Жизнь в невозможном мире - Алексей Цвелик
Книгу Жизнь в невозможном мире - Алексей Цвелик читаем онлайн бесплатно и без регистрации! Читать онлайн вы можете не только на компьютере, но и на андроид (Android), iPhone и iPad. Наслаждайтесь!
161 0 15:43, 25-05-2019Книга Жизнь в невозможном мире - Алексей Цвелик читать онлайн бесплатно без регистрации

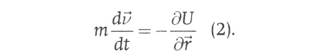
Итак, принцип наименьшего действия в классической нерелятивистской механике эквивалентен закону Ньютона и на первый взгляд кажется лишним. Оказалось однако, что принцип этот намного более фундаментален, чем закон Ньютона, так как, в отличие от последнего, позволяет обобщение и на релятивистскую механику (то есть на движения со скоростями, близкими к скорости света), и на механику квантовую.
NB: В оставшейся части текста я не обсуждаю гравитацию.
Пространство-время
Следуя Эйнштейну, обобщим принцип наименьшего действия на движение частиц со скоростью, близкой к скорости света. Для этого нам нужно усвоить один фундаментальный факт, касающийся свойств пространства и времени. Факт этот состоит в том, что пространство и время образуют некое фундаментальное единство (его так и называют «пространственно-временный континуум»). Следствием является то, что время течет (точнее, часы идут) неодинаково в разных системах отсчета, например, время на Земле и в движущемся относительно нее космическом корабле течет по-разному (т. е. идут по-разному часы).
Эйнштейн показал, что инвариантом относительно замены системы координат в пространстве-времени является величина, называемая интервалом. Квадрат интервала между двумя бесконечно близкими событиями, происшедшими в точках (t, х, у, z) и (t + dt, х + dx, y + dy,z + dz) определен как
ds2 = c2dt2 — dx2 — dy2 — dz2,
где с — скорость света в вакууме (имеется в виду плоское пространство, так как гравитация здесь не обсуждается). Обратите внимание, что, так как время и пространство имеют разные размерности (первое измеряется в секундах, а второе — в метрах), складывать их друг с другом можно, только приведя их к какому-то единству, что и достигается умножением времени на скорость света. Присутствие такой скорости в этой инвариантной формуле означает, что скорость света есть мировая постоянная, не зависящая от системы отсчета.
Все математические операции преобразования четырехмерного пространства времени образуют группу, носящую имя Лоренца.
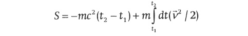
Теперь посмотрите, как красиво Эйнштейн выводит из принципа универсальности и инвариантности интервала действие для свободной частицы (то есть частицы в отсутствие внешних сил). Он рассуждал так: действие — просто число, то есть скаляр. Далее, это число зависит от траектории частицы во времени и пространстве. Раз законы природы не зависят от выбора системы отсчета, действие должно быть инвариантно относительно выбора координат. Что обладает такими свойствами? Интервал между двумя точками. Поэтому естественно предположить: что действие для движения частицы из одной точки пространства-времени в другую пропорционально интервалу между этими точками. Но действие имеет размерность энергии, умноженной на время, значит, естественно домножить интервал на массу частицы и скорость света. Вот итог:

(Для читателя, интересующегося тем, как эта более общая формула соотносится с формулой нерелятивистской механики, объясняю. На скоростях, много меньших скорости света, мы имеем:

Подставляя это выражение в формулу (3), получим:

Первый член при вариациях траектории не меняется, второй — такой же, как в нерелятивистской формуле (1).)
Все наблюдаемые нами физические величины, как то: массы и электрические заряды частиц, их скорости, напряженности электрических и магнитных полей и т. д. — могут быть классифицированы согласно тому, как они меняются (преобразуются) при переходе от одной системы координат к другой. В математике говорят, что физические величины классифицируются по представлениям группы Лоренца. Те, что не меняются, принадлежат к скалярному представлению; те, что меняются, как координаты, принадлежат к векторному представлению; те, что меняются, как произведения n координат, к тензорному представлению n-ного ранга.
Когда германский математик Генрих Минковский предложил такую классификацию, физики быстро разобрались с тем, какие из известных физических величин к какому классу относить. Например, такие величины, как масса и заряд, не меняются вообще, они — скаляры. А такие величины, как скалярный и векторный потенциалы электромагнитного поля, меняются по тем же правилам, что и сами координаты, и являются поэтому 4-векторами. А напряженности электрического и магнитного полей являются тензорами второго ранга. После того как все известное было расклассифицировано, оказалось, что среди представлений группы Лоренца есть так называемые спинорные представления, которым никаких известных физических величин не соответствует. Тогда английский физик Поль Дирак предположил, что по этим представлениям преобразуются волновые функции электронов (о волновых функциях см. ниже). Однако, для того чтобы эта гипотеза была справедлива, было необходимо, чтобы у электрона существовал двойник, во всем ему подобный, кроме знака электрического заряда. Эта гипотетическая частица была названа позитроном, а вскоре выяснилось, что гипотеза Дирака подразумевает существование таких двойников и у многих других частиц (протона, нейтрона и т. д.). Эти гипотетические двойники были названы античастицами; вскоре все они были открыты.
Думаю, что открытие целого нового мира — мира античастиц — есть один из величайших триумфов того стиля мышления в физике, который я пытался довести до читателя в этой книге. Я подчеркиваю, что предсказание, сделанное Дираком, не опиралось ни на какой эксперимент; Дирак, исходил исключительно из требований полноты математической теории. Поэтому открытие античастиц как нельзя лучше иллюстрирует связь между умным миром математики и миром природы. Скажу в заключение, что античастицы нашли практическое применение, например, в медицине (позитронное сканирование).
Калибровочная инвариантность
Этот исключительно важный физический принцип определяет, каким образом электрическое и магнитное поля взаимодействуют с полями материи (или, иначе говоря, с такими частицами, как электрон, протон и т. д.).
Принцип этот распространяется и на внутриядерные поля, но мы их здесь не обсуждаем. Поля материи преобразуются по спинорным представлениям, а вектор-потенциал электромагнитного поля — по векторному представлению группы Лоренца. Единственный способ составить из них скаляр — это «удлинить» пространственную производную, действующую на эти поля. Так, включение электромагнитного поля, действующего на частицу с электрическим зарядом q, эквивалентно замене всех пространственно-временных градиентов в выражении для действия этой частицы по следующему рецепту:
Прочитали книгу? Предлагаем вам поделится своим впечатлением! Ваш отзыв будет полезен читателям, которые еще только собираются познакомиться с произведением.
Уважаемые читатели, слушатели и просто посетители нашей библиотеки! Просим Вас придерживаться определенных правил при комментировании литературных произведений.
Просьба отказаться от дискриминационных высказываний. Мы защищаем право наших читателей свободно выражать свою точку зрения. Вместе с тем мы не терпим агрессии. На сайте запрещено оставлять комментарий, который содержит унизительные высказывания или призывы к насилию по отношению к отдельным лицам или группам людей на основании их расы, этнического происхождения, вероисповедания, недееспособности, пола, возраста, статуса ветерана, касты или сексуальной ориентации. Просьба отказаться от оскорблений, угроз и запугиваний. Просьба отказаться от нецензурной лексики. Просьба вести себя максимально корректно как по отношению к авторам, так и по отношению к другим читателям и их комментариям.
Надеемся на Ваше понимание и благоразумие. С уважением, администратор My-Books.me.
Оставить комментарий
-
Александра15 январь 09:37
Очень интересная книга! Особенно, если любишь психологию и хочешь понимать себя и других. Обязательно послушаю до конца. Спасибо....
Кригер Борис – Гнев
-
Галина25 май 13:02
Очень уважаю Артема Шейнина, книга замечательная, очень мне близкая по духу.Перечитываю уже второй раз, столько пережитого и не...
Мне повезло вернуться - Артем Шейнин
-
Екатерина11 январь 08:05
Доброе утро. Подскажите пожалуйста как сохранять книги, ставить закладки?...
Подонок - Анастасия Леманн