"Черная смерть". Советская морская пехота в бою - Евгений Абрамов
Книгу "Черная смерть". Советская морская пехота в бою - Евгений Абрамов читаем онлайн бесплатно и без регистрации! Читать онлайн вы можете не только на компьютере, но и на андроид (Android), iPhone и iPad. Наслаждайтесь!
255 0 16:23, 25-05-2019Книга "Черная смерть". Советская морская пехота в бою - Евгений Абрамов читать онлайн бесплатно без регистрации

Боевые действия усиленного 571-го отдельного батальона автоматчиков 260-й отдельной бригады морской пехоты Балтийского флота в тактическом десанте в районе Мерекюля

Боевые действия морской пехоты Черноморского флота в составе оперативного десанта в районе Станичка, Южная Озерейка с 4 по 15 февраля 1943 г.

Десанты Кронштадтской и Ленинградской военно-морских баз Балтийского флота 3–8 октября 1941 г. и боевые действия 6-й отдельной бригады морской пехоты в районе Урицка 3–10 октября 1941 г.

Организация, численность и количество частей и соединений морской пехоты в период Великой Отечественной войны 1941–1945 гг.

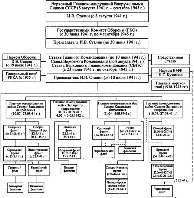
Организация высшего командования Вооруженными Силами СССР и руководства ВМФ в годы Великой Отечественной войны 1941–1945 гг.
Примечание:
---- временное подчинение
.... подчинение Балтийского и Черноморского флотов наркому ВМФ с 31.03.44 г.

Принципиальная схема боевого применения морской пехоты в период Великой Отечественной войны 1941–1945 гг.

Десанты военно-морской базы Ханко в 1941 г.
Десанты морских стрелковых бригад, высаженные флотами и флотилиями в Великой Отечественной войне 1942–1944 гг.
| Дата высадки | Место высадки | Состав десанта | Примечание |
| 11.09.1942 г. | Мыс Пикшуев | Разведрота, рота автоматчиков, саперный взвод (всего 320 чел.) 12-й отдельной морской стрелковой бригады | Десант задачу выполнил, уничтожил гарнизон и огневые точки противника |
| 17.09.1942 г. | Мыс Пикшуев | Сводный отряд в составе разведроты и разведвзводов батальонов 63-й отдельной морской стрелковой бригады; рота автоматчиков, разведрота и группа разведчиков 12-й отдельной морской стрелковой бригады; РО штаба СФ (всего 683 чел.) | Десант задачу выполнил, уничтожил доты и дзоты противника, нанес ему потери в живой силе |
| 17.09.1942 г. | Западный берег губы Большая Западная Лица | Усиленная разведрота 82-й отдельной морской стрелковой бригады | Десант задачу выполнил |
| 18.10.1944 г. | Залив Суоло-вуоно и мыс Аренсиеми | 4-й батальон 12-й отдельной морской стрелковой бригады (485 чел.) | Десант задачу выполнил, отбросил противника и вышел к государственной границе |
| 23.10.1944 г. | Кобхольм-фьорд | 3-й батальон 12-й отдельной морской стрелковой бригады и отдельный отряд 125-го полка морской пехоты (всего 625 чел.) | Десант свою задачу выполнил, захватил населенные пункты на побережье и организовал оборону |
| Ладожская флотилия | |||
| 23.06–27.06.1944 г. | Устье реки Тулоксы | 70-я морская стрелковая бригада 30-я ОБРМП, ЗАП, гаубичная батарея | — |

Решение командира 70-й ОМСБР на высадку и действия на берегу в Тулоксинской десантной операции

Эшелонирование десанта 70-й ОМСБР при высадке в Тулоксинской десантной операции 23 июня 1944 г.

Боевые действия 70-й ОМСБР на берегу 23–27 июня 1944 г. в ходе Тулоксинской десантной операции

Принципиальная схема организации командования в десантных операциях во время Великой Отечественной войны 1941–1945 гг.

Оборонительные действия 2-й гвардейской армии 12–13 декабря 1942 г. в Сталинградской стратегической наступательной операции

Десант сводного полка 260-й отдельной бригады морской пехоты Балтийского флота на косу Фрише-Нерунг 26 августа 1945 г.

Боевые действия морской пехоты Днепровской флотилии при овладении г. Фюрстенбергом 16–24 апреля 1945 г. в Берлинской наступательной операции
Прочитали книгу? Предлагаем вам поделится своим впечатлением! Ваш отзыв будет полезен читателям, которые еще только собираются познакомиться с произведением.
Уважаемые читатели, слушатели и просто посетители нашей библиотеки! Просим Вас придерживаться определенных правил при комментировании литературных произведений.
Просьба отказаться от дискриминационных высказываний. Мы защищаем право наших читателей свободно выражать свою точку зрения. Вместе с тем мы не терпим агрессии. На сайте запрещено оставлять комментарий, который содержит унизительные высказывания или призывы к насилию по отношению к отдельным лицам или группам людей на основании их расы, этнического происхождения, вероисповедания, недееспособности, пола, возраста, статуса ветерана, касты или сексуальной ориентации. Просьба отказаться от оскорблений, угроз и запугиваний. Просьба отказаться от нецензурной лексики. Просьба вести себя максимально корректно как по отношению к авторам, так и по отношению к другим читателям и их комментариям.
Надеемся на Ваше понимание и благоразумие. С уважением, администратор My-Books.me.
Оставить комментарий
-
Александра15 январь 09:37
Очень интересная книга! Особенно, если любишь психологию и хочешь понимать себя и других. Обязательно послушаю до конца. Спасибо....
Кригер Борис – Гнев
-
Галина25 май 13:02
Очень уважаю Артема Шейнина, книга замечательная, очень мне близкая по духу.Перечитываю уже второй раз, столько пережитого и не...
Мне повезло вернуться - Артем Шейнин
-
Екатерина11 январь 08:05
Доброе утро. Подскажите пожалуйста как сохранять книги, ставить закладки?...
Подонок - Анастасия Леманн