О том, чего мы не можем знать. Путешествие к рубежам знаний - Маркус Дю Сотой
Книгу О том, чего мы не можем знать. Путешествие к рубежам знаний - Маркус Дю Сотой читаем онлайн бесплатно и без регистрации! Читать онлайн вы можете не только на компьютере, но и на андроид (Android), iPhone и iPad. Наслаждайтесь!
453 0 13:01, 25-05-2019Книга О том, чего мы не можем знать. Путешествие к рубежам знаний - Маркус Дю Сотой читать онлайн бесплатно без регистрации
В конце концов открытие, совершенное в 1887 г. американскими учеными Альбертом Майкельсоном и Эдвардом Морли, разрешило этот спор в пользу Лейбница. Они выяснили, что результаты измерения скорости света в вакууме остаются неизменными независимо от того, движемся мы к источнику света или от него. Это откровение стало тем зародышем, из которого выросло открытие Эйнштейна: время оказалось не вполне таким абсолютным, каким считал его Ньютон.
На первый взгляд тот факт, что скорость света остается одинаковой при любом движении относительно источника света, кажется противоречащим здравому смыслу. Рассмотрим обращение Земли вокруг Солнца. Измеряя скорость света, идущего от удаленной звезды, можно было бы ожидать, что она будет выше, когда мы движемся по направлению к этой звезде, чем когда мы удаляемся от источника света.

Из ньютоновской физики следует, что человек, бегущий со скоростью 10 км/ч по поезду, идущему со скоростью 90 км/ч, движется относительно наблюдателя, стоящего на платформе, с суммарной скоростью 100 км/ч. Почему то же самое неверно для света, испускаемого фонарем, установленным на поезде? Почему скорость этого света, измеренная с платформы, не будет выше на 90 км/ч? Выясняется, что Ньютон был неправ и насчет скорости света, и насчет скорости бегуна, измеренных относительно человека, стоящего на платформе. Их скорости нельзя просто складывать со скоростью поезда. Это вычисление оказывается более тонким.
Именно пытаясь понять, почему скорость света остается неизменной, Эйнштейн совершил в 1905 г. революционное открытие, изменившее наши взгляды на Вселенную. Он выяснил, что время и пространство не абсолютны, что они изменяются в зависимости от относительного движения наблюдателя. Как известно, в то время Эйнштейн работал в швейцарском патентном бюро, оценивая новые изобретения в самых разных областях, от сортировки гравия до электрических пишущих машинок. Помимо всего прочего он должен был оценивать электрические устройства для синхронизации времени – эта задача становилась особенно важной во все более взаимосвязанном мире. Именно эта, кажущаяся такой приземленной, работа породила тот мысленный эксперимент, который привел Эйнштейна к созданию специальной теории относительности.
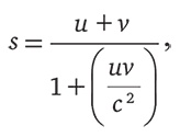
Релятивистская формула сложения скоростей
Эйнштейн открыл, что кажущаяся скорость s пассажира, бегущего со скоростью u по поезду, идущему со скоростью v, вычисляется по формуле:

где c – скорость света. Если скорости u и v малы по сравнению с c, то член uv/c2 очень мал. Это означает, что скорость s приблизительно равна сумме u + v. Однако, когда скорости u и v становятся сравнимы со скоростью света, такое приближение перестает работать и формула дает другой результат. При этом формула устроена так, что результирующая скорость никогда не может быть больше скорости света.
Для объяснения новых идей времени, предложенных Эйнштейном, мне нужны часы. А часам нужно что-то, повторяющееся через регулярные интервалы. Я мог бы использовать атомные часы из Национальной физической лаборатории или просто свои наручные часы, но на самом деле лучшие часы для демонстрации того странного воздействия, которое относительное движение оказывает на время, – это свет. Я собираюсь использовать тот открытый Майкельсоном и Морли факт, что скорость света, по-видимому, не зависит от движения того, кто ее измеряет.
Поэтому давайте рассмотрим время, измеряемое устройством, в котором каждый такт соответствует отражению света от одного из двух зеркал, между которыми он заключен.

Одни такие часы я возьму с собой на космический корабль, а вторые оставлю с вами на Земле. Поскольку расстояния в космосе, как мы увидим, сокращаются в направлении движения, мои часы надо расположить так, чтобы свет распространялся перпендикулярно курсу корабля. Так мы обеспечим равенство расстояний между двумя зеркалами в обоих местах измерения. Доказательство того, что – с точки зрения наблюдателя, оставшегося на Земле, – часы на космическом корабле идут медленнее, чем часы на Земле, не потребует ничего более сложного, чем теорема Пифагора.
Прозрение Эйнштейна основано на том, что для человека, оставшегося на Земле, свет должен распространяться на космическом корабле с той же скоростью, что и на Земле. В этом и состоит важное открытие Майкельсона и Морли: скорость света всюду одинакова. То, что корабль движется, не может увеличить скорость света. Для определения скорости нужно измерить пройденное расстояние на время, затраченное на прохождение этого расстояния (относительно измерительных приборов, установленных на Земле). Посмотрим, какое расстояние свет, испущенный одним зеркалом часов на космическом корабле, проходит до их другого зеркала.
Пусть зеркала установлены в 4 м друг от друга. Предположим также, что за время прохождения света между зеркалами космический корабль переместился, с точки зрения наблюдателя на Земле, на 3 м. Таким образом, свет перемещается по гипотенузе прямоугольного треугольника, и пройденное им расстояние по теореме Пифагора равно 5 м. Это и вся математика, которая нужна, чтобы понять специальную теорию относительности Эйнштейна.
Из этого можно вычислить, что космический корабль движется относительно Земли со скоростью, равной 3/5 скорости света, – он проходит 3 м за время, необходимое свету для перемещения на 5 м.

Часы космического корабля смещаются на 3 м за время прохождения света между зеркалами, установленными на расстоянии 4 м друг от друга. Согласно теореме Пифагора, это означает, что свет проходит расстояние, равное 5 м
Ключевой момент состоит в том, что на Земле свет должен пройти то же расстояние, так как скорость света везде должна быть одинаковой. Часы, оставшиеся с вами на Земле, имеют те же размеры, и свет в них должен покрыть то же расстояние, то есть 5 м. Но зеркала установлены в 4 м друг от друга. Это значит, что свет отразится от верхнего зеркала, снова будет направлен вниз и пройдет четверть расстояния второго такта. То есть для человека на Земле время идет быстрее, потому что один такт часов на космическом корабле занимает такое же время, как 1¼ такта часов на Земле. Значит, вам будет казаться, что мои часы идут в 4/5 раза медленнее!
Прочитали книгу? Предлагаем вам поделится своим впечатлением! Ваш отзыв будет полезен читателям, которые еще только собираются познакомиться с произведением.
Уважаемые читатели, слушатели и просто посетители нашей библиотеки! Просим Вас придерживаться определенных правил при комментировании литературных произведений.
Просьба отказаться от дискриминационных высказываний. Мы защищаем право наших читателей свободно выражать свою точку зрения. Вместе с тем мы не терпим агрессии. На сайте запрещено оставлять комментарий, который содержит унизительные высказывания или призывы к насилию по отношению к отдельным лицам или группам людей на основании их расы, этнического происхождения, вероисповедания, недееспособности, пола, возраста, статуса ветерана, касты или сексуальной ориентации. Просьба отказаться от оскорблений, угроз и запугиваний. Просьба отказаться от нецензурной лексики. Просьба вести себя максимально корректно как по отношению к авторам, так и по отношению к другим читателям и их комментариям.
Надеемся на Ваше понимание и благоразумие. С уважением, администратор My-Books.me.
Оставить комментарий
-
Александра15 январь 09:37
Очень интересная книга! Особенно, если любишь психологию и хочешь понимать себя и других. Обязательно послушаю до конца. Спасибо....
Кригер Борис – Гнев
-
Галина25 май 13:02
Очень уважаю Артема Шейнина, книга замечательная, очень мне близкая по духу.Перечитываю уже второй раз, столько пережитого и не...
Мне повезло вернуться - Артем Шейнин
-
Екатерина11 январь 08:05
Доброе утро. Подскажите пожалуйста как сохранять книги, ставить закладки?...
Подонок - Анастасия Леманн