» » » Невидимая Вселенная. Темные секреты космоса - Йостейн Рисер Кристиансен

Невидимая Вселенная. Темные секреты космоса - Йостейн Рисер Кристиансен

Книгу Невидимая Вселенная. Темные секреты космоса - Йостейн Рисер Кристиансен читаем онлайн бесплатно и без регистрации! Читать онлайн вы можете не только на компьютере, но и на андроид (Android), iPhone и iPad. Наслаждайтесь!

137 0 11:00, 26-08-2022
Невидимая Вселенная. Темные секреты космоса - Йостейн Рисер Кристиансен
26 август 2022
Автор: Йостейн Рисер Кристиансен Жанр: Книги / Домашняя Год публикации: 2022 Возрастные ограничения: (18+) Внимание! Аудиокнига может содержать контент только для совершеннолетних.
0 0

Книга Невидимая Вселенная. Темные секреты космоса - Йостейн Рисер Кристиансен читать онлайн бесплатно без регистрации

За могущественной видимой Вселенной, которая ночами окутывает нас, скрывается нечто иное и гораздо более впечатляющее. Большинство астрономов сегодня считают, что девяносто пять процентов содержимого Вселенной невидимо. Все, что мы наблюдаем в повседневной жизни и на красивых картинках с телескопа «Хаббл», составляет, вероятно, лишь пять процентов от того, что скрывается в космосе. Остальное — темная материя и энергия — та часть реальности, которую мы только-только начали понимать. Так что же представляют из себя эти темные невидимые субстанции? И как мы можем быть настолько уверены в их существовании? Йостейн Рисер Кристиансен (р. 1981) — норвежский астрофизик, популяризатор науки.
1 ... 38 39 40 41 42 43 44 45 46 ... 53
Перейти на страницу:


Общая теория относительности

Но этого Эйнштейну было мало. Специальная теория относительности не включала силу тяжести, а закон всемирного тяготения Ньютона не согласовывался со специальной теорией относительности. Например, в теории Ньютона скорость гравитации считается бесконечно большой. А согласно теории относительности, ничто, даже гравитация, не может двигаться быстрее с. Эйнштейн намеревался разработать новую теорию гравитации, которая бы не зависела от единства времени и пространства Ньютона и не противоречила специальной теории относительности. В результате родилась совершенно новая теория гравитации, известная сегодня как общая теория относительности.

Чисто математически специальная теория относительности не особо сложна. Если сначала изучить постулаты Эйнштейна о скорости света и придерживаться математической теории, то, чтобы производить вычисления по этой теории, хватит и школьного образования. Общая теория относительности как с точки зрения идеи, так и вычислений стоит обособленно. Потратив семь долгих лет, в 1915 году Эйнштейн представил окончательный результат. Общая теория относительности, несомненно, является одним из величайших интеллектуальных достижений прошлого века.

Уже в специальной теории относительности Эйнштейн отказался от понимания времени и пространства как абсолютных величин. В общей же теории относительности он основательно развил эту идею. Общая теория относительности основана на понятии геометрического пространства, которое мы называем пространство-время, или пространственно-временной континуум. Пространственно-временной континуум — эго четырехмерная система отсчета, в которой время представляет собой такое же пространственное изменение, как длина, ширина и высота. Пространство-время способно менять свою кривизну. В соответствии с общей теорией относительности, объект в свободном падении всегда выберет кратчайший путь между двумя точками в пространственно-временном континууме. Согласно общей теории относительности, когда камень падает на землю, вниз его тянет, строго говоря, не совсем сила. Камень просто следует по прямой линии через искривленный континуум. И когда кажется, что брошенный камень движется по кривой траектории в наших трех измерениях, это соответствует прямой линии в искривленном отрезке пространства-времени. Возможно, это звучит крайне абстрактно. Так и есть. Но независимо от того, представляет собой «истинная» реальность искривленный пространственно-временной континуум или нет, одно мы знаем наверняка: общая теория относительности работает! Ведь ее прогнозы совпадают с реальными наблюдениями. И эта теория описывает электромагнетизм, движения и гравитационные силы без каких-либо противоречий.

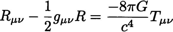
Как вы видите, уравнений в этой книге немного, но раз уж мы рассмотрели самое известное уравнение Эйнштейна (Е=mc2), то давайте взглянем и на его самые важные уравнения, составляющие основу общей теории относительности. Прошу любить и жаловать — «уравнения Эйнштейна»:


Невидимая Вселенная. Темные секреты космоса

В значение символов углубляться не станем, скажем лишь, что в целом эти уравнения гравитационного поля лежат в основе многих явлений.

Для начала — почему мы называем их «уравнения Эйнштейна», хотя выражение всего одно? Да, но греческие буквы р и v могут иметь четыре разных значения каждая (соответствующие четырем измерениям). Вот и получается: 4x4 = 16 различных комбинаций р и v и, следовательно, 16 различных уравнений, объединенных в одном. Некоторые из уравнений, правда, симметричны, поэтому остается только десять уравнений, которые нужно решить. Эти десять сложных уравнений тесно взаимосвязаны, и, как правило, найти их точное решение сложновато.

О чем нам говорят уравнения гравитационного поля Эйнштейна? Правая часть уравнения описывает количество, например, материи, энергии или излучения в пространстве-времени. Все это содержание заключено в символ Т. Левая часть содержит геометрические величины, описывающие искривление пространства-времени. А между геометрией слева и содержимым справа стоит знак равенства. В этом вся суть общей теории относительности: содержание Вселенной определяет, как будет выглядеть кривизна пространства-времени. А кривизна пространства-времени определяет, как должны двигаться объекты. Да, уравнения сложны, зато принципы просты и удивительно красивы.

Как мы обсуждали, говоря о теории MOND (Модифицированная ньютоновская динамика), общая теория относительности в большинстве случаев дает предсказания, почти идентичные закону всемирного тяготения Ньютона. Например, можно планировать полеты на Луну, используя исключительно законы Ньютона. Работать с ними гораздо проще, а результаты практически такие же, даже несмотря на длительность путешествий и зависимость от гравитационных сил. Различия между теориями Ньютона и Эйнштейна проявляются только тогда, когда гравитация становится чрезвычайно мощной, а расстояния очень большими или же при чрезвычайно точных измерениях. Пример практического использования общей теории относительности — геопозиционирование с помощью спутников GPS. Когда GPS-приемник определяет ваше местоположение, он использует очень точные сигналы времени со спутников. Здесь необходимо учитывать общую теорию относительности, чтобы достичь желаемой точности в определении положения.

Помимо геопозиционирования, общая теория относительности выдержала и другие проверки. Ранее в книге мы коснулись двух из них — гравитационного линзирования и движения перигелия Меркурия. Оба этих явления использовались в качестве первых тестов, в которых теории Ньютона и Эйнштейна давали разные результаты. В обоих случаях теория Эйнштейна доказала свое превосходство. Применив свою теорию при расчете орбиты Меркурия, Эйнштейн самостоятельно убедился в собственной правоте.

Испытания с помощью гравитационного линзирования были проведены лишь в 1919 году, после публикации работы. В те времена у нас еще не имелось ни знаний, ни оборудования для наблюдения гравитационного линзирования от скоплений галактик. Однако Эйнштейн рассчитал, насколько свет далеких звезд будет отклоняться, проходя очень близко к Солнцу. Свет отклоняется из-за гравитационных сил Солнца. Или, выражаясь в терминах общей теории относительности, свет будет двигаться через пространство-время, искривленное массой Солнца. По теории Ньютона тоже можно рассчитать такое отклонение света, но отклонение, предсказанное теорией относительности, больше.

Проблема, конечно, заключается в том, что наблюдать звезды в непосредственной близости от Солнца, как правило, невозможно. Поэтому наблюдения проводились во время полного солнечного затмения 1919 года. В момент затмения Луна перекрывает весь солнечный диск и становится настолько темно, что можно наблюдать звезды, в том числе и крайне близкие к Солнцу, а затем — понаблюдать, как меняется видимое положение звезд на небе без влияния Солнца.

Британский астроном Артур Эддингтон возглавил экспедицию на африканский остров Принсипи — одно из немногих мест, где полное солнечное затмение 1919 года было прекрасно видно с суши. Осуществить достаточно точные измерения оказалось задачей не из легких, но к результатам Эддингтона было не придраться, и их даже представили позже в том же году на собрании Королевского общества в Лондоне. Теория Эйнштейна подтвердилась. То, что старая теория Ньютона, похоже, вот-вот уступит место чему-то новому и более совершенному, не осталось незамеченным. На следующий день после заявления Эддингтона британская газета «Таймс» заявила: «РЕВОЛЮЦИЯ В НАУКЕ — НОВАЯ ТЕОРИЯ ВСЕЛЕННОЙ — ОТКАЗ ОТ ИДЕЙ НЬЮТОНА».

1 ... 38 39 40 41 42 43 44 45 46 ... 53
Перейти на страницу:
  1. Жалоба
Отзывы - 0

Прочитали книгу? Предлагаем вам поделится своим впечатлением! Ваш отзыв будет полезен читателям, которые еще только собираются познакомиться с произведением.


Уважаемые читатели, слушатели и просто посетители нашей библиотеки! Просим Вас придерживаться определенных правил при комментировании литературных произведений.

Просьба отказаться от дискриминационных высказываний. Мы защищаем право наших читателей свободно выражать свою точку зрения. Вместе с тем мы не терпим агрессии. На сайте запрещено оставлять комментарий, который содержит унизительные высказывания или призывы к насилию по отношению к отдельным лицам или группам людей на основании их расы, этнического происхождения, вероисповедания, недееспособности, пола, возраста, статуса ветерана, касты или сексуальной ориентации. Просьба отказаться от оскорблений, угроз и запугиваний. Просьба отказаться от нецензурной лексики. Просьба вести себя максимально корректно как по отношению к авторам, так и по отношению к другим читателям и их комментариям.

Надеемся на Ваше понимание и благоразумие. С уважением, администратор My-Books.me.


Новые отзывы

  1. Александра Александра15 январь 09:37 Очень интересная книга! Особенно, если любишь психологию и хочешь понимать себя и других. Обязательно послушаю до конца. Спасибо.... Кригер Борис – Гнев
  2. Галина Галина25 май 13:02 Очень уважаю Артема Шейнина, книга замечательная, очень мне близкая по духу.Перечитываю уже второй раз, столько пережитого и не... Мне повезло вернуться - Артем Шейнин
  3. Екатерина Екатерина11 январь 08:05 Доброе утро. Подскажите пожалуйста как сохранять книги, ставить закладки?... Подонок - Анастасия Леманн
Все комметарии
Новинки бесплатной онлайн библиотеки