» » » Боевая машина Гизы - Джозеф Фаррелл

Боевая машина Гизы - Джозеф Фаррелл

Книгу Боевая машина Гизы - Джозеф Фаррелл читаем онлайн бесплатно и без регистрации! Читать онлайн вы можете не только на компьютере, но и на андроид (Android), iPhone и iPad. Наслаждайтесь!

261 0 06:06, 26-05-2019
Боевая машина Гизы - Джозеф Фаррелл
26 май 2019
Автор: Джозеф Фаррелл Жанр: Книги / Историческая проза Год публикации: 2009 Возрастные ограничения: (18+) Внимание! Аудиокнига может содержать контент только для совершеннолетних.
0 0

Книга Боевая машина Гизы - Джозеф Фаррелл читать онлайн бесплатно без регистрации

В новой книге известный физик и инженер Джозеф Фаррелл развивает свою сенсационную теорию о том, что египетские пирамиды были частью грандиозного военного эксперимента по созданию лучевого оружия невообразимой разрушительной силы. На сей раз автор выстраивает еще более неожиданную гипотезу, что гигантский лазер — архитектурный комплекс на плато Гиза — не только был применен в древности, но и привел к катастрофическим последствиям для Солнечной системы. Более того, использованные при построении боевой машины Гизы принципы палеофизики, которые подробно изучали нацистские ученые, способны и сегодня привести к созданию невероятного по мощности оружия, способного уничтожить целую планету. Возможно, экспериментальные образцы такого оружия уже созданы и были испытаны в боевых условиях в конце прошлого века.
1 ... 74 75 76 77 78 79 80 81 82 ... 84
Перейти на страницу:

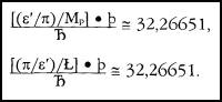
Мы можем продолжить исследование этой функциональной зависимости, введя постоянную тонкой структуры (обозначается ρ) со значением 1/137.


Боевая машина Гизы

с разницей 0,0753. Отсюда выводится следующее тетраэдрическое гармоническое уравнение:


Боевая машина Гизы

Для наших целей мы отметим подтверждение упомянутого выше функционального преобразования массы в длину, поскольку это уравнение может быть преобразовано следующим образом:


Боевая машина Гизы

где n обозначает любое число или гармонику других значений в обозначенной функции. Обратите внимание, что коэффициент 19301859 близок к тетраэдрическому углу 19,5° (если переместить десятичную точку: 19,301859).

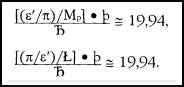
Если ввести постоянную Планка Tb в полученное уравнение, то тетраэдрическая природа соотношений станет еще очевиднее:


Боевая машина Гизы

Введение еще одной константы φ подтверждает другой тетраэдрический угол:


Боевая машина Гизы

Интуиция подсказывает мне, что эти уравнения объясняют, как генерировать тетраэдрическую гиперпространственную сигнатуру любой массы, если известны определенные характеристики. Они указывают нам, что следует искать резонанс в соотношениях π, ε', Мр, L, Tb и φ.

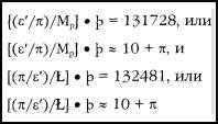
Еще одно подтверждение тетраэдрических свойств гравитации получится в том случае, если взять результат 10 + π и разделить его на коэффициент гравитационной постоянной 667259 — коэффициент в метрической системе (!):


Боевая машина Гизы

Таким образом,


Боевая машина Гизы

и


Боевая машина Гизы

Другими словами, какой бы странной ни выглядела смесь метрических мер с пирамидальными мерами, соотношение коэффициентов фундаментальных физических констант, по всей вероятности, имеет тетраэдрическую природу. Совершенно очевидно, что настоящий топологический и математический анализ этих соотношений будет более сложным, однако арифметическое взаимодействие скаляров (самих коэффициентов) явно присутствует и оно может свидетельствовать о чем-то важном.

С. Выводы

Из всех этих предположений можно сделать следующие ВЫВОДЫ:

1. В противовес широко распространенному убеждению, релятивистское преобразование массы в длину может осуществляться на квантовом и субквантовом уровне в локально управляемом пространстве.

2. В противовес широко распространенному убеждению эти преобразования могут быть выражены довольно простыми геометрическими и гармоническими функциями.

3. Существуют фундаментальные соотношения между абстрактными и масштабно инвариантными геометрическими константами и фундаментальными постоянными квантовой механики, и эти соотношения могут быть представлены при помощи тетраэдрической модели.

4. Тетраэдрическое моделирование в соответствии с предложенным методом предполагает, что тетраэдрическая физика некогда была средством гармонического объединения физики, то есть хорошего темперирования всех аспектов частотного спектра, от очень низких частот инерциальной механики больших масс и систем до очень высоких частот электромагнитного и, возможно, гравитационного спектров.

5. Присутствие символической формы двух повернутых под прямым углом тетраэдров внутри сферы, как и значимых и избыточных гармонических кратных разных единиц Планка в размерах Великой пирамиды, а также достаточно хорошее приближение «Пифагоровой коммы» в некоторых соотношениях из приведенных выше уравнений дают веские основания предположить, что такая хорошо темперированная гармонически объединенная физика действительно существовала в древности, и ее математическая модель была очень проста.

Все это лишь предположения, но я убежден, что здесь было представлено достаточно доказательств для выдвижения гипотезы, что Великая пирамида была настоящим чудом военной техники, невиданным наступательным оружием массового уничтожения.

Но почему только военной? Совершенно очевидно, что объединенная технология, основу которой составляло единое явление электрического импульса, могла использоваться и в мирных целях.

Могло ли все сооружение с его электрогравитационно-акустической ударной волной искривления инерционного пространства быть сконфигурировано в слабой степени, чтобы использоваться как средство связи? Почти наверняка могло. Могло ли оно быть сконфигурировано, чтобы обеспечивать энергией всю землю, а возможно, и другие объекты? Если исследованные нами принципы верны, то могло. Могло ли оно быть сконфигурировано, чтобы играть роль движителя? Возможно. Могло ли оно использоваться для создания защитных капсул или силовых полей вокруг регионов, подвергнувшихся нападению врага, или, например, для управления погодой? Возможно. Могло ли оно быть сконфигурировано для уничтожения огромных целей? Вполне вероятно.

На мой взгляд, на самую правдоподобную версию указывает наиболее очевидное из всех свидетельств, связанных с Великой пирамидой, — ее огромные размеры, а также неимоверные усилия, которые требовалось приложить, чтобы добиться такой точности в каждом элементе конструкции. Миллионы тонн камня составили обширную объединенную систему из контуров обратной связи, аналогов атомных весов и геометрических соотношений, резонаторных антенных решеток, камер для генерации и усиления инфразвука, огромной электрической емкости, когерированного электромагнитного выхода, возможного самосжатия плазмы (и явного присутствия водорода), пьезоэлектрического эффекта и необыкновенно длинного ряда точных математических и геометрических констант, в том числе фундаментальных постоянных ядерной физики и квантовой механики. Ничего подобного не было в системах, предложенных такими гениями, как Тесла, Браун или Фарнсуорт, как средства связи или источники энергии.

Пирамида была задумана, спроектирована, построена и применялась как самое ужасное оружие массового уничтожения из всех, которые только были и, возможно, будут известны человечеству. Доведенная до совершенства интеграция известных констант и сил и их конфигурация в избыточную ударную волну искривления пространства, перемещающуюся со сверхсветовой скоростью, в конечном счете была вовсе не избыточным, а ключевым моментом, если создатели пирамиды хотели добиться разрушений регионального или планетарного масштаба при помощи этого единственного, но уникального оружия.

1 ... 74 75 76 77 78 79 80 81 82 ... 84
Перейти на страницу:
  1. Жалоба
Отзывы - 0

Прочитали книгу? Предлагаем вам поделится своим впечатлением! Ваш отзыв будет полезен читателям, которые еще только собираются познакомиться с произведением.


Уважаемые читатели, слушатели и просто посетители нашей библиотеки! Просим Вас придерживаться определенных правил при комментировании литературных произведений.

Просьба отказаться от дискриминационных высказываний. Мы защищаем право наших читателей свободно выражать свою точку зрения. Вместе с тем мы не терпим агрессии. На сайте запрещено оставлять комментарий, который содержит унизительные высказывания или призывы к насилию по отношению к отдельным лицам или группам людей на основании их расы, этнического происхождения, вероисповедания, недееспособности, пола, возраста, статуса ветерана, касты или сексуальной ориентации. Просьба отказаться от оскорблений, угроз и запугиваний. Просьба отказаться от нецензурной лексики. Просьба вести себя максимально корректно как по отношению к авторам, так и по отношению к другим читателям и их комментариям.

Надеемся на Ваше понимание и благоразумие. С уважением, администратор My-Books.me.


Новые отзывы

  1. Александра Александра15 январь 09:37 Очень интересная книга! Особенно, если любишь психологию и хочешь понимать себя и других. Обязательно послушаю до конца. Спасибо.... Кригер Борис – Гнев
  2. Галина Галина25 май 13:02 Очень уважаю Артема Шейнина, книга замечательная, очень мне близкая по духу.Перечитываю уже второй раз, столько пережитого и не... Мне повезло вернуться - Артем Шейнин
  3. Екатерина Екатерина11 январь 08:05 Доброе утро. Подскажите пожалуйста как сохранять книги, ставить закладки?... Подонок - Анастасия Леманн
Все комметарии
Новинки бесплатной онлайн библиотеки