Кантор. Бесконечность в математике. - Густаво Эрнесто Пинейро
Книгу Кантор. Бесконечность в математике. - Густаво Эрнесто Пинейро читаем онлайн бесплатно и без регистрации! Читать онлайн вы можете не только на компьютере, но и на андроид (Android), iPhone и iPad. Наслаждайтесь!
124 0 10:10, 26-05-2019Книга Кантор. Бесконечность в математике. - Густаво Эрнесто Пинейро читать онлайн бесплатно без регистрации
На языке математики эта история доказывает, что множество чисел 0, 1, 2, 3,4,... эквивалентно множеству чисел 1, 2, 3, 4, 5,... То есть любое бесконечное множество, к которому добавляется новый элемент, эквивалентно изначальному множеству.
Положение каждого рационального числа также строго определено. Если мы разделим отрезок между 0 и 1 на шесть равных частей, первой точке после 0 будет соответствовать число 1/6, второй — 2/6 (обратим внимание, что 2/6 = 1/3), третьей — 3/6 (то есть 1/2) и так далее.
Существуют ли рациональные числа между 1/3 и 1/2? Да, так как, например, есть их среднее арифметическое, 5/12. А между 1/3 и 5/12? Тоже: их средним арифметическим будет 3/8. Таким образом, как бы близко друг к другу ни располагались два рациональных числа, между ними всегда будут другие рациональные числа.
Из этого следует, что любой отрезок числовой оси, каким бы маленьким он ни был, всегда будет содержать бесконечное количество рациональных чисел. В этом и заключается различие между рациональными и целыми числами. Разумеется, ни натуральные, ни целые числа этим свойством не обладают. Следовательно, мы можем утверждать, что рациональных чисел на числовой оси больше, чем натуральных, но все-таки между ними есть взаимно однозначное соответствие.
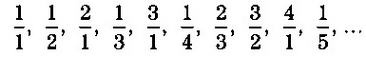
Чтобы объяснить, как оно возникает (и открыл его Кантор), отметим на оси дроби, полученные с помощью двух натуральных чисел. Сначала запишем единственную дробь, составляющие которой в сумме равны 2:1/1. Затем дроби, составляющие которых в сумме равны 3: 1/2 и 2/1. После дроби, составляющие которых в сумме равны 4:1/3 и 3/1, опуская дробь 2/2, так как 2/2 = 1/1, а ее мы уже отметили. Продолжим с дробями, составляющие которых в сумме дают 5, затем 6 и так далее, всегда опуская дроби, равные уже записанным. У нас получится ось, которая в начале выглядит следующим образом.

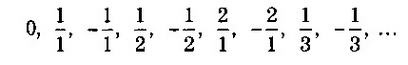
Если мы продолжим эту линию на достаточное расстояние, в конце концов на ней появится какое-то положительное рациональное число (мы представляем эту ось как потенциально бесконечную). Чтобы включить и другие рациональные числа, поставим в начале 0 и будем чередовать положительные и отрицательные числа:

После этого, чтобы закончить соответствие, соотнесем 0 с первым числом оси, 1 — со вторым, 2-е третьим и так далее.
Таким образом, мы доказали, что между множествами натуральных и рациональных чисел есть взаимно однозначное соответствие.
Но Кантор в статье 1874 года, следуя совету Вейерштрасса, не упоминал об этих соответствиях (лишь намекнул), а также о кардинальных числах. Как тогда он мог утверждать, что некая группа чисел эквивалентна группе натуральных чисел? Для этого Кантор использовал понятие, которое стало одним из основных в его теориях: последовательность.
В последовательности всегда есть первое число, второе и так далее. Существуют последовательность нечетных натуральных чисел (1, 3, 5, 7, 9, 11, ...) и последовательность простых чисел (2, 3, 5, 7, 11,...). Последовательности могут иметь и конечное число членов, но мы рассмотрим только те из них, которые, как в предыдущих примерах, состоят из бесконечного количества не повторяющихся членов.
Заметим, что для установления взаимно однозначного соответствия между натуральными и целыми числами мы должны сначала представить их в виде последовательности: 0,1, -1, 2, -2, 3, -3,... То же самое необходимо для установления соответствия между натуральными и рациональными числами:
Следовательно, утверждение, что некое множество чисел эквивалентно множеству натуральных чисел, означает, что его члены могут быть представлены в виде последовательности.
Я бы с удовольствием вставил комментарий о фундаментальном различии между группами, но убрал его, следуя совету господина Вейерштрасса.
Георг Кантор в письме Рихарду Дедекинду 27 декабря 1873 года
Используя это следствие, Кантор не стал упоминать в своей статье ни об эквивалентности натуральным числам, ни об общем кардинальном числе, а просто рассмотрел возможность организации членов некоей группы в виде последовательности.
ДИАГОНАЛЬНЫЙ МЕТОД
Теперь вернемся к числовой оси и предположим, что мы уже отметили числа 0 и 1. Исходя из этих отметок, позиции других чисел тоже строго определены. Будет ли ось полностью заполнена, если мы отметим на ней рациональные числа? Другими словами, можно ли записать все числа как соотношение двух целых чисел? Ответ на оба вопроса: нет. После того как мы нанесем на ось все рациональные числа, на ней все равно останутся точки, которым не будет соответствовать никакое число. Открытие иррациональных чисел приписывается Пифагору (VI век до н.э.), хотя, возможно, это был кто-то из его учеников. Иррациональные числа не могут быть представлены в виде соотношения целого и натурального числа, например √2-1,4142.... .. и π = 3,14159... Дополняют ось вещественные числа.
Именно они — включая в себя рациональные и иррациональные числа — не оставляют на оси ни одной свободной точки.
Мы вернемся к вещественным числам в следующей главе, так как они занимают важное место в развитии научных теорий Кантора. А пока рассмотрим вопрос: эквивалентно ли множество вещественных чисел множеству натуральных чисел (как в случае с целыми и рациональными числами)? Ответ стал одним из главных открытий Кантора: нет, эти множества неэквивалентны, то есть между ними нельзя установить взаимно однозначное соответствие.
Для доказательства недостаточно привести один пример неудавшегося соответствия, требуется показать, что провалом закончится любая попытка установить взаимно однозначное соответствие между натуральными и вещественными числами. Невозможно сделать так, чтобы каждое натуральное число соответствовало вещественному.
Для наглядности рассмотрим конкретный случай, в котором попытка установить соответствие оборачивается неудачей. Этот пример действителен для любой другой попытки, поэтому можно утверждать, что установить соответствие невозможно никоим способом. Попробуем найти пару для каждого вещественного числа из группы натуральных чисел и увидим, что какое-то вещественное число обязательно останется без пары (ниже показаны натуральные числа только от 0 до 4, хотя на самом деле этот список продолжается бесконечно).
Прочитали книгу? Предлагаем вам поделится своим впечатлением! Ваш отзыв будет полезен читателям, которые еще только собираются познакомиться с произведением.
Уважаемые читатели, слушатели и просто посетители нашей библиотеки! Просим Вас придерживаться определенных правил при комментировании литературных произведений.
Просьба отказаться от дискриминационных высказываний. Мы защищаем право наших читателей свободно выражать свою точку зрения. Вместе с тем мы не терпим агрессии. На сайте запрещено оставлять комментарий, который содержит унизительные высказывания или призывы к насилию по отношению к отдельным лицам или группам людей на основании их расы, этнического происхождения, вероисповедания, недееспособности, пола, возраста, статуса ветерана, касты или сексуальной ориентации. Просьба отказаться от оскорблений, угроз и запугиваний. Просьба отказаться от нецензурной лексики. Просьба вести себя максимально корректно как по отношению к авторам, так и по отношению к другим читателям и их комментариям.
Надеемся на Ваше понимание и благоразумие. С уважением, администратор My-Books.me.
Оставить комментарий
-
Александра15 январь 09:37
Очень интересная книга! Особенно, если любишь психологию и хочешь понимать себя и других. Обязательно послушаю до конца. Спасибо....
Кригер Борис – Гнев
-
Галина25 май 13:02
Очень уважаю Артема Шейнина, книга замечательная, очень мне близкая по духу.Перечитываю уже второй раз, столько пережитого и не...
Мне повезло вернуться - Артем Шейнин
-
Екатерина11 январь 08:05
Доброе утро. Подскажите пожалуйста как сохранять книги, ставить закладки?...
Подонок - Анастасия Леманн