» » » Сейчас. Физика времени - Ричард А. Мюллер

Сейчас. Физика времени - Ричард А. Мюллер

Книгу Сейчас. Физика времени - Ричард А. Мюллер читаем онлайн бесплатно и без регистрации! Читать онлайн вы можете не только на компьютере, но и на андроид (Android), iPhone и iPad. Наслаждайтесь!

299 0 15:19, 25-05-2019
Сейчас. Физика времени - Ричард А. Мюллер
25 май 2019
Автор: Ричард А. Мюллер Жанр: Книги / Домашняя Год публикации: 2017 Возрастные ограничения: (18+) Внимание! Аудиокнига может содержать контент только для совершеннолетних.
0 0

Книга Сейчас. Физика времени - Ричард А. Мюллер читать онлайн бесплатно без регистрации

Ричард Мюллер, профессор Калифорнийского университета в Беркли, собирает все достижения современной физики и предлагает нам сложить из них пазл. Он рассказывает об открытиях Эйнштейна, о черных дырах, в которых, возможно, сосредоточена большая часть энтропии Вселенной, делится последними новостями из квантовой физики, а также исследует три модели движения времени. Книга будет интересна студентам и преподавателям, а также всем, кто интересуется физикой и концепцией времени и хочет расширить свой кругозор.
1 ... 87 88 89 90 91 92 93 94 95 ... 97
Перейти на страницу:

ΔT = T2T1 = γ[(t2t1) − u(x2x1)/c²] = γ[ΔtuΔx/c²].

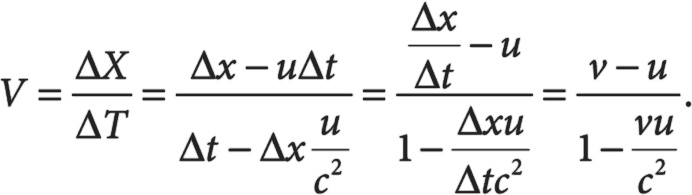
А теперь разделим одно уравнение на другое, чтобы исключить γ:


Сейчас. Физика времени

Это уравнение для преобразования скорости, позволяющее выразить скорость V во второй системе отсчета через v – скорость в первой системе отсчета.

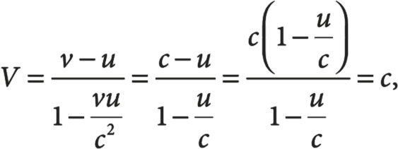
Пусть v = c, то есть объект (к примеру, фотон) движется со скоростью света в первой СО. Во второй системе отсчета его скорость равна:


Сейчас. Физика времени

вне зависимости от u, относительной взаимной скорости двух систем отсчета. Если v = c, то V = c. Объекты, движущиеся со скоростью света в какой-то одной системе отсчета, движутся с той же скоростью и во всех остальных системах. Попробуйте подставить в уравнение v = −c и посмотрите, что получится. Удивлены?

Аналогичный вывод показывает, что c не меняется даже при произвольном направлении света[277].

Этот результат объясняет неудачу опыта Майкельсона−Морли в 1887 году, когда исследователи хотели обнаружить разницу скорости света в двух направлениях, первое из которых параллельно движению Земли, а второе – перпендикулярно этому движению.

Время-перевертыш

Очень интересные вещи происходят, если два разделенных события близки по времени. Воспользуемся еще одним уравнением (взятым из приведенных выше рассуждений об одновременности):

ΔT = γ(ΔtvΔx/c²) = γΔt[1 − (Δxt)(v/c²)].

Определим ∆x/∆t = VE. Это псевдоскорость, которая «соединяет» два события. Записанное нами вовсе не означает, что чему-то действительно придется двигаться от одного события к другому; это просто скорость, с которой нужно было бы двигаться, чтобы присутствовать при обоих событиях. Может ли VE быть больше c? Да, конечно. Любые два разделенных события, которые происходят одновременно, имеют бесконечную VE. Это не физическая скорость. Используя эту новую величину, мы можем записать:

ΔT = γΔt(1 − VEv/c²).

Будем считать для примера, что разность ∆t положительна. Уравнение показывает, что ∆T, в принципе, может быть и отрицательной. Для этого нужно всего лишь, чтобы отрицательное слагаемое в скобках было по модулю больше 1. Это означает, что в новой системе порядок событий может смениться на обратный. Такой результат может повлечь за собой самые разные следствия для причинной зависимости.

Чтобы VEv/c² было больше единицы, VE/c должно быть больше, чем c/v. Не забывайте, v – это скорость, связывающая две системы отсчета; она в любых обстоятельствах должна быть меньше c. Это означает, что c/v всегда будет больше единицы. Это уравнение говорит, что если VE/c больше, чем c/v (что тоже делает его больше единицы), то порядок событий в двух системах отсчета меняется на обратный. Еще раз обратите внимание, что величина VE ничем не ограничена, поскольку это всего лишь псевдоскорость, призванная «соединить» два события, и что для двух сильно разнесенных в пространстве событий, но происходящих одновременно, величина VE будет бесконечна.

Математика парадокса шеста и сарая

Обратимся вновь к главе 4. В системе отсчета, связанной с сараем, шест входит концом в дверь и продолжает двигаться, пока не упрется в заднюю стену. Определим t1 = 0 как момент, когда передний конец шеста доходит до задней стены, и выберем систему координат так, что в этой точке x1 = 0. Из-за лоренцева сжатия в системе отсчета, связанной с сараем, задний конец шеста поравняется с дверью в этот же момент, при t2 = 0, в точке x2 = −6 м.

Теперь рассчитаем, что происходит в системе отсчета, связанной с шестом. Передний конец шеста упрется в заднюю стену сарая в момент T1 с учетом уравнения преобразования Лоренца:

T1 = γ(t1x1v/c²) = 2(0 − 0v/c²) = 0.

Задний конец шеста поравняется с дверью в момент:

T2 = γ(t2x2v/c²) = 2(0 + 6v/c²).

Вычислив v/c из γ = 2, получаем β = v/c = 0,866. Таким образом:

T2 = 2(0 + 5,196/c) = 10,392/c.

Воспользовавшись значением скорости света c = 3·108 метров в секунду (м/с), получим, что шест целиком войдет в сарай за T2 = 34,64/109 с = 34,64 × 10−9 с. Так что в момент, когда передний конец шеста упрется в стену, задний его конец еще не дойдет до двери. Она поравняется с ней через 34,64 наносекунды (миллиардной доли секунды).

Вычислим в системе отсчета, связанной с шестом, где будет находиться его задний конец, когда передний упрется в стену. Воспользуемся уравнением:

x2 = γ(X2 + vT2).

Решив его относительно X2 и подставив v = 0,866c, x2 = −6 метров и T2 = 10,392/c, получаем:

X2 = x2/γ − vT2 = −6/2 − 9 = −12 (метров).

1 ... 87 88 89 90 91 92 93 94 95 ... 97
Перейти на страницу:
  1. Жалоба
Отзывы - 0

Прочитали книгу? Предлагаем вам поделится своим впечатлением! Ваш отзыв будет полезен читателям, которые еще только собираются познакомиться с произведением.


Уважаемые читатели, слушатели и просто посетители нашей библиотеки! Просим Вас придерживаться определенных правил при комментировании литературных произведений.

Просьба отказаться от дискриминационных высказываний. Мы защищаем право наших читателей свободно выражать свою точку зрения. Вместе с тем мы не терпим агрессии. На сайте запрещено оставлять комментарий, который содержит унизительные высказывания или призывы к насилию по отношению к отдельным лицам или группам людей на основании их расы, этнического происхождения, вероисповедания, недееспособности, пола, возраста, статуса ветерана, касты или сексуальной ориентации. Просьба отказаться от оскорблений, угроз и запугиваний. Просьба отказаться от нецензурной лексики. Просьба вести себя максимально корректно как по отношению к авторам, так и по отношению к другим читателям и их комментариям.

Надеемся на Ваше понимание и благоразумие. С уважением, администратор My-Books.me.


Новые отзывы

  1. Александра Александра15 январь 09:37 Очень интересная книга! Особенно, если любишь психологию и хочешь понимать себя и других. Обязательно послушаю до конца. Спасибо.... Кригер Борис – Гнев
  2. Галина Галина25 май 13:02 Очень уважаю Артема Шейнина, книга замечательная, очень мне близкая по духу.Перечитываю уже второй раз, столько пережитого и не... Мне повезло вернуться - Артем Шейнин
  3. Екатерина Екатерина11 январь 08:05 Доброе утро. Подскажите пожалуйста как сохранять книги, ставить закладки?... Подонок - Анастасия Леманн
Все комметарии
Новинки бесплатной онлайн библиотеки