Алекс в стране чисел. Необычайное путешествие в волшебный мир математики - Алекс Беллос
Книгу Алекс в стране чисел. Необычайное путешествие в волшебный мир математики - Алекс Беллос читаем онлайн бесплатно и без регистрации! Читать онлайн вы можете не только на компьютере, но и на андроид (Android), iPhone и iPad. Наслаждайтесь!
231 0 12:51, 25-05-2019Книга Алекс в стране чисел. Необычайное путешествие в волшебный мир математики - Алекс Беллос читать онлайн бесплатно без регистрации
* * *
Хотя использование чисел просто для развлечения всегда сопутствовало математическим изысканиям, начало развития собственно математики было обусловлено необходимостью решения задач практического характера. Папирус Ринда, относящийся примерно к 1600 году до н. э. (хранится в Британском музее, а назван в честь владельца — английского египтолога А. Г. Ринда), представляет собой наиболее полный из дошедших до нас математических документов Древнего Египта. В нем содержатся 84 задачи из таких областей, как землемерие, бухгалтерский учет и разделение определенного числа хлебов на заданное число людей.
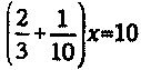
Египтяне формулировали свои задачи весьма изысканно. К примеру, задача № 30 из папируса Ринда звучит так: «Когда писец спрашивает вас, чему равна куча, если известно, что 2/3 + 1/10 от нее составит десять, пусть он услышил правильный ответ». Здесь «куча» — египетский термин для неизвестной величины, которую в наши дни обозначают буквой x, представляющей собой фундаментальный и неотъемлемый символ современной алгебры. Сейчас бы мы задали Задачу № 30 так: чему равно значение x, если 2/3 + 1/10 при умножении на x дает 10? Или еще короче:
Найти x, если (2/3 + 1/10)x = 10.
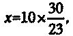
Поскольку у египтян не было привычных нам математических обозначений, таких как скобки, знак равенства или иксы, они искали ответ на заданный выше вопрос методом проб и ошибок, делая оценки для «кучи». Такой метод называется правилом ложного положения, он весьма похож на игру в гольф. Когда вы уже вышли на поле, становится легче понять, как же отправить мяч в лунку. Аналогичным образом, коль скоро у вас есть какой-то ответ, пусть и неправильный, вы можете сообразить, как приблизиться к правильному. Современный метод решения, наоборот, состоит в том, чтобы сложить дроби, стоящие при переменной x, при этом уравнение

можно записать в виде

или же

что далее сводится к

откуда, наконец,

Обозначения, использующие буквы, делают жизнь куда проще.
* * *
Египетский иероглиф для сложения представлял собой пару ног, шагающих справа налево:
(«складывающие» ноги шагают в ту сторону, в которую читается текст). Вычитание представлялось парой ног, шагающих слева направо:
. По мере того как обозначения для чисел эволюционировали от палочки с насечками до современных обозначений числительных, менялись и символы арифметических операций.
У египтян, однако, не было символа для неизвестной величины; не было его и у Пифагора с Евклидом. Для них математика была по природе геометрической, связанной с тем, что можно построить. А неизвестная величина требовала следующего уровня абстракции. Диофант, живший в Александрии в III веке, первым из греческих математиков стал использовать символ для неизвестной величины. Для этой цели он выбрал греческую букву сигма — ς. Для обозначения квадрата неизвестного числа он писал Δγ, а для куба — Kγ. Хотя его обозначения и были крупным достижением для того времени, поскольку позволяли сформулировать задачу более четко, они все же оставались довольно путаными, потому что — в отличие от системы, использующей x, х2 и х3, — не было очевидной визуальной связи между величиной ς и ее степенями Δγ и Kγ. Впрочем, несмотря на недостатки своих обозначений, Диофант вошел в историю математики как отец алгебры.
* * *
«Алгебра» — общий термин для математики уравнений, когда числа и операции записываются в виде символов. Само слово «алгебра» имеет занятную историю. В средневековой Испании над дверьми парикмахерских красовались вывески «Algebrista у Sangrador», то есть «Костоправ и Кровопускатель» — два вида деятельности, которые составляли неотъемлемую часть услуг цирюльника. По этой же причине шест, указывавший на характер заведения, выкрашен в красные и белые полосы — красный символизирует кровь, а белый — повязки.
Корень в слове «algebrista» взят из арабского «al-jabr»[32], что, помимо указания на примитивные хирургические приемы, означало также восстановление или воссоединение. Абу Джафар Мухаммад ибн Муса Аль-Хорезми, багдадский математик, живший в IX веке, написал вводный математический курс, озаглавленный «Книга восстановления и редукции» (буквально «сокращение и сравнение» — «Хисаб аль-джабр у аль-мукабаля»). В своем труде он объяснил два метода решения арифметических задач. Аль-Хорезми писал весьма цветисто, витиевато, по-восточному, но мы для лучшего понимания будем использовать современные обозначения и терминологию.
Рассмотрим уравнение А = В - С.
Аль-Хорезми описывает «al-jabr», или восстановление, как процесс, посредством которого данное уравнение принимает вид А + С = В. Другими словами, отрицательный член можно превратить в положительный, если перенести его на другую сторону от знака равенства.
Рассмотрим теперь уравнение А = В + С. Редукция — процесс, который превращает это уравнение в А - С = В.
Прочитали книгу? Предлагаем вам поделится своим впечатлением! Ваш отзыв будет полезен читателям, которые еще только собираются познакомиться с произведением.
Уважаемые читатели, слушатели и просто посетители нашей библиотеки! Просим Вас придерживаться определенных правил при комментировании литературных произведений.
Просьба отказаться от дискриминационных высказываний. Мы защищаем право наших читателей свободно выражать свою точку зрения. Вместе с тем мы не терпим агрессии. На сайте запрещено оставлять комментарий, который содержит унизительные высказывания или призывы к насилию по отношению к отдельным лицам или группам людей на основании их расы, этнического происхождения, вероисповедания, недееспособности, пола, возраста, статуса ветерана, касты или сексуальной ориентации. Просьба отказаться от оскорблений, угроз и запугиваний. Просьба отказаться от нецензурной лексики. Просьба вести себя максимально корректно как по отношению к авторам, так и по отношению к другим читателям и их комментариям.
Надеемся на Ваше понимание и благоразумие. С уважением, администратор My-Books.me.
Оставить комментарий
-
Александра15 январь 09:37
Очень интересная книга! Особенно, если любишь психологию и хочешь понимать себя и других. Обязательно послушаю до конца. Спасибо....
Кригер Борис – Гнев
-
Галина25 май 13:02
Очень уважаю Артема Шейнина, книга замечательная, очень мне близкая по духу.Перечитываю уже второй раз, столько пережитого и не...
Мне повезло вернуться - Артем Шейнин
-
Екатерина11 январь 08:05
Доброе утро. Подскажите пожалуйста как сохранять книги, ставить закладки?...
Подонок - Анастасия Леманн