Малый отель. С чего начать, как преуспеть. Советы владельцам и управляющим - Алексей Мусакин
Книгу Малый отель. С чего начать, как преуспеть. Советы владельцам и управляющим - Алексей Мусакин читаем онлайн бесплатно и без регистрации! Читать онлайн вы можете не только на компьютере, но и на андроид (Android), iPhone и iPad. Наслаждайтесь!
240 0 04:48, 27-05-2019Книга Малый отель. С чего начать, как преуспеть. Советы владельцам и управляющим - Алексей Мусакин читать онлайн бесплатно без регистрации

Помимо указанных разделов главный бюджет включает бюджет движения денежных средств, или Cash-Flow, который содержит информацию обо всех денежных потоках отеля на планируемый период, прошедших через кассу и расчетный счет.
Рассмотрим, чем отличается Cash-Flow от доходности отеля.
Проще говоря, постояльцы, живущие в отеле, могут оплачивать свое проживание вперед или по факту. Если отель работает с корпоративным клиентом, то оплата вообще может производиться в конце отчетного месяца за проживание всех представителей этого корпоративного клиента. Таким образом, расчетный доход отеля на конец месяца может быть достаточно велик, но из-за задержки платежей реальных денег на счетах и в кассе может вовсе не оказаться. Может быть и обратный вариант, часто происходящий перед началом высокого сезона. Многие клиенты заранее оплачивают свое проживание (бывает, что и за полгода, и даже за год), и отель получает крупные суммы денег на счет до начала высокого сезона. Затем, уже в сезон, он не получает никаких денежных поступлений, но производит затраты, необходимые для обслуживания постояльцев.
Информация о Cash-Flow позволяет оценить платежеспособность отеля, а также потребность в заемных средствах.
Часть затрат не зависит от реальной деятельности и заполняемости отеля и потому является постоянной, а часть зависит от заполняемости отеля и меняется при изменении последней. Они, соответственно, называются переменными затратами.
Переменные затраты в сумме изменяются пропорционально количеству проданных номеров, но, рассчитанные на один номер, являются постоянными. В переменные затраты включают:
• закупку моющих и гигиенических средств;
• расходы на завтраки, включенные в стоимость номера, и т. п.
Иначе говоря, с ростом загрузки отеля переменные затраты возрастают, а со снижением загрузки – падают.
Пример. Влияние загрузки на изменение переменных затрат
Отель включает в стоимость номера завтрак. Все номера двухместные. Себестоимость завтрака на одного гостя составляет 100 руб. В июне загрузка отеля составила 250 номеро-суток.
Затраты на завтраки составили:
250 × 2 × 100 = 50 000 руб.
В июле загрузка снизилась до 200 номеро-суток. Затраты на завтраки составили:
200 × 2 × 100 = 40 000 руб.
Снижение переменных затрат составило 10 000 руб.
Постоянные затраты не зависят от загрузки отеля, но в расчете на один номер, при увеличении загрузки, снижаются и, соответственно, при снижении загрузки – увеличиваются.
К постоянным затратам можно, например, отнести расходы на обслуживание технических систем отеля (вентиляция, система кондиционирования), затраты на рекламу, административные расходы и т. п.
Пример. Влияние загрузки на рост постоянных затрат при расчете на один номер
Стоимость ежемесячного обслуживания центральной системы кондиционирования отеля составляет 25 000 руб.
В июне загрузка отеля составила 250 номеро-суток.
Затраты на обслуживание кондиционера в одном номере составили:
25 000 / 250 = 100 руб.
В июле загрузка снизилась до 200 номеро-суток.
Затраты на обслуживание кондиционера в одном номере составили:
25 000 / 200 = 125 руб.
К сожалению, отель – это сложный объект, в котором доля постоянных расходов очень высока. Они не могут быть ниже определенного уровня, причем, чем выше категория отеля, тем выше величина постоянных затрат.
Анализ переменных затрат влияет на принятие управленческих решений, например:
• следует ли создавать свою прачечную или заключать договор со сторонней организацией;
• какую скидку давать партнерам, обеспечивающим групповую загрузку отеля;
• расширять или нет перечень дополнительных услуг и т. п.
К основным показателям эффективности финансово-хозяйственной деятельности гостиницы относятся следующие.
1. Количество номеров (номеро-суток) в эксплуатации (РАВНО общему количеству номеров в отеле, МИНУС количество номеров, используемых для служебных целей, МИНУС количество номеров на ремонте, переоборудовании и т. п.).
2. Коэффициент заполняемости номеров (РАВЕН количеству проданных номеров, ДЕЛЕННОМУ НА количество номеров в наличии).
3. Средняя цена проданных номеров (РАВНА валовому доходу, ДЕЛЕННОМУ НА число проданных номеров).
4. Средняя цена существующих номеров (РАВНА валовому доходу, ДЕЛЕННОМУ НА общее количество номеров).
При анализе деятельности отеля рассматривается взаимодействие трех основных факторов: цена за номер, количество проданных номеров и затраты на содержание номерного фонда и гостиницы в целом.
Каждый финансовый показатель помогает принимать то или иное управленческое решение (табл. 13).
Таблица 13. Пользователи финансовой отчетности и принимаемые деловые решения


Перед принятием решения о создании отеля в рамках бизнес-планирования проводится расчет, насколько выгодны вложения в этот бизнес.
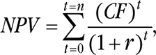
Одним из важнейших показателей эффективности инвестиций в проект является «Чистый дисконтированный доход» (Общий финансовый итог от реализации проекта), в литературе обычно обозначаемый английской аббревиатурой NPV (Net Present Value).
Данный показатель – это разница (сальдо) между инвестиционными затратами и будущими поступлениями, приведенными в эквивалентные условия:

где (CF)t – финансовый итог в году t с учетом первоначальных инвестиций; r – ставка дисконтирования; t – порядковый номер года в будущем, считая от начала создания отеля.
Для нефинансиста это определение, и, особенно, формула, выглядят ужасной абракадаброй. На самом деле расчет этого показателя – муторное, но достаточно простое занятие.
Прочитали книгу? Предлагаем вам поделится своим впечатлением! Ваш отзыв будет полезен читателям, которые еще только собираются познакомиться с произведением.
Уважаемые читатели, слушатели и просто посетители нашей библиотеки! Просим Вас придерживаться определенных правил при комментировании литературных произведений.
Просьба отказаться от дискриминационных высказываний. Мы защищаем право наших читателей свободно выражать свою точку зрения. Вместе с тем мы не терпим агрессии. На сайте запрещено оставлять комментарий, который содержит унизительные высказывания или призывы к насилию по отношению к отдельным лицам или группам людей на основании их расы, этнического происхождения, вероисповедания, недееспособности, пола, возраста, статуса ветерана, касты или сексуальной ориентации. Просьба отказаться от оскорблений, угроз и запугиваний. Просьба отказаться от нецензурной лексики. Просьба вести себя максимально корректно как по отношению к авторам, так и по отношению к другим читателям и их комментариям.
Надеемся на Ваше понимание и благоразумие. С уважением, администратор My-Books.me.
Оставить комментарий
-
Александра15 январь 09:37
Очень интересная книга! Особенно, если любишь психологию и хочешь понимать себя и других. Обязательно послушаю до конца. Спасибо....
Кригер Борис – Гнев
-
Галина25 май 13:02
Очень уважаю Артема Шейнина, книга замечательная, очень мне близкая по духу.Перечитываю уже второй раз, столько пережитого и не...
Мне повезло вернуться - Артем Шейнин
-
Екатерина11 январь 08:05
Доброе утро. Подскажите пожалуйста как сохранять книги, ставить закладки?...
Подонок - Анастасия Леманн