Организационное поведение: учебное пособие - Владимир Спивак
Книгу Организационное поведение: учебное пособие - Владимир Спивак читаем онлайн бесплатно и без регистрации! Читать онлайн вы можете не только на компьютере, но и на андроид (Android), iPhone и iPad. Наслаждайтесь!
179 0 14:18, 21-05-2019Книга Организационное поведение: учебное пособие - Владимир Спивак читать онлайн бесплатно без регистрации

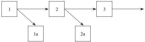
Рис. 7.1. Развитие организации – это развитие людей (по Зигерту и Ланг)
Фаза 1 – пионерная. Ее преимущества: ясные целеустановки и высокая мотивация всех, хорошая коммуникация. Каждый оказывается там, где он больше всего нужен. Быстрые решения. Недостатки: отсутствие опыта в некоторых областях, недооценка некоторых, на первый взгляд, малозначащих факторов.
Фаза 1а – бурный рост. Несет негативные элементы: события выходят из-под контроля, размывается ответственность, ощущается недостаток информации, возникают стрессы. Отсутствует взаимопонимание, возможен холостой ход, нарушаются согласованные сроки, появляются трудности с ликвидностью, идет борьба за власть.
Фаза 2 – организация и консолидация. Имеет преимущества: рост в координируемом и контролируемом направлении, четко регулируются вопросы компетенции и ответственности, обеспечивается надежность коммуникационных связей. Организация строится на деловой основе без привязки к конкретным людям. В работе больше порядка и систематизации. Недостатки: процессы замедляются, дисциплина накладывает ограничения, больше промежуточных, а не конечных целей, люди «первого призыва» чувствуют разочарование.
Фаза 2а – бюрократизация. Ведет к стагнации: формуляры становятся важнее дела. Множатся предписания и основные направления. Собственно цели уходят на второй план. Идут бумажные войны. Затраты увеличиваются. Приказы заменяют мотивацию.
Фаза 3 – интеграция и рост. Имеет преимущества: всем становится ясно, что они сидят в «одной лодке», каждый учится ценить работу другого, дух единой команды придает новые силы, рост становится не стихийным, а осознанным. Недостатки: «большой не значит красивый». По-видимому, имеется в виду, что сам по себе рост не должен являться целью, следует думать о качестве, о развитии культуры организации, связанной с культурой общества.
Не существует единой точки зрения на то, какой именно должна быть обучающаяся организация. Обучающаяся организация – это установка или философия, какой может стать организация.
Правомерно считать подходами, предшествовавшими концепции обучающейся организации и включенными в ее «тело», партисипативный, клиентоориентированный и инновационный подход.
Партисипативное управление персоналом. При реализации данного подхода работники участвуют в принятии решений, относящихся к их сфере деятельности, получают достаточный объем информации о текущем состоянии и перспективах развития организации, что способствует росту лояльности работников организации и их отдачи.
Клиентоориентированный подход. В последнее время в обществе потребления (это одна из характеристик социумов, развившихся в странах «золотого миллиарда») популярным является так называемый «клиентоориентированный подход», при котором все взаимодействующие в сфере бизнеса субъекты должны восприниматься друг другом как клиенты, оказывающие друг другу услуги. Это восприятие определяет особенно человеческие, можно сказать, предупредительные отношения между сторонами общения, поскольку в классическом бизнесе клиент воспринимается как ключевой фактор выживания и процветания организации и его потребности и пожелания – закон для бизнеса.
Клиентоориентированный подход в отношениях между работником и менеджером воспринимается следующим образом: менеджер оказывает работнику управленческие услуги, работник предоставляет организации в лице менеджера результаты своего труда. Есть, конечно, специфика в отношениях менеджера и работника, но и во взаимоотношениях покупателей с продавцами такие особенности также могут иметь место: это – взаимный характер обязательств и услуг, стремление к длительности и постоянству контактов, зачастую отсутствие свободы выбора, неразрывность в отношениях проявлений рационального и эмоционального.
Какую услугу, оказываемую организацией работнику, можно было бы назвать приоритетной? На этот счет существуют многочисленные теории, включая мотивационные. Но в условиях более или менее свободного выбора места приложения сил, возможности работать сразу на нескольких рабочих местах в нескольких организациях, многие работники, решая проблему удовлетворения своих первичных потребностей, одновременно начинают испытывать тягу к развитию своего потенциала (к чему их толкают также высокие темпы научно-технического прогресса и потребность в обеспечении собственной конкурентоспособности на рынке труда). Очевидно, что закон развития – всеобщий закон живых существ. Поэтому основной заботой социально ориентированного менеджмента все более становится создание условий для развития персонала. Это тем более важно, что развитие персонала обеспечивает и развитие организации, без которого ей в современном динамичном мире просто не выжить.
Инновационный подход. Сейчас получил признание и широко используется так называемый «инновационный подход» и инновационный менеджмент персонала. В его основе лежит стремление обеспечить условия для инновационного поведения работников, для развития творческого потенциала работников и рабочих команд, для поддержания стремления к обновлению и совершенствованию рабочей среды, продукции, услуг, для обеспечения продуктивного сотрудничества рабочих и управленческих команд. При всех несомненных достоинствах этого подхода к персоналу по сравнению с бюрократически-эксплуататорским, его ориентация только на инновации чревата утратой системности в восприятии человека в организации, отходом от стремления к всестороннему развитию трудового потенциала персонала и сосредоточению на одном из его аспектов – по преимуществу на развитии креативности. Необходимо также помнить, что инновационному поведению способствует не только собственно развитие креативности персонала, но и культура организации, и качество трудовой жизни, и обучение персонала, в особенности менеджмента, и практическая деятельность менеджмента, и разнообразие персонала, и многое другое, что рассматривается нами в качестве факторов создания атмосферы всестороннего развития персонала.
Обучающаяся организация – это организация, умеющая создавать, приобретать и распространять знание и изменяющая свое поведение в соответствии с новой информацией, оригинальными мнениями и современными моделями мышления[129]. Обучающаяся организация включает каждого человека, работающего в ней, в процесс непрерывного обучения, определения и решения проблем, что позволяет организации постоянно экспериментировать, изменяться и совершенствоваться, повышая таким образом свою способность к росту, обучению и достижению своих целей. Важнейшим аспектом здесь является решение проблем, что отличает обучающуюся организацию от традиционной, где акцент делается на экономичности. Персонал обучается не только в рамках своей профессии, но овладевает смежными специальностями и повышает уровень общего образования, расширяет свой кругозор. В обучающейся организации преобладает инновационная организационная культура, все сотрудники постоянно и непрерывно обучаются, развивают свой трудовой потенциал, повышая уровень не только специального, но и общего образования, участвуют в рассмотрении проблем, например в определении конкретных потребностей клиентов. Активное участие персонала позволяет найти нетривиальные способы решения. В обучающихся организациях имеет место менеджмент знаний, т. е. не просто переработка информации, а управление процессом создания новых знаний, задействование коллективного мозга организации.
Прочитали книгу? Предлагаем вам поделится своим впечатлением! Ваш отзыв будет полезен читателям, которые еще только собираются познакомиться с произведением.
Уважаемые читатели, слушатели и просто посетители нашей библиотеки! Просим Вас придерживаться определенных правил при комментировании литературных произведений.
Просьба отказаться от дискриминационных высказываний. Мы защищаем право наших читателей свободно выражать свою точку зрения. Вместе с тем мы не терпим агрессии. На сайте запрещено оставлять комментарий, который содержит унизительные высказывания или призывы к насилию по отношению к отдельным лицам или группам людей на основании их расы, этнического происхождения, вероисповедания, недееспособности, пола, возраста, статуса ветерана, касты или сексуальной ориентации. Просьба отказаться от оскорблений, угроз и запугиваний. Просьба отказаться от нецензурной лексики. Просьба вести себя максимально корректно как по отношению к авторам, так и по отношению к другим читателям и их комментариям.
Надеемся на Ваше понимание и благоразумие. С уважением, администратор My-Books.me.
Оставить комментарий
-
Александра15 январь 09:37
Очень интересная книга! Особенно, если любишь психологию и хочешь понимать себя и других. Обязательно послушаю до конца. Спасибо....
Кригер Борис – Гнев
-
Галина25 май 13:02
Очень уважаю Артема Шейнина, книга замечательная, очень мне близкая по духу.Перечитываю уже второй раз, столько пережитого и не...
Мне повезло вернуться - Артем Шейнин
-
Екатерина11 январь 08:05
Доброе утро. Подскажите пожалуйста как сохранять книги, ставить закладки?...
Подонок - Анастасия Леманн