Деньги, банковский кредит и экономические циклы - Хесус Уэрта де Сото
Книгу Деньги, банковский кредит и экономические циклы - Хесус Уэрта де Сото читаем онлайн бесплатно и без регистрации! Читать онлайн вы можете не только на компьютере, но и на андроид (Android), iPhone и iPad. Наслаждайтесь!
272 0 14:39, 21-05-2019Книга Деньги, банковский кредит и экономические циклы - Хесус Уэрта де Сото читать онлайн бесплатно без регистрации
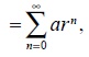
[21] 1 219 512 + 1 219 512 · 0,878 + 1 219 512 · 0,8782 + … =
= a + ar + ar2 +… =
где: a = 1 219 512 д.е.,
а общий коэффициент
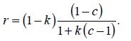
Так происходит оттого, что в нашем примере r будет равно 80 %, т. е. (1–k), от доли депозитов, вновь созданных каждым банком на каждой стадии. Эта доля, рассчитанная по формуле [3], равняется

Отсюда
[22]
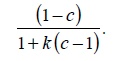
И, поскольку |r| < 1, можно применить формулы [11] и [12]:
[23]
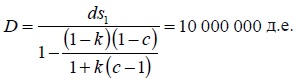
Таким образом D, сумма депозитов в банковской системе, будет равна:
[24]
В этой формуле ds1 обозначает вторичные депозиты банка А и равна 1 219 512 д.е.
Чистая кредитная экспансия x в банковской системе в целом будет равна:
[25] x = D – d = 10 000 000 – 1 000 000 = 9 000 000 д.е.
Общий итог сведен в табл. 4–1 и на рис. 4–1. Подробности даны для каждого банка – члена банковской системы.
Таблица 4-1
Система банков «обычного» размера
(k = 0,2; c = 0,1)

Примечание: последние три цифры округлены.
Создание кредита в системе мелких банков
Теперь предположим, что система состоит только из очень мелких банков, для которых k = 0, а с = 0,1. Бухгалтерские проводки для такой банковской системы будут выглядеть следующим образом.
Когда в банк А сделан депозит до востребования в размере 1 000 000 д.е.:


Рис. 4–1. кредитная экспансия в банковской системе *
Примечание: ввиду недостатка места области R и P не соответствуют их реальной величине.
* На основе рисунка из: C.A. Philips in Bank Credit, op. cit., p.61.
Когда Z снимает с депозита 900 000 д.е., чтобы заплатить Y, баланс банка А приобретает такой вид:

Если Y, в свою очередь, хранит полученные деньги в другом мелком банке В, у которого c = 0,1 и k = 0, то последуют проводки:

А баланс банка В будет выглядеть так:

Теперь если V снимает с депозита в своем банке полученный кредит, чтобы уплатить U, а U хранит деньги уже в другом банке – банке С, столь же мелком, т. е. у которого k = 0, а c = 0,1, то в регистрах банка С будут отражены проводки:

А баланс банка С приобретет следующий вид:

Когда Т заплатит своему кредитору S, при том что S хранит свои деньги в мелком банке D (у которого точно так же c = 0,1, а k = 0), будут сделаны бухгалтерские записи:

А баланс банка D станет выглядеть следующим образом:

Общая сумма депозитов в системе очень малых банков равна сумме последовательности, отраженной в формуле [8], которая относится к банку-монополисту:
[26] 1 000 000 + 1 000 000 · 0,9 + 1 000 000 · 0,92 +1 000 000 · 0,93 + … =
где: a = 1 000 000;
r = 0,9.
Как показано в прим. 27, эта сумма, в свою очередь, равна:

А поскольку a = d = 1 000 000 д.е., вложенных первоначально, то общую сумму депозитов можно рассчитать по формуле
[27]
Эта формула идентична мультипликатору депозитов для случая банковской системы, состоящей из единственного банка-монополиста [14].
Прочитали книгу? Предлагаем вам поделится своим впечатлением! Ваш отзыв будет полезен читателям, которые еще только собираются познакомиться с произведением.
Уважаемые читатели, слушатели и просто посетители нашей библиотеки! Просим Вас придерживаться определенных правил при комментировании литературных произведений.
Просьба отказаться от дискриминационных высказываний. Мы защищаем право наших читателей свободно выражать свою точку зрения. Вместе с тем мы не терпим агрессии. На сайте запрещено оставлять комментарий, который содержит унизительные высказывания или призывы к насилию по отношению к отдельным лицам или группам людей на основании их расы, этнического происхождения, вероисповедания, недееспособности, пола, возраста, статуса ветерана, касты или сексуальной ориентации. Просьба отказаться от оскорблений, угроз и запугиваний. Просьба отказаться от нецензурной лексики. Просьба вести себя максимально корректно как по отношению к авторам, так и по отношению к другим читателям и их комментариям.
Надеемся на Ваше понимание и благоразумие. С уважением, администратор My-Books.me.
Оставить комментарий
-
Александра15 январь 09:37
Очень интересная книга! Особенно, если любишь психологию и хочешь понимать себя и других. Обязательно послушаю до конца. Спасибо....
Кригер Борис – Гнев
-
Галина25 май 13:02
Очень уважаю Артема Шейнина, книга замечательная, очень мне близкая по духу.Перечитываю уже второй раз, столько пережитого и не...
Мне повезло вернуться - Артем Шейнин
-
Екатерина11 январь 08:05
Доброе утро. Подскажите пожалуйста как сохранять книги, ставить закладки?...
Подонок - Анастасия Леманн