Онтогенез. От клетки до человека - Джейми Дейвис
Книгу Онтогенез. От клетки до человека - Джейми Дейвис читаем онлайн бесплатно и без регистрации! Читать онлайн вы можете не только на компьютере, но и на андроид (Android), iPhone и iPad. Наслаждайтесь!
195 0 21:13, 24-05-2019Книга Онтогенез. От клетки до человека - Джейми Дейвис читать онлайн бесплатно без регистрации
Есть два основных способа изменить соединения между нейронами. Один из них предполагает, что анатомические соединения не меняются, а меняется биохимическая эффективность передачи сигнала каждым нейроном. Достоинство этого способа – быстрота. Другой способ заключается в изменении самой системы нейронной «проводки»: существующие соединения исчезают, и появляются новые. Это происходит медленнее, потому что рост новых аксонов требует времени (за один час конусы роста проходят расстояние, примерно равное одному диаметру нейрона). Около шестидесяти лет назад канадский невролог Дональд Хебб предложил механизм, за счет которого процесс обучения по первому типу – за счет изменения силы существующих соединений – может происходить автоматически.[262] Рассказывать об этом механизме будет проще, если мы вспомним о существовании особого и довольно простого типа обучения – условного рефлекса.
Условные рефлексы открыл русский физиолог И. П. Павлов при изучении физиологии пищеварения. (Его открытие также известно под названием «выработка условного рефлекса по Павлову».) Когда собаки видят пищу или чувствуют ее запах, у них начинается слюнотечение, так как активность слюнных желез контролируется в том числе и мозгом, а не только присутствием пищи во рту. В своих опытах Павлов подвергал собак перед кормлением воздействию не связанных с едой стимулов, например, они слышали звук свистка или колокольчика или получали несильный удар электрическим током. Конкретная собака получала один и тот же стимул перед несколькими приемами пищи. По истечении некоторого периода Павлов обнаружил, что этот стимул начал вызывать у собак слюноотделение сам по себе, без последующего кормления. Собаки «выучили» и «запомнили» связь между стимулом и предстоящим кормлением. У них выработался условный рефлекс.
У собак, как и у всех млекопитающих, очень сложная нервная система, но подобный условный рефлекс встречается и у более простых позвоночных. Например, тропическая рыба Chromobotia macrocanthus быстро научается ассоциировать бренчание банки с кормом с кормлением и при этом звуке впадает в характерное возбужденное состояние. Такое научение было показано даже у плодовых мушек, хотя их нервная система устроена значительно проще, чем у собак. Если обычных плодовых мушек поместить в трубку, проходящую между двумя камерами, в каждой из которых свой характерный запах, мушки перемещаются из камеры в камеру хаотично, без особых предпочтений. Если сначала «познакомить» их с одним из запахов, никакой разницы в последующем поведении не будет. Если же сначала «познакомить» их с одним из запахов, подвергая их при этом серии электрических разрядов, а затем поместить в трубку, мушки будут избегать «знакомого» запаха и переместятся в другую камеру. Очевидно, они «научились» ассоциировать запах с электрическими разрядами.[263],[264]
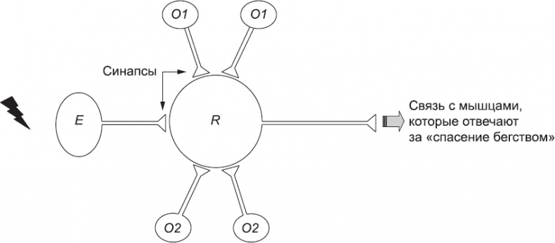
Хебб предположил, что принимающие клетки могут биохимически менять эффективность ответа на сигналы от конкретных синапсов в соответствии с правилом: эффективность ответа на сигналы от синапса увеличивается, если синапс передает импульс в то же время, когда принимающая клетка тоже передает импульс. Чтобы проиллюстрировать это, рассмотрим простую модель части нервной системы плодовых мушек, которые подвергались эксперименту с запахами и электрическим разрядом. В этой модели (рис. 72) задействовано четыре типа нейронов (подобное упрощение далеко от реальности, но поможет объяснить основной принцип). Нейроны типа O1 активируются в присутствии запаха 1, а нейроны типа O2 активируются в присутствии запаха 2. Нейроны типа E активируются под воздействием электрического тока, а нейрон R, к которому подключены все остальные нейроны, при активации вызовет у мушки реакцию «спасения бегством». До обучения связи нейронов обоих типов (O1 и O2) с нейроном R слишком слабые, чтобы активировать его, так что ни один запах не подталкивает мушку к бегству. Однако связь нейрона R с нейронами типа E достаточно сильная, чтобы активировать нейрон R при стимуляции электрическим током. Если при использовании электрического тока и активировании нейрона R с помощью сигналов нейронов типа Е присутствует запах 1, будут активны нейроны типа O1. Таким образом, условие Хебба будет выполнено, и реакция нейрона R на синапсы O1 усилится.

Рис. 72. Упрощенная модель выработки условного рефлекса у плодовых мушек. Сначала нейрон R получает слабые сигналы как от нейронов O1, реагирующих на запах 1, так и от нейронов O2, реагирующих на запах 2, а также сигналы от нейронов типа E, которые интенсивно стимулируются электрическим током. На самом деле в процессе участвует гораздо большее количество нейронов каждого типа, но на рисунке для ясности показаны лишь некоторые из них
Если это будет происходить достаточно часто, то реакция будет настолько сильной, что одного только импульса нейронов О1 будет достаточно, и плодовая мушка станет избегать запаха 1, не дожидаясь удара током. Реакция на нейроны O2 при этом не будет усиливаться, и запах 2 не будет вызывать у мушек желания «спастись бегством».
За десятилетия после публикации гипотезы Хебба были открыты некоторые биохимические механизмы, лежащие в основе описанного процесса. Во многих исследованных нервных системах, включая нервную систему плодовой мушки, в синапсах действует определенный нейромедиатор – глутамат. У принимающих клеток есть два типа рецепторов для этого нейромедиатора. Рецепторы типа AMPAR работают просто: каждая молекула AMPAR, связавшись с глутаматом, активирует комплекс белков внутри принимающей клетки и вносит свой скромный вклад в попытки вызвать передачу импульса. Если достаточное количество молекул AMPAR свяжется с глутаматом и если чувствительность комплекса белков внутри клетки достаточно высока, то импульс возникнет. Рецепторы другого типа – NMDAR – работают далеко не так просто: они ведут себя по-разному в зависимости от того, есть в данный момент импульс в клетке или нет. Если нейрон находится в состоянии покоя, молекулы NMDAR ничего не могут сделать, даже если вокруг много глутамата. Однако в возбужденном нейроне (то есть в таком нейроне, который получает достаточно сигналов от всех своих синапсов для возникновения импульса) молекулы NMDAR способны реагировать на глутамат и направлять свои сигналы в клетку. Эти сигналы не активируют клетку напрямую, а локально изменяют систему AMPAR этого синапса, увеличивая силу сигнала, который может создать определенное количество глутамата. Именно рецепторы NMDAR лежат в основе гипотезы Хебба: они активны, если уже активны и принимающая клетка, и конкретный синапс (за счет наличия глутамата), и могут изменить силу синаптической связи, повысив чувствительность системы AMPAR (рис. 73).
Прочитали книгу? Предлагаем вам поделится своим впечатлением! Ваш отзыв будет полезен читателям, которые еще только собираются познакомиться с произведением.
Уважаемые читатели, слушатели и просто посетители нашей библиотеки! Просим Вас придерживаться определенных правил при комментировании литературных произведений.
Просьба отказаться от дискриминационных высказываний. Мы защищаем право наших читателей свободно выражать свою точку зрения. Вместе с тем мы не терпим агрессии. На сайте запрещено оставлять комментарий, который содержит унизительные высказывания или призывы к насилию по отношению к отдельным лицам или группам людей на основании их расы, этнического происхождения, вероисповедания, недееспособности, пола, возраста, статуса ветерана, касты или сексуальной ориентации. Просьба отказаться от оскорблений, угроз и запугиваний. Просьба отказаться от нецензурной лексики. Просьба вести себя максимально корректно как по отношению к авторам, так и по отношению к другим читателям и их комментариям.
Надеемся на Ваше понимание и благоразумие. С уважением, администратор My-Books.me.
Оставить комментарий
-
Александра15 январь 09:37
Очень интересная книга! Особенно, если любишь психологию и хочешь понимать себя и других. Обязательно послушаю до конца. Спасибо....
Кригер Борис – Гнев
-
Галина25 май 13:02
Очень уважаю Артема Шейнина, книга замечательная, очень мне близкая по духу.Перечитываю уже второй раз, столько пережитого и не...
Мне повезло вернуться - Артем Шейнин
-
Екатерина11 январь 08:05
Доброе утро. Подскажите пожалуйста как сохранять книги, ставить закладки?...
Подонок - Анастасия Леманн