» » » Боевая машина Гизы - Джозеф Фаррелл

Боевая машина Гизы - Джозеф Фаррелл

Книгу Боевая машина Гизы - Джозеф Фаррелл читаем онлайн бесплатно и без регистрации! Читать онлайн вы можете не только на компьютере, но и на андроид (Android), iPhone и iPad. Наслаждайтесь!

262 0 06:06, 26-05-2019
Боевая машина Гизы - Джозеф Фаррелл
26 май 2019
Автор: Джозеф Фаррелл Жанр: Книги / Историческая проза Год публикации: 2009 Возрастные ограничения: (18+) Внимание! Аудиокнига может содержать контент только для совершеннолетних.
0 0

Книга Боевая машина Гизы - Джозеф Фаррелл читать онлайн бесплатно без регистрации

В новой книге известный физик и инженер Джозеф Фаррелл развивает свою сенсационную теорию о том, что египетские пирамиды были частью грандиозного военного эксперимента по созданию лучевого оружия невообразимой разрушительной силы. На сей раз автор выстраивает еще более неожиданную гипотезу, что гигантский лазер — архитектурный комплекс на плато Гиза — не только был применен в древности, но и привел к катастрофическим последствиям для Солнечной системы. Более того, использованные при построении боевой машины Гизы принципы палеофизики, которые подробно изучали нацистские ученые, способны и сегодня привести к созданию невероятного по мощности оружия, способного уничтожить целую планету. Возможно, экспериментальные образцы такого оружия уже созданы и были испытаны в боевых условиях в конце прошлого века.
1 ... 50 51 52 53 54 55 56 57 58 ... 84
Перейти на страницу:

Обратите внимание, что пункты 5, 6 и 8 — это ключевые элементы, отсутствующие в лишенной напряжений и физических свойств среде.

Поскольку для различных мультивекторных систем с нулевым результирующим вектором не предполагается никакой внутренней геометрии, вся наша электромагнитная теория и практика были принудительно сведены к универсальному фотоэлектрическому эффекту, то есть к взаимодействию между фотоном и электроном, а не к потенциальному эпектрогравитационному эффекту атомных ядер, где сосредоточена большая часть атомной массы и положительного электрического заряда. Мы наблюдаем и используем, если можно так выразиться, только оболочку. Другими словами, сам атом похож на очень маленькую клетку Фарадея. Большая часть электромагнитного взаимодействия приходится на фотоны и окружающие атомное ядро электроны, а не на ядра атомов. Ядра, подобно человеку в клетке Фарадея, экранируются от этого воздействия.

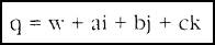
Теперь сравним векторное произведение в стандартной линейной алгебре — математической модели, которую все знают как уравнения Максвелла — и реальной геометрии кватернионов, которую он на самом деле использовал. Мои извинения читателям, не обладающим способностями к математике! В трехмерном пространстве вектор v представляет собой сумму трех векторов, направление каждого из которых совпадает с направлением осей х, у и z прямоугольной системы координат:


Боевая машина Гизы

где i, j, k — единичные векторы, a, b, с — константы. Если единичные векторы i, j, к являются нулевыми, то v = 0.

Теперь рассмотрим произведение двух идентичных векторов переноса, дающих нулевой результирующий вектор R,


Боевая машина Гизы

Обратите внимание, что это стандартное уравнение для нулевого вектора ничего не говорит о внутренних напряжениях частицы в результате воздействия двух векторов vxv.b сумме дающих ноль.

Здесь возможны две интерпретации. Первая заключается в том. что ничего не происходит — ни переноса, ни чего-либо другого. Традиционная физика учит заменять результат нулевым вектором, тем самым неявно подразумевая. что никаких электромагнитных эффектов вообще не наблюдается — как будто единственным наблюдаемым эффектом является перенос, который только и может смоделировать векторный анализ!

Другая интерпретация предполагает, что эффект переноса — это лишь один из целого ряда возможных эффектов и что могут иметь место не связанные с переносом нелинейные эффекты — электромагнитные или иные[252].

Теперь обратимся к кватерннонному анализу того же процесса. Кватернион, в сущности, представляет собой совокупность скаляра и вектора (для нематематиков скаляр — это просто чисто, подобно коэффициенту, константе или переменной):


Боевая машина Гизы

Подставляя предыдущее выражение вектора в системе прямоугольных координат, получаем, что кватернион состоит из скалярной компоненты и единичных векторов стандартной системы:


Боевая машина Гизы

Произведение кватернионов дает интересный результат. Произведение единичных векторов переноса по-прежнему дает нулевой результирующий вектор переноса, однако в нем присутствует и внутреннее взаимодействие коэффициентов, то есть остается скалярная компонента, описывающая чистую магнитуду силы, присутствующей в напряженной точке среды:


Боевая машина Гизы

где 0t — нулевой вектор переноса.

Очень важно понимать, что именно подразумевает это гиперпространственное взаимодействие постоянных коэффициентов (а2 + Ь2 + с2 в приведенном выше выражении), когда речь идет о физических константах. Вместе с координатной, или векторной, составляющей исчез и стандартный метод размерного анализа, и осталось лишь взаимодействие скаляра — нелинейная компонента в гиперпространстве; это сильнейшее взаимодействие затем «стекает» в обычное пространство, подобно тому, как вода стекает вниз после запруды. Таким образом, остается лишь выяснить, как повернуть ключ, чтобы открыть водосброс. Более подробно это безразмерное взаимодействие констант будет рассмотрено в главе IX.

Получается, что произведение кватернионов дает ненулевой скалярный результат, что можно интерпретировать как не связанное с переносом напряжение самой среды. Поскольку скалярная равнодействующая не предполагает электромагнитного переноса, то

отсутствует взаимодействие с электронными оболочками атома. Эта равнодействующая проникает в клетку Фарадея из электронов и взаимодействует с ядрами, обладающими высокой степенью нелинейности. Теперь осциллятором становится электрический потенциал (заряд) самих ядер. Плотность энергии заряженных ядер — и, следовательно, его электромагнитный потенциал — осциллируется как периодическая функция времени. Осциллирующий потенциал тем не менее детерминированно структурирован (внутренне поляризован) внутренней электромагнитной мультивекторной системой[253].

Таким образом, современная электромагнитная и гравитационная теория совершают три главные ошибки:

• Отрицают динамический эфир и принимают вариант векторного анализа электромагнетизма, не учитывая возможность взаимодействия между векторными системами и средой.

• Из невозможности подобного взаимодействия следует невозможность локального напряжения среды.

• Поэтому электромагнетизм имеет дело в основном с переносом как с главным типом физического действия.

2. Намеренное редактирование Хевисайдом?

________________________________________________________________________

Оливер Хевисайд отредактировал (правильнее было бы сказать обкромсал) исходные кватернионные уравнения Максвелла, упростив явно более громоздкие и сложные кватернионы до векторного анализа и отбросив то, что он считал метафизической скалярной компонентой. Отказавшись от скалярных потенциалов среды Максвелла, он практически сузил электромагнетизм до изучения переноса и полей. Остается лишь догадываться, почему теоретические работы, а также наблюдаемые и повторяемые эксперименты с эфирной средой многих известных ученых и инженеров, таких как Максвелл, Тесла и Мори, исчезли из учебников физики и исторических трудов. Правда, не составит большого труда догадаться, какую угрозу — не только военную, но и мировоззренческую — несет такая физика для всей геополитической и экономической структуры постиндустриального мира, основу которого составляет неэффективная энергия переноса. Хорошо известны случаи конфискации и редактирования патентов Теслы и Мори правительственными и другими организациями. Возникает подозрение, что Максвелл сам стал жертвой организованной кампании дезинформации и неверного толкования, направленной на то, чтобы отвлечь внимание широкой публики от самых сенсационных аспектов его теории. Максвелл занимался теорией, а Тесла проводил эксперименты. Можно лишь догадываться, что откроет кватернионный анализ опытов Теслы с импульсами.

1 ... 50 51 52 53 54 55 56 57 58 ... 84
Перейти на страницу:
  1. Жалоба
Отзывы - 0

Прочитали книгу? Предлагаем вам поделится своим впечатлением! Ваш отзыв будет полезен читателям, которые еще только собираются познакомиться с произведением.


Уважаемые читатели, слушатели и просто посетители нашей библиотеки! Просим Вас придерживаться определенных правил при комментировании литературных произведений.

Просьба отказаться от дискриминационных высказываний. Мы защищаем право наших читателей свободно выражать свою точку зрения. Вместе с тем мы не терпим агрессии. На сайте запрещено оставлять комментарий, который содержит унизительные высказывания или призывы к насилию по отношению к отдельным лицам или группам людей на основании их расы, этнического происхождения, вероисповедания, недееспособности, пола, возраста, статуса ветерана, касты или сексуальной ориентации. Просьба отказаться от оскорблений, угроз и запугиваний. Просьба отказаться от нецензурной лексики. Просьба вести себя максимально корректно как по отношению к авторам, так и по отношению к другим читателям и их комментариям.

Надеемся на Ваше понимание и благоразумие. С уважением, администратор My-Books.me.


Новые отзывы

  1. Александра Александра15 январь 09:37 Очень интересная книга! Особенно, если любишь психологию и хочешь понимать себя и других. Обязательно послушаю до конца. Спасибо.... Кригер Борис – Гнев
  2. Галина Галина25 май 13:02 Очень уважаю Артема Шейнина, книга замечательная, очень мне близкая по духу.Перечитываю уже второй раз, столько пережитого и не... Мне повезло вернуться - Артем Шейнин
  3. Екатерина Екатерина11 январь 08:05 Доброе утро. Подскажите пожалуйста как сохранять книги, ставить закладки?... Подонок - Анастасия Леманн
Все комметарии
Новинки бесплатной онлайн библиотеки