Универсум. Общая теория управления - Владислав Масликов
Книгу Универсум. Общая теория управления - Владислав Масликов читаем онлайн бесплатно и без регистрации! Читать онлайн вы можете не только на компьютере, но и на андроид (Android), iPhone и iPad. Наслаждайтесь!
266 0 13:00, 21-05-2019Книга Универсум. Общая теория управления - Владислав Масликов читать онлайн бесплатно без регистрации
Конечно, в части теоретических описаний ОЯП точность дуальных противопоставлений вполне обоснована и допустима. На практике же дуализм далеко не всегда оправдан, ведь иногда от хоть как-то теоретически обоснованных научных дихотомий о первичности категорий «Материализм-Идеализм» (Философия), «Генотип – Фенотип» (Психология), «Техническое – Гуманитарное» (Педагогика) и т. п. генерирует волюнтаристские гипотезы об ответственности одной спирали ДНК за телесное, а второй – за духовное развитие человека. А иногда современная наука доходит даже до совершенно анти/научных споров о первичности происхождения мужчин или женщин[10]. Более того, даже эволюционисты нисколько не сомневаются, что тело и мозг человека развивались совершенно независимо друг от друга!
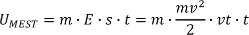
В общем, метрологическая состоятельность системы MEST внушает серьёзные сомнения [27, 33]. Так, например, физическое описание универсума этой философской системы как полной единицы, даёт следующий результат:

(1.7)
Такой континуум с трудом поддаётся осмыслению и неприменим для адекватного описания каких-либо ОЯП. Единственно возможный «основной вопрос философии» при таком мироописании может быть только вопросом о главенстве одной их двух слабо связанных между собой альтернатив «материального» и «духовного» (рис. 1.3).
Именно потому, что двухполярная MEST-система мироописания «материальное – идеальное» трудно приложима к практическому моделированию ОЯП. Такой способ отражения реальности на практике часто выливается в ситуацию, описанную поговоркой «говорит (идея, информация) одно, а делает (материальный процесс) – другое». В сознании философа, искренне верящего в то, что «материя лишена духовной сущности»[11] вместо многоцветной градационной картины мира находится лишь её черно-белый слепок, который уже не в состоянии удовлетворить насущные потребности информационного общества.

Рис. 1.3. Универсум системы MEST и основной вопрос MEST-философии
Так, например, физикам весьма трудно ответить на вопрос, каким образом введённое в 1948 году Клодом Шенноном понятие «бит» связано с единицами СИ МКС. Для них есть система СИ МКС, существующая сама по себе, а есть понятие «бит» – явление, существующее тоже вполне самостоятельно. Они согласятся с тем, что эти вещи как-то (кое-как, наверное, может быть) связаны друг с другом, но вместе с тем признают, что «бит» – он всё же «сам по себе» и напрямую с системой СИ МКС не связан. В общем, нет у физиков в этом вопросе определённости и ясности.
Существует ли другая, более адекватная система предельно обобщённых философских категорий мироописания? Система, стержнем которой должен стать не столько количественный подход к оценке ОЯП, сколько качественный. Система эта должна быть целостной и непротиворечивой, но прежде, чем говорить о категориях этой системы, следует обратить внимание на основные и достаточно хорошо используемые на практике физические процессы мироздания. Ведь физика является вполне надёжной базой развития многих наук, в том числе и тех, которые берутся описывать личностные и социальные отношения.
Для того, чтобы ответить на вопрос об адекватности отражения окружающего мира различными философскими системами, следует обратить более пристальное внимание на картину мира, уже созданную в нашем сознании современной физикой, достигшей несомненных практических успехов. Как бы то ни было, но её формулы верны и подтверждены многолетней практикой. От физики и других естественных научных знаний всё равно уйти не удастся, поскольку рано или поздно, но неизбежно любой свежепридуманный, первоначально «размытый» гуманитарный термин упирается в тупик, требующий существенного сужения первоначальных смыслов. Ведь даже ныне признанные естественнонаучными технические понятия «масса», «ускорение», «сила»» и другие ранее относились к классу гуманитарных[12].
Обратим внимание на первоистоки физической системы MEST и попробуем связать её с более простым и понятным мироощущением человека. Чаще всего он производит расчёты в международной системе единиц СИ, в которой нас будет интересовать абсолютная система единиц МКС. Начнём с её базовых элементов (табл. 1.3)
Таблица 1.3

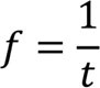
В первую очередь обратим внимание на то, что во многих физических формулах присутствует вышеупомянутая «единица», выражаемая числом 1, которое в виде произведения сомножителей или не пишется, или занимает позицию числителя дроби. Как уже отмечалось, число 1 в формулах является вариантом представления универсума, в произведении представляющим универсальное единство взаимосвязанных сомножителей и/или единство левой и правой частей дроби. Например, категория «время» («период») t однозначно связана с понятием «частота» f следующей известной формулой:

(1.8),
являющейся вариантом записи дихотомии универсумной формулы:

(1.9)
Универсумное представление соотношения (1.4) однозначно связывает частоту колебаний f [Гц] с их периодом t [c] обратной зависимостью. Обычное определение единиц МКС, того же t, для простоты можно назвать прямой (материальной) записью, а представление f в виде дроби (1.8) обратной. При этом универсумное описание базовых единиц системы МКС посредством прямой и обратной форм записи логично трансформируется в структуру записей симметричного вида (табл. 1.4).
Отметим, что входящие в универсум «период – частота» (строка 3) понятия имеют в физике вполне определённое, содержательное наполнение. Что же касается понятий, обратных «массе» и «длине» то, как и в философии, в физике о них практически ничего не говорится[13].
Включим в физическую картину мира недостающие звенья.
«Поле» – это величина, обратная материи (массе, строка 1). Если «масса» – это многое в одном (объединение АС в точке М), то «поле» – одно во многом (поле и/или его модель с центральной точкой разнонаправленных АС). Масса – это единая совокупность многих (минимум двух) «сжатых», статических объектов, выраженных в своей сути информационным понятием «материальная точка». Обратное понятие «поля» – это некая «разнокупность» одного материального, динамического объекта, реализованная во множестве (минимум в двух) информационных точках.
Прочитали книгу? Предлагаем вам поделится своим впечатлением! Ваш отзыв будет полезен читателям, которые еще только собираются познакомиться с произведением.
Уважаемые читатели, слушатели и просто посетители нашей библиотеки! Просим Вас придерживаться определенных правил при комментировании литературных произведений.
Просьба отказаться от дискриминационных высказываний. Мы защищаем право наших читателей свободно выражать свою точку зрения. Вместе с тем мы не терпим агрессии. На сайте запрещено оставлять комментарий, который содержит унизительные высказывания или призывы к насилию по отношению к отдельным лицам или группам людей на основании их расы, этнического происхождения, вероисповедания, недееспособности, пола, возраста, статуса ветерана, касты или сексуальной ориентации. Просьба отказаться от оскорблений, угроз и запугиваний. Просьба отказаться от нецензурной лексики. Просьба вести себя максимально корректно как по отношению к авторам, так и по отношению к другим читателям и их комментариям.
Надеемся на Ваше понимание и благоразумие. С уважением, администратор My-Books.me.
Оставить комментарий
-
Александра15 январь 09:37
Очень интересная книга! Особенно, если любишь психологию и хочешь понимать себя и других. Обязательно послушаю до конца. Спасибо....
Кригер Борис – Гнев
-
Галина25 май 13:02
Очень уважаю Артема Шейнина, книга замечательная, очень мне близкая по духу.Перечитываю уже второй раз, столько пережитого и не...
Мне повезло вернуться - Артем Шейнин
-
Екатерина11 январь 08:05
Доброе утро. Подскажите пожалуйста как сохранять книги, ставить закладки?...
Подонок - Анастасия Леманн