нам восстановить Родину, когда она того от нас потребует…“, подтвержденные им на деле, должны найти отклик в душе каждого русского человека, которому дорога была его Родина не только в дни ее величия, но и в дни ее падения, неслыханного позора и унижения.
Эта работа над перевоспитанием самого себя должна глубоко проникнуть в сознание всех русских людей, не склонивших свою выю под ярмо утопического коммунизма»[6].
С думой о судьбе России заканчивал свой жизненный путь и другой герой нашей книги.
Сикорский оставил нам кроме авиационных шедевров и великое наследие своих философских выводов о смысле человеческой жизни, ценность которых на фоне последних мировых событий постоянно возрастает.
Теперь, проследив весь творческий путь Игоря Ивановича Сикорского, мы можем с уверенностью сказать, что он был величайшим авиаконструктором ХХ века. Имя его золотыми буквами навечно вписано в историю мировой авиации.
Да не оскудеет такими талантами Россия!
I. Летно-технические данные самолетов И. И. Сикорского
II. Летно-технические данные вертолетов И. И. Сикорского
III. Характеристики авиационного двигателя И. И. Сикорского МРБ-6 (мотор русско-балтийский — 6-цилиндровый)
IV. Характеристики аэросаней И. И. Сикорского
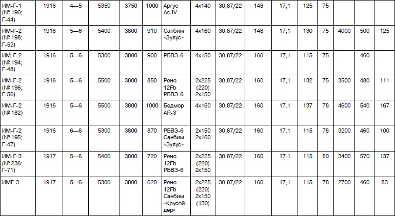
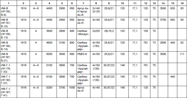
V. Модификации самолетов «Илья Муромец»

Прочитали книгу? Предлагаем вам поделится своим впечатлением! Ваш отзыв будет полезен читателям, которые еще только собираются познакомиться с произведением.
Уважаемые читатели, слушатели и просто посетители нашей библиотеки! Просим Вас придерживаться определенных правил при комментировании литературных произведений.
Просьба отказаться от дискриминационных высказываний. Мы защищаем право наших читателей свободно выражать свою точку зрения. Вместе с тем мы не терпим агрессии. На сайте запрещено оставлять комментарий, который содержит унизительные высказывания или призывы к насилию по отношению к отдельным лицам или группам людей на основании их расы, этнического происхождения, вероисповедания, недееспособности, пола, возраста, статуса ветерана, касты или сексуальной ориентации. Просьба отказаться от оскорблений, угроз и запугиваний. Просьба отказаться от нецензурной лексики. Просьба вести себя максимально корректно как по отношению к авторам, так и по отношению к другим читателям и их комментариям.
Надеемся на Ваше понимание и благоразумие. С уважением, администратор My-Books.me.
Оставить комментарий
-
Александра15 январь 09:37
Очень интересная книга! Особенно, если любишь психологию и хочешь понимать себя и других. Обязательно послушаю до конца. Спасибо....
Кригер Борис – Гнев
-
Галина25 май 13:02
Очень уважаю Артема Шейнина, книга замечательная, очень мне близкая по духу.Перечитываю уже второй раз, столько пережитого и не...
Мне повезло вернуться - Артем Шейнин
-
Екатерина11 январь 08:05
Доброе утро. Подскажите пожалуйста как сохранять книги, ставить закладки?...
Подонок - Анастасия Леманн