Эйнштейн - Максим Чертанов
Книгу Эйнштейн - Максим Чертанов читаем онлайн бесплатно и без регистрации! Читать онлайн вы можете не только на компьютере, но и на андроид (Android), iPhone и iPad. Наслаждайтесь!
263 0 18:58, 24-05-2019Книга Эйнштейн - Максим Чертанов читать онлайн бесплатно без регистрации
11 мая он отправил в «Анналы» третью работу — «О движении взвешенных в покоящейся жидкости частиц, требуемом молекулярно-кинетической теорией теплоты». Как и в случае с фотоэффектом, объяснил явление, которое все давно знали, — броуновское движение: ботаник Роберт Броун заметил хаотическое метание частичек пыльцы в стоячей воде. По Эйнштейну, пыльца металась, сталкиваясь с молекулами жидкости. «Анналы» напечатали статью 18 июля, и вскоре обсудить ее пришел любознательный швейцарец, ставший очередным другом навек — судебный медик Генрих Цангер, человек сильный, уверенный, решительный, отчасти — несмотря на небольшую разницу в возрасте — игравший для Альберта роль условного «отца» и однажды спасший ему жизнь, когда тот угорел от печки.
13 мая Эйнштейны переехали на Безеншвенгештрассе, 28. А 30 июня была окончена (опубликована 26 сентября) знаменитая статья «К электродинамике движущихся тел», в которой изложены основы специальной теории относительности (ее называют СТО, а позже будет еще общая теория относительности — ОТО), где Максвелловы лампочки и намагниченные опилки должны были непротиворечиво сойтись с мчащимися поездами и самолетами.
Перед нами вновь встает проблема языка. Описать процесс работы физика-теоретика так, чтобы его понял гуманитарий, невозможно. Одно дело — примитивно растолковать, «про что» теория относительности, перевести ее на детский язык: + вот стоит человечек на железнодорожной насыпи, светит фонариком; но это не даст нам никакого представления о мышлении ученого. Да, Эйнштейн говорил, что толчком послужила мысль о человеке, оседлавшем солнечный луч, но потом-то он еще год думал и пять недель писал статью… Легко описать, как трудился Дарвин: препарировал жуков и дохлых кур, расспрашивал людей, как передается характер козы и почему улыбаются младенцы, и увидеть, как из этого рождается научная мысль, самим ученым облеченная в понятные слова: «Если мы позволим себе увлечься догадками, то животные — наши собратья по боли, болезни, смерти, страданию и чувству голода, наши рабы в выполнении самых тяжелых работ, наши товарищи в забавах — могут вместе с нами происходить от общего предка, все мы можем быть связаны воедино».
У математиков, теоретических физиков все по-другому. Эйнштейн мыслил, как сам сказал, «психическими сущностями», «более или менее четкими изображениями», которые носят «мышечный» характер. Но даже сами математики не могут напрямую обмениваться «мышечными ощущениями» — они переводят их на свой язык, язык знаков, что уже ближе к человеческому, но как понять его, не будучи математиком? Просто посмотрите, не вникайте…

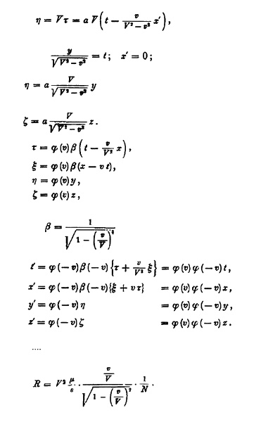
Нет, такой язык нам не годится — нужен язык слов. Такой? «В этот раз он попытался доказать теорему соответственных состояний (лоренц-ковариантность) для неоднородных уравнений Максвелла — Лоренца. При преобразовании уравнений для скоростей он допустил ошибку, в результате чего не получил ковариантности для членов выше первого порядка». Опять не тот язык! Не понимаем! Может, взять язык музыки, раз они с математикой так схожи?

Увы, в музыке мы можем оценить итоговую красоту, но творческий процесс остается столь же темным. Как неспециалист поймет, что это фрагмент сонаты Моцарта? Что тут красивого? Как думал человек, писавший эти значки? Какими «мышечными ощущениями»? Нам доступен лишь один язык — литературный. Но никто до сих пор не создал литературного языка, адекватно описывающего «мышечные ощущения» математика. Единственное, что мы находим в мировой литературной копилке — язык Томаса Манна, описывающий создание музыки; язык, демонстрирующий, как творец преобразует некие расплывчатые ощущения в гармонию — то бишь в уравнение…
«Вдумайся: энергичнейшая, разнообразнейшая, захватывающая смена свершений, движение событий — только во времени, путем членения времени, его заполнения, организации, но все как бы перенесенное в конкретно-действенное по повторному трубному сигналу извне… Как все здесь схвачено и повернуто, поставлено, как подведено к теме, чтобы потом отойти от нее, раствориться, а в этом растворении уже готовится нечто новое, простой переход становится плодоносной завязью, так что не остается ни одного пустого, ни одного слабого места, ритм незаметно преобразуется, набегает новая волна подъема, со всех сторон вбирая в себя новые притоки, стремительно нарастает, разражается бурным триумфом, и это триумф в себе, триумф как таковой… Благозвучная мелодия уже приближается к высшей точке, которую, однако, в согласии с законом экономии на первый раз еще обходит; она от нее уклоняется, приберегая ее для дальнейшего, идет на спад, оставаясь прекрасной… Некоторое время умно и очаровательно орудует композитор этой песенкой, он ее расчленяет, всматривается в отдельные детали, преобразует их, в среднем регистре возникает прелестное сочетание звуков и возносится в волшебные выси, где царят скрипки и флейты, недолго реет там и в миг, когда достигает наивысшей пленительности, слово вторично берет приглушенная медь, сызнова звучит хорал, он выступает на первый план, не внезапно, как в начале, нет, он делает вид, будто его мелодия уже соприсутствовала в немудрящей песенке и теперь он благоговейно движется к высшей своей точке, от которой в первый раз так мудро уклонился, дабы из груди слушателей вырвалось это „ах“, дабы еще сильнее сделался наплыв чувств, теперь, когда хорал уже неудержимо устремился вверх, мощно поддерживаемый гармоническими звуками басовой трубы, и, осиянный, достиг вершины, чтобы тотчас же, словно бы оглядываясь со сдержанным удовлетворением на им содеянное, с честью допеть себя до конца!»[16]
И вот нечто подобное физик должен выразить на языке:

И увенчать его чем-нибудь типа

А еще надо понимать, в каких условиях физик работал — да, ему много не надо, бумага да карандаш (Эйнштейн обычно писал сидя в кресле, держа бумагу на колене и разбрасывая по полу исписанные листы), но — маленький ребенок… Ганс Альберт Эйнштейн: «По словам матери, он прекрасно умел ухаживать за детьми. Когда она была занята по дому, он откладывал в сторону свои занятия и часами нас нянчил, обычно держа на коленях… Он продолжал работать как ни в чем не бывало, никакой шум не мог ему помешать». «Я продумывал так много научных планов, пока возил тебя в коляске!» — из письма отца Гансу в июне 1918 года. Студент Эйнштейна Давид Рейшинштейн вспоминал, как навестил его однажды, когда тот сидел с детьми, потому что Милева была занята стиркой: «С философским видом он одной рукой подталкивал колыбель, где лежал младенец (жена Эйнштейна в это время возилась на кухне). Во рту у Эйнштейна была скверная, очень скверная сигара, в свободной руке открытая книга. Печка отчаянно дымила. Господи, как он мог все это выносить?» Как? А попробуйте представить:
Прочитали книгу? Предлагаем вам поделится своим впечатлением! Ваш отзыв будет полезен читателям, которые еще только собираются познакомиться с произведением.
Уважаемые читатели, слушатели и просто посетители нашей библиотеки! Просим Вас придерживаться определенных правил при комментировании литературных произведений.
Просьба отказаться от дискриминационных высказываний. Мы защищаем право наших читателей свободно выражать свою точку зрения. Вместе с тем мы не терпим агрессии. На сайте запрещено оставлять комментарий, который содержит унизительные высказывания или призывы к насилию по отношению к отдельным лицам или группам людей на основании их расы, этнического происхождения, вероисповедания, недееспособности, пола, возраста, статуса ветерана, касты или сексуальной ориентации. Просьба отказаться от оскорблений, угроз и запугиваний. Просьба отказаться от нецензурной лексики. Просьба вести себя максимально корректно как по отношению к авторам, так и по отношению к другим читателям и их комментариям.
Надеемся на Ваше понимание и благоразумие. С уважением, администратор My-Books.me.
Оставить комментарий
-
Александра15 январь 09:37
Очень интересная книга! Особенно, если любишь психологию и хочешь понимать себя и других. Обязательно послушаю до конца. Спасибо....
Кригер Борис – Гнев
-
Галина25 май 13:02
Очень уважаю Артема Шейнина, книга замечательная, очень мне близкая по духу.Перечитываю уже второй раз, столько пережитого и не...
Мне повезло вернуться - Артем Шейнин
-
Екатерина11 январь 08:05
Доброе утро. Подскажите пожалуйста как сохранять книги, ставить закладки?...
Подонок - Анастасия Леманн