Красота в квадрате. Как цифры отражают жизнь и жизнь отражает цифры - Алекс Беллос
Книгу Красота в квадрате. Как цифры отражают жизнь и жизнь отражает цифры - Алекс Беллос читаем онлайн бесплатно и без регистрации! Читать онлайн вы можете не только на компьютере, но и на андроид (Android), iPhone и iPad. Наслаждайтесь!
414 0 23:27, 24-05-2019Книга Красота в квадрате. Как цифры отражают жизнь и жизнь отражает цифры - Алекс Беллос читать онлайн бесплатно без регистрации
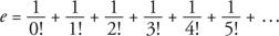
В виде равенства это можно записать так:

Что эквивалентно следующему:

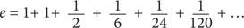
Начнем подсчитывать сумму член за членом:
1
2
2,5
2,6666…
2,7083…
2,7166…
Этот ряд приближается к истинному значению числа e со сверхзвуковой скоростью. Всего после десяти членов ряда значения совпадают с точностью до шести десятичных знаков, что весьма неплохо практически для всех научных целей.
Почему число e так красиво выражается в виде факториалов? Как мы видели в случае со сложным процентом, оно представляет собой предел (1 +
)n, когда n приближается к бесконечности. Я избавлю вас от деталей доказательства, но выражение (1 +
)n можно записать в виде огромной суммы дробей с единицей в числителе и факториалом в знаменателе.
Эйлер был большим поклонником занимательной математики и с интересом изучал математические игры и головоломки. Например, когда один любитель шахмат спросил, может ли конь пересечь доску так, чтобы попасть на каждую клетку только один раз, прежде чем вернуться в исходную позицию, Эйлер отыскал способ, как это сделать, что избавило от решения подобных вопросов до настоящего времени. Внимание Эйлера привлекала также французская карточная игра jeu de rencontre — игра в совпадения (разновидность одной из моих любимых детских игр под названием Snap!).
Суть игры в совпадения состоит в том, что два игрока (А и Б) тасуют каждый свою колоду карт, а затем одновременно переворачивают первую карту в своих колодах и продолжают делать это до тех пор, пока не закончатся карты. Если в ходе переворачиваний появляются одинаковые карты, выигрывает игрок А. (И я кричу: «Snap!») Если совпадений до самого конца нет, побеждает игрок Б. Эйлера интересовала вероятность того, что победителем окажется игрок А, другими словами, что за 52 раза встретится хотя бы одно совпадение.
За долгие годы этот вопрос возникал неоднократно, хотя и в разных ситуациях. Например, представьте себе, что гардеробщик не выдает номерки на те вещи, которые люди сдают в гардероб в течение вечера. Какова вероятность того, что хотя бы один человек получит свое пальто назад? Или возьмем такой пример. Кинотеатр продает билеты с указанием мест, но затем публике разрешают занимать любое свободное место. Если зал кинотеатра заполнен, какова вероятность того, что хотя бы одно место займет человек, на билете которого указан номер этого места?
Эйлер начал с самого начала[114]. Если в игре в совпадения колода карт каждого из игроков состоит из одной карты, то вероятность совпадения будет 100 процентов. Если в колоде два карты, вероятность равна 50 процентам. Эйлер составил таблицы перестановок для игр с колодами из трех и четырех карт и только после этого вывел закономерность. Вероятность совпадения карт при n картах в колоде рассчитывается по такой формуле:

Но посмотрите внимательно: эта закономерность напоминает представленный выше ряд для числа e.
Я опущу детали доказательства, но этот ряд действительно приближается к (1 —
), или около 0,63. Сумма ряда в точности равна (1 —
) только в случае, если n стремится к бесконечности, но приближение очень хорошее уже после нескольких членов ряда. Когда n = 52, то есть количеству карт в колоде, сумма этого ряда равна (1 —
) с точностью до 70 десятичных знаков.
Следовательно, в этой игре вероятность совпадения составляет около 63 процентов. Другими словами, вероятность того, что совпадение будет, почти в два раза больше того, что его не будет. Точно так же вероятность того, что хотя бы один гость получит назад свое пальто, а посетитель кинотеатра сядет на правильное место, тоже составляет 63 процента. Интересно, что количество карт в колоде, гостей, сдающих пальто в гардероб, или мест в зале кинотеатра практически не влияет на вероятность хотя бы одного совпадения при условии, что карт, гостей или мест больше шести или семи. Каждый раз, когда вы увеличиваете число карт, гостей или мест, вы прибавляете еще один член в представленный выше ряд, определяющий возможность совпадения. Например, восьмая карта дает восьмой член ряда — 1/8! или 0,0000248, что меняет вероятность менее чем на четверть сотой одного процента. Девятая карта еще меньше влият на значение вероятности. То есть получается, что вероятность совпадения почти не меняется, играете ли вы полной колодой карт или картами одной масти. Точно так же не имеет значения, сколько гостей сдадут свои пальто в гардероб, десяток или сотня, или о зале какого кинотеатра идет речь — о местном мультиплексе или о кинотеатре Empire на Лестер-сквер.
Сделанное Эйлером открытие относительно присутствия числа e в математике карточных игр — один из первых примеров появления этой константы в области, не имеющей очевидной связи с экспоненциальным ростом. Впоследствии эта константа появится и в не менее конкурентной сфере — в математике выбора жены.
Давайте вернемся ненадолго к Иоганну Кеплеру. После того как в 1611 году выдающийся астроном овдовел, он провел собеседование с одиннадцатью женщинами-кандидатами на место следующей фрау К.[115]. Как писал сам Кеплер, процесс реализации этой задачи начался не совсем удачно: у первой кандидатки «плохо пахло изо рта», вторая «была воспитана в чрезмерной роскоши», а третья помолвлена с человеком, зачавшим ребенка с проституткой. Кеплер взял бы в жены четвертую, «высокую женщину атлетического телосложения», если бы не увидел пятую, которая казалась «скромной, бережливой и способной полюбить приемных детей». Но Кеплер вел себя настолько нерешительно, что обе женщины потеряли к нему интерес — и он встретился с шестой женщиной, но от брака с ней тоже отказался, потому что его «пугали расходы на роскошную свадьбу», и с седьмой, которая, несмотря на «внешность, заслуживающую того, чтобы ее любили», отвергла Кеплера, поскольку он снова медлил с решением. Восьмой женщине «нечего было предложить, [хотя] ее мать была весьма достойной женщиной»; у девятой были больные легкие; десятая оказалась «слишком уродливой даже для мужчины с простыми вкусами… низенькая и толстая, и воспитывалась в семье, известной чрезмерной тучностью»; последняя кандидатка была еще недостаточно взрослой. В конце концов Кеплер задал себе вопрос: «Что это — промысел Божий или моя собственная моральная вина два с лишним года разрывает меня в разных направлениях и вынуждает рассматривать возможность столь разных союзов?» Такой мучительный самоанализ характерен для построения близких личных отношений и в наше время. Великому немецкому астроному требовалась стратегия.
Прочитали книгу? Предлагаем вам поделится своим впечатлением! Ваш отзыв будет полезен читателям, которые еще только собираются познакомиться с произведением.
Уважаемые читатели, слушатели и просто посетители нашей библиотеки! Просим Вас придерживаться определенных правил при комментировании литературных произведений.
Просьба отказаться от дискриминационных высказываний. Мы защищаем право наших читателей свободно выражать свою точку зрения. Вместе с тем мы не терпим агрессии. На сайте запрещено оставлять комментарий, который содержит унизительные высказывания или призывы к насилию по отношению к отдельным лицам или группам людей на основании их расы, этнического происхождения, вероисповедания, недееспособности, пола, возраста, статуса ветерана, касты или сексуальной ориентации. Просьба отказаться от оскорблений, угроз и запугиваний. Просьба отказаться от нецензурной лексики. Просьба вести себя максимально корректно как по отношению к авторам, так и по отношению к другим читателям и их комментариям.
Надеемся на Ваше понимание и благоразумие. С уважением, администратор My-Books.me.
Оставить комментарий
-
Александра15 январь 09:37
Очень интересная книга! Особенно, если любишь психологию и хочешь понимать себя и других. Обязательно послушаю до конца. Спасибо....
Кригер Борис – Гнев
-
Галина25 май 13:02
Очень уважаю Артема Шейнина, книга замечательная, очень мне близкая по духу.Перечитываю уже второй раз, столько пережитого и не...
Мне повезло вернуться - Артем Шейнин
-
Екатерина11 январь 08:05
Доброе утро. Подскажите пожалуйста как сохранять книги, ставить закладки?...
Подонок - Анастасия Леманн