Красота в квадрате. Как цифры отражают жизнь и жизнь отражает цифры - Алекс Беллос
Книгу Красота в квадрате. Как цифры отражают жизнь и жизнь отражает цифры - Алекс Беллос читаем онлайн бесплатно и без регистрации! Читать онлайн вы можете не только на компьютере, но и на андроид (Android), iPhone и iPad. Наслаждайтесь!
414 0 23:27, 24-05-2019Книга Красота в квадрате. Как цифры отражают жизнь и жизнь отражает цифры - Алекс Беллос читать онлайн бесплатно без регистрации
Числа, не относящиеся к категории мнимых, называются действительными числами. Они действительные потому, что находятся на числовой оси, а значит, мы можем увидеть, что они и правда там есть. Числа 2, 3, 5, — 4 и π — действительные числа, а 2i, 3i, 5i, –4i и πi — мнимые. На самом деле множество мнимых чисел — это своего рода зеркальное отражение действительных чисел. Каждому действительному числу m соответствует мнимое число mi.
Когда действительное число прибавляется к мнимому, такая гибридная форма, как 3 + 2i, называется комплексным числом. Все комплексные числа имеют форму a + bi, где a и b — действительные числа, а i — это √–1[129]. Поскольку прибавить действительное число к мнимому в общепринятом смысле нельзя, знак плюс используется исключительно для разделения двух частей числа. Считается, что комплексное число — это одно число, состоящее из двух частей — действительной и мнимой. Если действительная часть равна нулю, тогда все число мнимое; если мнимая часть равна нулю, тогда число действительное.
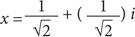
Значение концепции числа, используемой поначалу для подсчета физических объектов, было расширено посредством введения понятия отрицательных, а затем и мнимых чисел. В связи с этим возник закономерный вопрос о том, создаст ли алгебра еще более абстрактную категорию чисел. Например, что представляет собой квадратный корень квадратного корня из минус единицы? Если всерьез задуматься об этой концепции, сперва она перевернет ваш разум вверх дном, а затем вывернет наизнанку. Речь идет о решении уравнения:

или:

что эквивалентно:
x2 = i
Поражает тот факт, что решение этого уравнения представляет собой комплексное число[130][131]:

В XVIII веке математики поняли, что применение мнимых чисел позволяет решить любое уравнение. Это вывод оказался настолько важным, что его стали позиционировать как основную теорему алгебры. Уравнение, записанное с помощью комплексных чисел, всегда имеет решение в виде комплексных чисел. Дверь, в которую вошел Рафаэль Бомбелли, для того чтобы изучить квадратные корни отрицательных чисел, оказалась дверью в изолированную комнату. Но что это была за комната! Болезненные чувства, испытываемые математиками по отношению к мнимым числам, уступили место радости. В настоящее время концепция числа i считается вполне естественным и эффективным расширением числовой системы. Благодаря введению единственного символа математики получили изысканно самодостаточную абстрактную вселенную. Это была выгодная сделка!
Мнимые числа — главные герои двух самых известных примеров математической красоты. Один из них — картина (о которой мы поговорим немного позже), а другой — уравнение, известное как тождество Эйлера. В 2003 году, во время атаки экотеррористов на автосалон в Лос-Анджелесе, эту формулу нанесли спреем на бок внедорожника. Характер данного рисунка привел к аресту студента, изучавшего физику в Калифорнийском технологическом институте[132]. «Все должны знать тождество Эйлера», — объяснил он судье. Безусловно, студент был совершенно прав, но от разрисовывания автомобилей все же следует воздержаться. Тождество Эйлера — это «быть или не быть» математики, самая знаменитая формула и фрагмент культурного наследия, находящий отклик и за пределами своей области:
eiπ + 1 = 0
Это поразительное равенство. Оно объединяет пять самых важных чисел в математике: 1 — первое натуральное число; 0 — абстрактное представление понятия «ничего»; π — отношение длины окружности к диаметру; е — экспоненциальная константа; i — квадратный корень из минус единицы. Все эти числа возникли в отдельных областях исследований и при этом образуют идеальное сочетание. Невозможно было даже представить себе столь безукоризненный синтез математической мысли. В математике красота — это изысканность формулировок и установление неожиданных связей. Не существует другого уравнения, которое было бы столь же кратким и в то же время столь же глубоким.
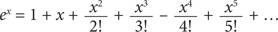
Но что же все-таки значит то, что у действительного числа (числа е) мнимый показатель степени (iπ)? В XIX столетии профессор математики Гарвардского университета Бенджамин Пирс ответил на этот вопрос так: «Мы не можем понять и не знаем, что это значит. Но мы доказали это, следовательно, оно должно соответствовать истине». Пирс был совершенно прав. Математика начинается с исходных предположений и приводит туда, куда они ведут. Именно поэтому она столь увлекательна. На самом деле Эйлер открыл эту формулу, позабыв о смысле. Поскольку тождество Эйлера — самое известное уравнение в математике, я бы оказал вам плохую услугу, если бы хотя бы кратко не рассказал эту историю.
Единственное, что вам понадобится в качестве подготовки, — принять без доказательства три следующих уравнения. Многоточия в конце означают, что правая сторона уравнения продолжается до бесконечности:


Прочитали книгу? Предлагаем вам поделится своим впечатлением! Ваш отзыв будет полезен читателям, которые еще только собираются познакомиться с произведением.
Уважаемые читатели, слушатели и просто посетители нашей библиотеки! Просим Вас придерживаться определенных правил при комментировании литературных произведений.
Просьба отказаться от дискриминационных высказываний. Мы защищаем право наших читателей свободно выражать свою точку зрения. Вместе с тем мы не терпим агрессии. На сайте запрещено оставлять комментарий, который содержит унизительные высказывания или призывы к насилию по отношению к отдельным лицам или группам людей на основании их расы, этнического происхождения, вероисповедания, недееспособности, пола, возраста, статуса ветерана, касты или сексуальной ориентации. Просьба отказаться от оскорблений, угроз и запугиваний. Просьба отказаться от нецензурной лексики. Просьба вести себя максимально корректно как по отношению к авторам, так и по отношению к другим читателям и их комментариям.
Надеемся на Ваше понимание и благоразумие. С уважением, администратор My-Books.me.
Оставить комментарий
-
Александра15 январь 09:37
Очень интересная книга! Особенно, если любишь психологию и хочешь понимать себя и других. Обязательно послушаю до конца. Спасибо....
Кригер Борис – Гнев
-
Галина25 май 13:02
Очень уважаю Артема Шейнина, книга замечательная, очень мне близкая по духу.Перечитываю уже второй раз, столько пережитого и не...
Мне повезло вернуться - Артем Шейнин
-
Екатерина11 январь 08:05
Доброе утро. Подскажите пожалуйста как сохранять книги, ставить закладки?...
Подонок - Анастасия Леманн