Теория ограничений Голдратта. Системный подход к непрерывному совершенствованию - Уильям Детмер
Книгу Теория ограничений Голдратта. Системный подход к непрерывному совершенствованию - Уильям Детмер читаем онлайн бесплатно и без регистрации! Читать онлайн вы можете не только на компьютере, но и на андроид (Android), iPhone и iPad. Наслаждайтесь!
221 0 11:15, 21-05-2019Книга Теория ограничений Голдратта. Системный подход к непрерывному совершенствованию - Уильям Детмер читать онлайн бесплатно без регистрации
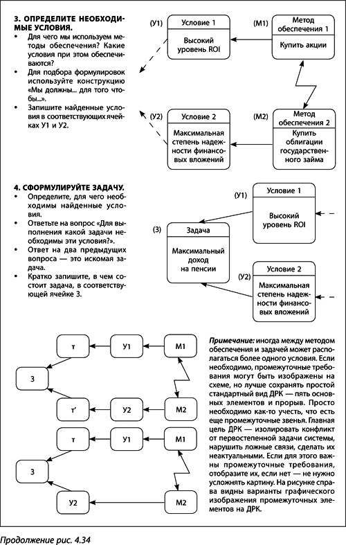
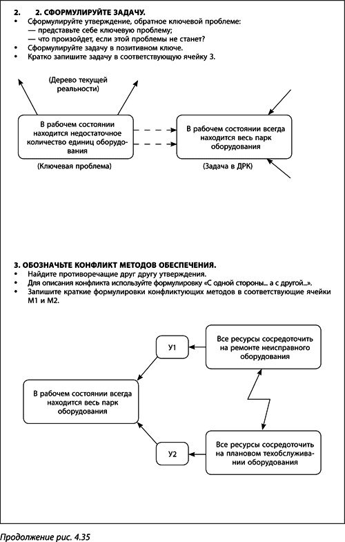
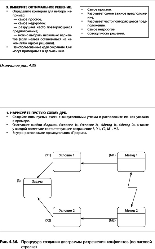
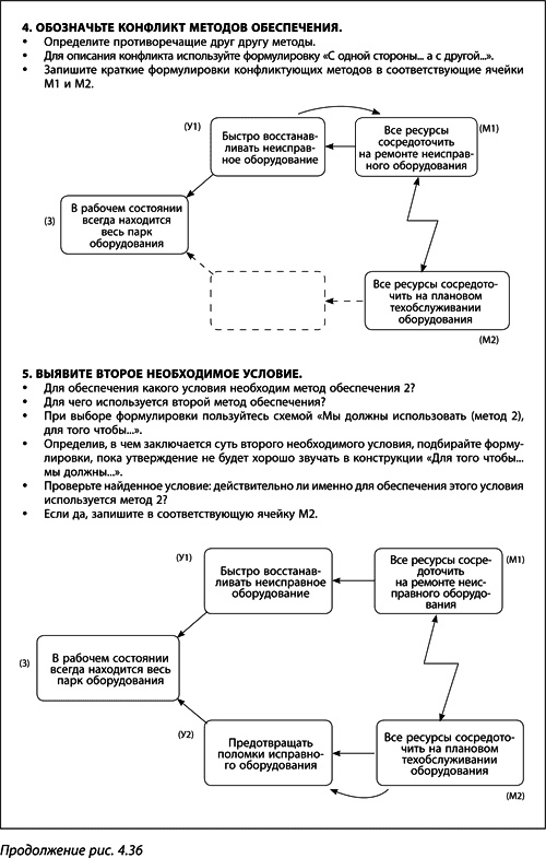
На рис. 4.33 приведен пример диаграммы разрешения конфликтов. Рисунки 4.34, 4.35 и 4.36 – это планы построения ДРК по часовой стрелке, справа налево или слева направо и в центр. На рис. 4.37 вы найдете чистые шаблоны, которые можно скопировать и использовать для создания ваших собственных ДРК.


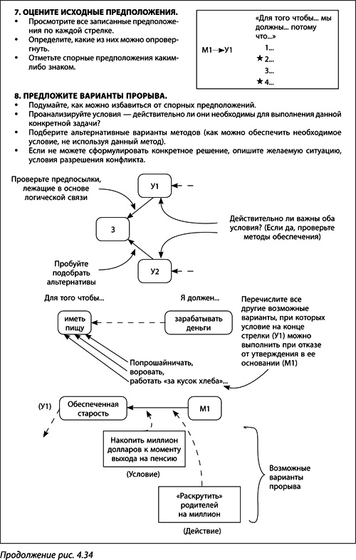
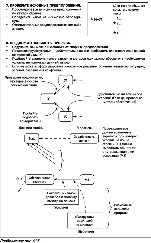
Итак, секрет успешного построения ДРК кроется в возможности раскрыть и оспорить исходные предположения, которые лежат в основе логического построения. И если конфликт основан на ошибочных предположениях, то это необходимо показать его участникам, помочь им найти пути взаимовыгодного разрешения конфликтной ситуации.
Но даже светлые идеи сами по себе проблему не решат. Их необходимо испробовать и реализовать на практике. Необходимо проверить: действительно ли мы нашли прорыв, ведущий к желаемому результату? Не возникнут ли при таком решении новые проблемы? Все эти вопросы нужны для следующего инструмента ТОС – дерева будущей реальности, описанного в главе 5. ДБР позволяет полностью ответить на вопрос «Что делать с ограничением?».
Мы не решаемся сделать шаг не потому, что он труден. Он труден именно потому, что мы на него не решаемся.

















Заняться чем-то абсолютно новым – значит начать все с нуля, отказавшись от привычного и рискуя не овладеть непознанным.

Представьте себе, что вы отвечаете за работу некой сложной системы, к примеру государственной системы образования. Теперь предположим, что система эта не справляется со своей задачей – предоставлением качественного образования. И вы понимаете: нужно что-то менять, иначе вся система разрушится. Недостатка в идеях нет, но решиться на конкретные шаги очень сложно. Вы понимаете: потребуются огромные вложения и ошибаться нельзя.
Что же предпринять? Просто выбрать какой-то интересный вариант, сказав: «Кажется, вот это неплохая идея»? Или все же как-то убедиться заранее, что выбранное решение принесет ожидаемые результаты и при этом не породит новых проблем?
Прочитали книгу? Предлагаем вам поделится своим впечатлением! Ваш отзыв будет полезен читателям, которые еще только собираются познакомиться с произведением.
Уважаемые читатели, слушатели и просто посетители нашей библиотеки! Просим Вас придерживаться определенных правил при комментировании литературных произведений.
Просьба отказаться от дискриминационных высказываний. Мы защищаем право наших читателей свободно выражать свою точку зрения. Вместе с тем мы не терпим агрессии. На сайте запрещено оставлять комментарий, который содержит унизительные высказывания или призывы к насилию по отношению к отдельным лицам или группам людей на основании их расы, этнического происхождения, вероисповедания, недееспособности, пола, возраста, статуса ветерана, касты или сексуальной ориентации. Просьба отказаться от оскорблений, угроз и запугиваний. Просьба отказаться от нецензурной лексики. Просьба вести себя максимально корректно как по отношению к авторам, так и по отношению к другим читателям и их комментариям.
Надеемся на Ваше понимание и благоразумие. С уважением, администратор My-Books.me.
Оставить комментарий
-
Александра15 январь 09:37
Очень интересная книга! Особенно, если любишь психологию и хочешь понимать себя и других. Обязательно послушаю до конца. Спасибо....
Кригер Борис – Гнев
-
Галина25 май 13:02
Очень уважаю Артема Шейнина, книга замечательная, очень мне близкая по духу.Перечитываю уже второй раз, столько пережитого и не...
Мне повезло вернуться - Артем Шейнин
-
Екатерина11 январь 08:05
Доброе утро. Подскажите пожалуйста как сохранять книги, ставить закладки?...
Подонок - Анастасия Леманн