Прощай, нищета! Краткая экономическая история мира - Грегори Кларк
Книгу Прощай, нищета! Краткая экономическая история мира - Грегори Кларк читаем онлайн бесплатно и без регистрации! Читать онлайн вы можете не только на компьютере, но и на андроид (Android), iPhone и iPad. Наслаждайтесь!
154 0 22:12, 25-05-2019Книга Прощай, нищета! Краткая экономическая история мира - Грегори Кларк читать онлайн бесплатно без регистрации
Но если оборудование железных дорог обычно было британским, то практика найма персонала на железных дорогах в бедных странах определенно не имела с британской ничего общего. На рис. 16.11 показана выручка за один человеко-час в 22 странах около 1913 года. Разница в выработке на один человеко-час достигала примерно 6:1, опять же будучи максимальной в США и минимальной в Индии.

ИСТОЧНИК: Boag, 1912, и Bureau of Railway Economics, 1915.
РИС. 16.11. Часовая выработка на железных дорогах, 1913–1914 годы
Индийская железнодорожная система могла воспользоваться огромным английским опытом в эксплуатации железных дорог. В 1910 году на индийских железных дорогах трудились 7207 «европейцев» (в основном англичан) и 8862 «евразийца» (обычно это были люди англо-индийского происхождения), занимавшие почти все должности, связанные с выполнением надзорных функций или требовавшие квалификации. Индийцев начали нанимать как машинистов локомотивов лишь после 1900 года, но еще в 1910 году многие машинисты были британцами[364].
Однако дополнительные рабочие в Индии, как и в других бедных странах, по-видимому, опять же не обеспечивали своим нанимателям увеличение выпуска на единицу капитала. Из-за резкого различия условий, в которых работают железные дороги в разных странах, трудно сопоставить утилизацию капитала. Тем не менее некоторые отдельные показатели свидетельствуют о том, что наем избыточной рабочей силы ничего не приносил тем странам, в которых он практиковался.
Одним из этих показателей, имеющимся для большинства стран, является годовой пробег локомотива в милях (рис. 16.12). В бедных странах с низкой выработкой локомотивы использовались не более интенсивно, чем в богатых странах. Как и в хлопчатобумажной отрасли, управляющие железных дорог в этих странах явно ничего не получали от использования дополнительной рабочей силы.

ИСТОЧНИК: Boag, 1912, и Bureau of Railway Economics, 1915.
РИС. 16.12. Годовой пробег локомотивов в милях (как показатель утилизации капитала на железных дорогах) для разных стран мира в 1913–1914 годах
Таким образом, и в хлопчатобумажной промышленности, и на железных дорогах около 1910 года мы видим одну и ту же картину. Бедные страны применяли те же технологии, что и богатые, достигая того же уровня выпуска на единицу капитала. Но при этом они использовали настолько больше рабочей силы на одну машину, что лишались почти всех изначально имевшихся преимуществ, связанных со стоимостью рабочей силы.
Проблема хронически неэффективного использования труда в таких бедных странах, как Индия, была главным препятствием к распространению технологий промышленной революции. Например, в табл. 16.4 показана норма валовой прибыли бомбейских хлопкопрядильных фабрик с 1907–1909 годов по 1935–1938 годы, а также масштабы отрасли и выработка на одного рабочего по сравнению с соответствующей величиной для 1907–1909 годов, которая принята за 100. Поскольку эти фабрики работали на конкурентном рынке, их прибыль никогда не была высокой. В самые лучшие годы для отрасли — во время Первой мировой войны и сразу после нее — норма прибыли достигала лишь 7–8 %. Несмотря на то что норма прибыли в 1907–1924 годах в среднем составляла только 6,5 %, масштабы хлопкопрядильной отрасли в Бомбее возросли на 45 %, опять же свидетельствуя о стабильном функционировании международных рынков капитала в эти годы.
ТАБЛИЦА 16.4. Бомбейская хлопчатобумажная промышленность, 1907–1938 годы

ИСТОЧНИКИ: норма прибыли и выработка на одного рабочего вычислены лишь для фабрик, перечисленных в: Investor's India Yearbook; Wolcott and Clark, 1999.
Однако с 1907 по 1924 год вместо роста мы видим в Бомбее разве что небольшое снижение выработки на одного рабочего. В то же самое время выработка на одного рабочего в японской хлопчатобумажной промышленности увеличилась на 80 %. К концу 1920-х годов конкуренция со стороны Японии лишила бомбейскую промышленность всякой прибыли. После того как выработка на одного рабочего на японских прядильных фабриках в течение 1920-х и 1930-х годов выросла еще сильнее, бомбейским фабрикам едва удавалось покрывать издержки производства. К 1938 году почти 15 % мощностей бомбейских прядильных фабрик было пущено на слом.
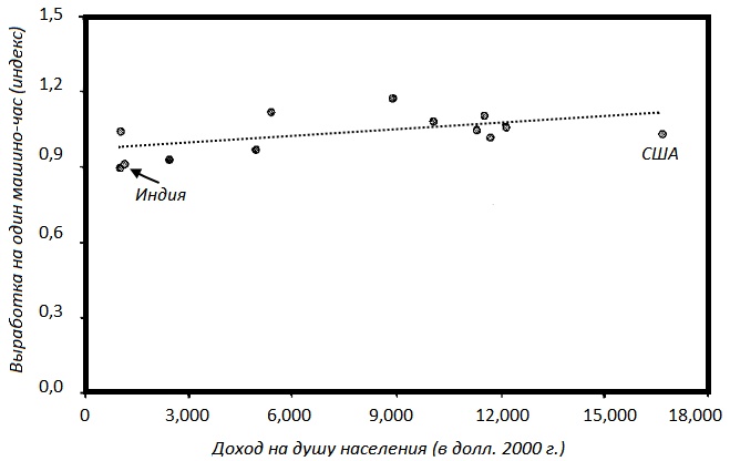
Ситуация 1910 года, когда всем бедным странам было свойственно использование избыточного труда, не влекущее за собой явной выгоды в форме утилизации капитала, сохранялась в хлопчатобумажной промышленности в течение всего XX века. В 1969 году Английский текстильный совет провел исследование, в ходе которого определялась выработка на машино-час и на человеко-час в квартиле наиболее успешно работающих хлопкопрядильных и ткацких фирм 11 крупнейших стран-производителей за 1967 год. Говард Пэк дополнительно изучил производительность квартиля наиболее успешных кенийских и филиппинских фирм в 1980 году (использовавших такое же старое оборудование, как и фирмы, фигурирующие в более раннем исследовании). На рис. 16.13 и 16.14 приводятся оценки выработки на один машино-час, усредненные по прядильным и ткацким фабрикам, и выработки на один человеко-час.

ИСТОЧНИК: Pack, 1987, p. 140–145.
РИС. 16.13. Выработка на один машино-час в хлопчатобумажной промышленности, 1967 год

ИСТОЧНИК: Pack, 1987, p. 140–145.
РИС. 16.14. Выработка на один человеко-час в хлопчатобумажной промышленности, 1967 год
Сильная корреляция между заработками и выработкой на одного рабочего, как и поразительно высокие издержки на оплату труда в странах с низкими зарплатами, сохраняется вплоть до настоящего времени. Нараставший с 1910 года разрыв в доходах между регионами привел к еще большему разрыву в заработках между различными странами мира в 2000 году. На рис. 16.15 показаны полные почасовые издержки на оплату труда в швейной промышленности — элементарной отрасли, не требующей больших объемов капитала, — в различных странах мира в 2002 году. Даже без учета статистических выбросов издержки на оплату труда находились в диапазоне от 0,40 доллара в час до 12 долларов в час, что дает приблизительно 30-кратную разницу.
Прочитали книгу? Предлагаем вам поделится своим впечатлением! Ваш отзыв будет полезен читателям, которые еще только собираются познакомиться с произведением.
Уважаемые читатели, слушатели и просто посетители нашей библиотеки! Просим Вас придерживаться определенных правил при комментировании литературных произведений.
Просьба отказаться от дискриминационных высказываний. Мы защищаем право наших читателей свободно выражать свою точку зрения. Вместе с тем мы не терпим агрессии. На сайте запрещено оставлять комментарий, который содержит унизительные высказывания или призывы к насилию по отношению к отдельным лицам или группам людей на основании их расы, этнического происхождения, вероисповедания, недееспособности, пола, возраста, статуса ветерана, касты или сексуальной ориентации. Просьба отказаться от оскорблений, угроз и запугиваний. Просьба отказаться от нецензурной лексики. Просьба вести себя максимально корректно как по отношению к авторам, так и по отношению к другим читателям и их комментариям.
Надеемся на Ваше понимание и благоразумие. С уважением, администратор My-Books.me.
Оставить комментарий
-
Александра15 январь 09:37
Очень интересная книга! Особенно, если любишь психологию и хочешь понимать себя и других. Обязательно послушаю до конца. Спасибо....
Кригер Борис – Гнев
-
Галина25 май 13:02
Очень уважаю Артема Шейнина, книга замечательная, очень мне близкая по духу.Перечитываю уже второй раз, столько пережитого и не...
Мне повезло вернуться - Артем Шейнин
-
Екатерина11 январь 08:05
Доброе утро. Подскажите пожалуйста как сохранять книги, ставить закладки?...
Подонок - Анастасия Леманн