Деньги, банковский кредит и экономические циклы - Хесус Уэрта де Сото
Книгу Деньги, банковский кредит и экономические циклы - Хесус Уэрта де Сото читаем онлайн бесплатно и без регистрации! Читать онлайн вы можете не только на компьютере, но и на андроид (Android), iPhone и iPad. Наслаждайтесь!
272 0 14:39, 21-05-2019Книга Деньги, банковский кредит и экономические циклы - Хесус Уэрта де Сото читать онлайн бесплатно без регистрации
(банкнот, произведенных из ничего).
Если предположить, что все банки выпускают банкноты одновременно и получают одну и ту же долю новых начальных денежных единиц, то для поддержания своих резервов наличности в неприкосновенности отдельный банк сможет произвести банкнот на сумму

Это та же формула, которую мы применяли для депозитов. Будут сделаны следующие проводки:

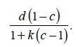
Мы могли бы воспроизвести все бухгалтерские записи для более общего случая, когда k > 0 (в нашем предыдущем примере k = 0,2). Если c = 0,1, то для каждых 1 000 000 д.е., полученных банком, он сможет создать из ничего новых банкнот на сумму
[43]
То есть банк будет способен создать 1 097 560 д.е. в форме необеспеченных банкнот. Мы могли бы повторять один за другим результаты, полученные нами для банковских депозитов, из чего следует, что между выпуском необеспеченных банкнот и расширением из ничего банковского кредита, обеспеченного кредитами, созданными из ничего, нет разницы. Единственное существенное различие коренится в правовой природе этих процессов, так как, согласно всеобщим принципам права, выпуск необеспеченных банкнот подразумевает фальшивомонетничество и мошенничество, а договор денежного банковского депозита – всего лишь присвоение.
Тем не менее существуют некоторые различия в способах выполнения этих действий. Банкноты принимают форму обязательства на предъявителя, и каждая из них имеет определенный номинал, что позволяет передавать банкноты от одного человека к другому без необходимости для банка отражать это в своих бухгалтерских регистрах (снижая операционные издержки банка). В отличие от этого преимущество депозитов в том, что клиенты могут написать на чеке любую нужную им сумму без необходимости передавать число банкнот, соответствующее этой сумме. Неудобство же состоит в том, что банкир должен сопровождать проводимые сделки и записывать их в своих регистрах.
И все же, отвлекаясь от юридических и формальных различий, с экономической точки зрения две эти операции в сущности тождественны и вызывают одни и те же последствия. Однако ниже мы увидим, что в начале развития теории денег ученые признавали безнравственность только в отношении создания необеспеченных банкнот и причиняемый ими тяжкий ущерб. Изначально они не осознавали и не реагировали на тот факт, что расширенное создание кредитов, обеспеченных депозитами, созданными из ничего, имеет те же самые последствия. Это объясняет, почему Закон Пиля от 19 июня 1844 г., заложивший основы современных банковских систем, запретил эмиссию необеспеченных банкнот, но все же потерпел провал, не достигнув своих целей – кредитно-финансовой устойчивости и полной ясности и защиты прав собственности граждан в сфере банковского дела. Причиной неудачи стала неспособность законодателей осознать, что банковские депозиты с частичным резервированием имеют такую же природу и экономические последствия, что и необеспеченные банкноты. В итоге закон не запретил банковского дела с частичным резервированием и позволил продолжить вековую практику «эмиссии» необеспеченных (вторичных) депозитов. В действительности, вторичные депозиты предшествовали фидуциарной эмиссии банкнот, но по причине того, что природа депозитов оказалась более сложной для понимания, был запрещен лишь выпуск необеспеченных банкнот. Договор денежного банковского депозита с частичным резервированием сегодня все еще законен, даже при том что он имеет ту же самую экономическую природу и вызывает те же самые вредные последствия, что и эмиссия необеспеченных банкнот, запрещенная в 1844 г. Законом Пиля[291].
Прочитали книгу? Предлагаем вам поделится своим впечатлением! Ваш отзыв будет полезен читателям, которые еще только собираются познакомиться с произведением.
Уважаемые читатели, слушатели и просто посетители нашей библиотеки! Просим Вас придерживаться определенных правил при комментировании литературных произведений.
Просьба отказаться от дискриминационных высказываний. Мы защищаем право наших читателей свободно выражать свою точку зрения. Вместе с тем мы не терпим агрессии. На сайте запрещено оставлять комментарий, который содержит унизительные высказывания или призывы к насилию по отношению к отдельным лицам или группам людей на основании их расы, этнического происхождения, вероисповедания, недееспособности, пола, возраста, статуса ветерана, касты или сексуальной ориентации. Просьба отказаться от оскорблений, угроз и запугиваний. Просьба отказаться от нецензурной лексики. Просьба вести себя максимально корректно как по отношению к авторам, так и по отношению к другим читателям и их комментариям.
Надеемся на Ваше понимание и благоразумие. С уважением, администратор My-Books.me.
Оставить комментарий
-
Александра15 январь 09:37
Очень интересная книга! Особенно, если любишь психологию и хочешь понимать себя и других. Обязательно послушаю до конца. Спасибо....
Кригер Борис – Гнев
-
Галина25 май 13:02
Очень уважаю Артема Шейнина, книга замечательная, очень мне близкая по духу.Перечитываю уже второй раз, столько пережитого и не...
Мне повезло вернуться - Артем Шейнин
-
Екатерина11 январь 08:05
Доброе утро. Подскажите пожалуйста как сохранять книги, ставить закладки?...
Подонок - Анастасия Леманн