» » » Симпсоны и их математические секреты - Саймон Сингх

Симпсоны и их математические секреты - Саймон Сингх

Книгу Симпсоны и их математические секреты - Саймон Сингх читаем онлайн бесплатно и без регистрации! Читать онлайн вы можете не только на компьютере, но и на андроид (Android), iPhone и iPad. Наслаждайтесь!

445 0 15:09, 25-05-2019
Симпсоны и их математические секреты - Саймон Сингх
25 май 2019
Автор: Саймон Сингх Жанр: Книги / Домашняя Год публикации: 2017 Возрастные ограничения: (18+) Внимание! Аудиокнига может содержать контент только для совершеннолетних.
+1 1

Книга Симпсоны и их математические секреты - Саймон Сингх читать онлайн бесплатно без регистрации

Саймон Сингх рассказывает о самых интересных эпизодах мультсериала, в которых фигурируют важнейшие математические идеи – от числа π и бесконечности до происхождения чисел и самых сложных проблем, над которыми работают современные математики. Книга будет интересна поклонникам сериала «Симпсоны» и всем, кто увлекается математикой. На русском языке публикуется впервые.
1 ... 52 53 54 55 56 57 58 59 60 61
Перейти на страницу:

Хотя Коэн не изобрел никакой кардинально новой компьютерной технологии и не решил загадку «P = NP или P ≠ NP», он все же считает, что мог внести косвенный вклад в научные исследования: «Я действительно предпочел бы всю жизнь заниматься научными исследованиями, но все же я считаю, что “Симпсоны” и “Футурама” делают математику и другие точные науки увлекательными, что может оказать влияние на новое поколение, а значит, кто-то после меня сумеет достичь того, чего не удалось мне. Безусловно, я могу утешить себя такими мыслями и спокойно спать по ночам».

Что касается Кена Килера, то он оценивает тот период, когда всерьез занимался математикой, как возможность для развития на пути к профессии комедийного сценариста: «Все, что с нами происходит, оказывает на нас определенное влияние. Я уверен в том, что учеба в магистратуре помогла мне стать хорошим сценаристом. И я ни в коем случае не сожалею об этом. Например, я выбрал в качестве серийного номера Бендера число 1729, исторически значимое число в математике. Я считаю, что уже одна только эта ссылка полностью оправдывает мою докторскую степень. Правда, я не знаю, согласен ли с этим мой научный руководитель».

Приложение 1
Использование саберметрики в футболе

Билли Бин начал размышлять о применении методов саберметрики в футболе вскоре после того, как владельцы Oakland Athletics заинтересовались покупкой английских футбольных клубов, таких как Liverpool, Arsenal и Tottenham Hotspur.

Тем не менее еще до Билли Бина некоторые люди анализировали футбол с точки зрения математики. В частности, было проведено тщательное исследование влияния игроков, получивших красные карточки. Этот вопрос заинтересовал бы Лизу Симпсон, которой вручил красную карточку отец во время футбольного матча в эпизоде «Мардж – геймер» (Marge Gamer, сезон 18, эпизод 17; 2007 год).

Три голландских профессора, Г. Риддер, Дж. С. Крамер и П. Хопстакен, написали работу под названием Down to Ten: Estimating the Effect of a Red Card in Soccer («Десять игроков: оценка влияния красной карточки в футболе»), которая была опубликована в 1994 году в Journal of the American Statistical Association. В ней авторы предлагают «модель оценки влияния красной карточки с учетом исходных различий между сильными сторонами команд, а также количества голов, забитых во время матча. Точнее говоря, мы предлагаем неоднородную по времени пуассоновскую модель с учетом воздействия на счет любой стороны в конкретном матче. Мы определяем дифференцированное воздействие красной карточки методом условной оценки максимального правдоподобия вне зависимости от результатов матча».

Авторы работы утверждали, что защитник, который идет на преднамеренное столкновение с нападающим вне штрафной площадки, вносит положительный вклад в игру своей команды, предотвращая гол, однако у этого вклада есть и отрицательный аспект, поскольку данного игрока удалят с поля и он не сможет играть до конца матча. Если инцидент происходит в последнюю минуту матча, то положительный вклад перевешивает отрицательный, потому что игрока удаляют с поля перед самым окончанием матча. Однако если инцидент имеет место в первую минуту матча, то отрицательный вклад превосходит положительный, так как в команде остается всего десять игроков почти на весь матч. Общее воздействие в таких крайних случаях соответствует здравому смыслу, но что происходит, если возможность предотвратить гол посредством преднамеренного столкновения появляется посредине матча? Стоит ли идти на такой шаг?

Профессор Риддер и его коллеги использовали математический подход для определения точки перехода, или того момента матча, после которого удаление с поля становится целесообразным, если подразумевает шанс предотвратить гол.

Если исходить из предположения, что команды хорошо подобраны и нападающий почти наверняка забьет гол, тогда целесообразно пойти на столкновение в любое время после шестнадцатой минуты матча продолжительностью девяносто минут. Если вероятность гола составляет 60 процентов, тогда защитнику следует подождать до сорок восьмой минуты матча, и только потом идти на столкновение с нападающим. Если вероятность гола всего 30 процентов, то защитнику необходимо подождать до семьдесят первой минуты матча, прежде чем делать свое грязное дело. Это не самый достойный способ применения математики в спорте, но все же данный результат можно считать полезным.

Приложение 2
Анализ тождества Эйлера

e+ 1 = 0

Тождество Эйлера примечательно тем, что оно объединяет пять фундаментальных математических констант: 0, 1, π, e и i. Наше краткое объяснение поможет пролить свет на то, что значит возвести e в мнимую степень, что, в свою очередь, позволит показать, почему тождество верно. Но для этого необходимо иметь общее представление о некоторых специальных математических понятиях, таких как тригонометрические функции, радианы и мнимые числа.

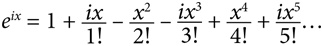
Начнем с ряда Тейлора, который позволяет представить любую функцию в виде суммы бесконечного числа членов ряда. Если вы хотите больше узнать о построении ряда Тейлора, вам придется изучить этот вопрос самостоятельно, но для наших целей достаточно того, что функцию ex можно представить в следующем виде:


Симпсоны и их математические секреты

Здесь x может иметь любое значение, поэтому мы можем подставить ix вместо x, где i² = −1. Таким образом, мы получим следующий ряд:


Симпсоны и их математические секреты

Далее сгруппируем члены ряда в зависимости от того, есть ли в них i или нет:


Симпсоны и их математические секреты

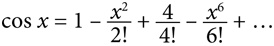
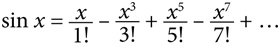
В качестве на первый взгляд неуместного отступления можно также найти пару рядов Тейлора, представляющих функции синуса и косинуса, что дает следующий результат:


Симпсоны и их математические секреты
Симпсоны и их математические секреты

Следовательно, мы можем записать eix через sin x и cos x:

eix = cos x + i sin x

В формуле Эйлера присутствует eiπ, и теперь мы можем подставить π вместо x:

eiπ = cos π + i sin π

1 ... 52 53 54 55 56 57 58 59 60 61
Перейти на страницу:
  1. Жалоба
Отзывы - 0

Прочитали книгу? Предлагаем вам поделится своим впечатлением! Ваш отзыв будет полезен читателям, которые еще только собираются познакомиться с произведением.


Уважаемые читатели, слушатели и просто посетители нашей библиотеки! Просим Вас придерживаться определенных правил при комментировании литературных произведений.

Просьба отказаться от дискриминационных высказываний. Мы защищаем право наших читателей свободно выражать свою точку зрения. Вместе с тем мы не терпим агрессии. На сайте запрещено оставлять комментарий, который содержит унизительные высказывания или призывы к насилию по отношению к отдельным лицам или группам людей на основании их расы, этнического происхождения, вероисповедания, недееспособности, пола, возраста, статуса ветерана, касты или сексуальной ориентации. Просьба отказаться от оскорблений, угроз и запугиваний. Просьба отказаться от нецензурной лексики. Просьба вести себя максимально корректно как по отношению к авторам, так и по отношению к другим читателям и их комментариям.

Надеемся на Ваше понимание и благоразумие. С уважением, администратор My-Books.me.


Новые отзывы

  1. Александра Александра15 январь 09:37 Очень интересная книга! Особенно, если любишь психологию и хочешь понимать себя и других. Обязательно послушаю до конца. Спасибо.... Кригер Борис – Гнев
  2. Галина Галина25 май 13:02 Очень уважаю Артема Шейнина, книга замечательная, очень мне близкая по духу.Перечитываю уже второй раз, столько пережитого и не... Мне повезло вернуться - Артем Шейнин
  3. Екатерина Екатерина11 январь 08:05 Доброе утро. Подскажите пожалуйста как сохранять книги, ставить закладки?... Подонок - Анастасия Леманн
Все комметарии
Новинки бесплатной онлайн библиотеки