Тайны пола. Мужчина и женщина в зеркале эволюции - Марина Бутовская
Книгу Тайны пола. Мужчина и женщина в зеркале эволюции - Марина Бутовская читаем онлайн бесплатно и без регистрации! Читать онлайн вы можете не только на компьютере, но и на андроид (Android), iPhone и iPad. Наслаждайтесь!
194 0 12:33, 25-05-2019Книга Тайны пола. Мужчина и женщина в зеркале эволюции - Марина Бутовская читать онлайн бесплатно без регистрации
Что же происходит, если самка оказывается не в состоянии привлечь полового партнера? У млекопитающих такая особь окажется исключенной из процесса размножения и не оставит потомков. Однако некоторые беспозвоночные нашли выход из такого положения, сделав возможным развитие яиц без оплодотворения мужскими половыми продуктами. Подобный тип размножения получил название партеногенез. В силу того обстоятельства, что виды, практикующие партеногенез, произошли от предков, размножающихся половым путем, данный феномен в биологии называют вторичным бесполым размножением.
Явление «непорочного зачатия» или партеногенеза было открыто немецким зоологом К. Зибольдом в XIX в. у некоторых насекомых (в частности, у тлей). Он обнаружил, что в летнее время в популяциях тлей присутствуют только самки, они откладывают неоплодотворенные яйца, из которых также появляются самки. За лето может смениться до 10 таких однополых генераций. К концу лета, под влиянием укороченного светового дня из некоторых неоплодотворенных яиц вылупляются самцы. Таким образом, ведущим фактором, определяющим пол у тлей выступает длина светового дня! Самцы спариваются с самками и оплодотворенные яйца зимуют. Из них весной выходят одни самки. У тлей, таким образом, самцы всегда развиваются из неоплодотворенных яиц, а самки и из оплодотворенных и из неоплодотворенных.
Партеногенез описан у пчел, термитов, муравьев, некоторых клопов и жуков. У пчел, к примеру, из неоплодотворенных яиц вылупляются самцы, а из оплодотворенных — самки. Еще один поразительный вариант непорочного зачатия, когда размножение происходит на стадии неполовозрелых особей (педогенез), известен у комариков галл и ц. Это происходит потому, что развитие половых органов у них завершается на стадии личинки, когда остальные органы остаются еще неразвитыми.
В XX в. список животных, постоянно или временно практикующих партеногенез, значительно пополнился не только разными видами насекомых, червей, моллюсков, но и позвоночными животными. Партеногенетическое размножение было описано И. Даревским у одного из видов скальной ящерицы, обитающей на берегу о. Севан. В популяции этой ящерицы полностью отсутствуют самцы. Самки откладывают неоплодотворенные яйца, из которых в срок появляются новые самки. Отчего именно этот вид полностью пожертвовал самцами — и по сей день остается загадкой.
На сегодняшний день известно несколько типов партеногенеза. Первый основан на генетическом механизме, а второй — на том, что из неоплодотворенных яиц появляются особи определенного пола.
К первому типу относятся варианты партеногенеза, основанные на гаплодиплоидии, апомиксисе, автомиксисе и эндомиксисе. При гаплодиплоидии у самок процесс мейоза проходит по обычной схеме, хромосомы удваиваются один раз, но при этом деление происходит дважды, а произведенные яйцеклетки (ооциты) несут гаплоидный набор хромосом. Ооциты, оплодотворенные спермой, развиваются по традиционной схеме, в результате чего формируются нормальные самки. А неоплодотворенные яйцеклетки остаются гаплоидными и развиваются в самцов. Гаплодиплоидия характерна для Hymenoptera и ряда видов артропод. При апомиксисе нарушается процесс деления при мейозе, в результате чего все потомки имеют идентичный набор генов с матерью. Эта форма партеногенеза описана у тараканов. Для автомиксиса в процессе нормального мейоза образуются гаплоидные клетки, которые затем сливаются. В результате формируются диплоидные половые клетки. В процессе автомиксиса образуются потомки генетически не идентичные матери, у них наблюдается повышение гомозиготности. Эндомитоз — процесс, при котором мейозу предшествует удвоение хромосомного набора, поэтому клетка, претерпевающая мейотическое деление является тетраплоидной. В результате мейоза образуется четыре диплоидных клетки. Все потомки идентичны матери. Эндомитоз типичен для некоторых видов яшериц, палочников и кокцид.
Второй тип партеногенетического развития представлен тремя вариантами: арренотокией, телитокией и амфитокией. В первом случае из неоплодотворенных яиц развиваются только самцы, во втором — только самки, а в третьем могут развиваться либо самцы, либо самки.
Аналогично самому половому размножению, партеногенез возникал в животном царстве неоднократно. Причин, по которым такой тип размножения встречается достаточно редко, — две. Во-первых, партеногенетические формы эволюционируют медленнее форм с нормальным половым размножением; во-вторых, партеногенетические формы демонстрируют повышенную устойчивость к накоплению вредных мутаций. Подсчеты показывают, что шансы возникновения двух адаптивных мутаций у одного организма примерно в 250 раз выше, если он принадлежит к популяции, практикующей половое размножение. Поэтому, когда популяция вынуждена приспосабливаться к новым условиям среды, половое размножение имеет неоспоримые преимущества: половое размножение ведет к возникновению большего разнообразия в пределах популяции, и какие-то из этих вариантов могут оказаться более жизнеспособными в новых условиях.
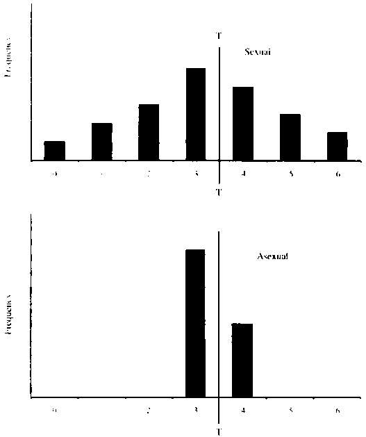
Одно из объяснений преимущества полового размножения дает теория Г. Мюллера, известная под именем Мюллеровского механизма устранения колебаний (Muller's ratchet). Теория предполагает, что путем полового размножения можно более эффективно избавляться от вредных мутаций. При бесполом размножении негативные мутации постепенно накапливаются в пределах конкретной линии. А. С. Кондрашов дополнил модель Г. Мюллера, введя представление об эффекте накопительного усиления негативного действия вредных мутаций. Представим себе два генных локуса с нормальными аллелями А и В и вредными мутантными аллелями а ив. Генотип нормальной особи будет АВ. Гетерозиготы по каждому из мутантных аллелей (Ав и Ва) будут обладать меньшей приспособленностью, а сочетание АВ окажется летальным. У популяций, практикующих бесполое размножение, генотипы Ав или Ва могут получить широкое распространение в популяции, но при этом летальные генотипы ав будут возникать крайне редко. В то время как в популяции, практикующей половое размножение, подобные летальные генотипы будут воспроизводиться регулярно и эффективнее отсекаться отбором (Рис. 1.3). При возникновении большого количества негативных мутаций, в условиях полового размножения отсекается существенно больше летальных комбинаций и избирательная элиминация фиксированной пропорции носителей летальных генов идет быстрее и эффективнее.

Рис 1.3. Эффект Кондрашова. Число вредных мутаций, приходящихся на одну особь в популяции, размножающейся путем полового отбора выше, чем в популяции, практикующей бесполое размножение. В условиях полового размножения из популяции будет вымываться больше вредных мутаций, чем при бесполом размножении путем селективной элиминации. (Дано по Majerus. 2003).
У большинства животных пол детерминирован генетически на хромосомном уровне и, если в процессе индивидуального развития не происходит никаких сбоев, внешние признаки пола находятся в соответствии с генетическими предсказаниями.
Прочитали книгу? Предлагаем вам поделится своим впечатлением! Ваш отзыв будет полезен читателям, которые еще только собираются познакомиться с произведением.
Уважаемые читатели, слушатели и просто посетители нашей библиотеки! Просим Вас придерживаться определенных правил при комментировании литературных произведений.
Просьба отказаться от дискриминационных высказываний. Мы защищаем право наших читателей свободно выражать свою точку зрения. Вместе с тем мы не терпим агрессии. На сайте запрещено оставлять комментарий, который содержит унизительные высказывания или призывы к насилию по отношению к отдельным лицам или группам людей на основании их расы, этнического происхождения, вероисповедания, недееспособности, пола, возраста, статуса ветерана, касты или сексуальной ориентации. Просьба отказаться от оскорблений, угроз и запугиваний. Просьба отказаться от нецензурной лексики. Просьба вести себя максимально корректно как по отношению к авторам, так и по отношению к другим читателям и их комментариям.
Надеемся на Ваше понимание и благоразумие. С уважением, администратор My-Books.me.
Оставить комментарий
-
Александра15 январь 09:37
Очень интересная книга! Особенно, если любишь психологию и хочешь понимать себя и других. Обязательно послушаю до конца. Спасибо....
Кригер Борис – Гнев
-
Галина25 май 13:02
Очень уважаю Артема Шейнина, книга замечательная, очень мне близкая по духу.Перечитываю уже второй раз, столько пережитого и не...
Мне повезло вернуться - Артем Шейнин
-
Екатерина11 январь 08:05
Доброе утро. Подскажите пожалуйста как сохранять книги, ставить закладки?...
Подонок - Анастасия Леманн