» » » Симпсоны и их математические секреты - Саймон Сингх

Симпсоны и их математические секреты - Саймон Сингх

Книгу Симпсоны и их математические секреты - Саймон Сингх читаем онлайн бесплатно и без регистрации! Читать онлайн вы можете не только на компьютере, но и на андроид (Android), iPhone и iPad. Наслаждайтесь!

445 0 15:09, 25-05-2019
Симпсоны и их математические секреты - Саймон Сингх
25 май 2019
Автор: Саймон Сингх Жанр: Книги / Домашняя Год публикации: 2017 Возрастные ограничения: (18+) Внимание! Аудиокнига может содержать контент только для совершеннолетних.
+1 1

Книга Симпсоны и их математические секреты - Саймон Сингх читать онлайн бесплатно без регистрации

Саймон Сингх рассказывает о самых интересных эпизодах мультсериала, в которых фигурируют важнейшие математические идеи – от числа π и бесконечности до происхождения чисел и самых сложных проблем, над которыми работают современные математики. Книга будет интересна поклонникам сериала «Симпсоны» и всем, кто увлекается математикой. На русском языке публикуется впервые.
1 ... 34 35 36 37 38 39 40 41 42 ... 61
Перейти на страницу:

И последнее: сценаристы «Симпсонов» тоже в восторге от числа e. Оно не только присутствует на корешке одной из книг в эпизоде «ДеньгоБАРТ», но и особо отмечается в эпизоде «Сражение перед Рождеством» (The Fight Before Christmas, сезон 22, эпизод 8; 2010 год). Последний фрагмент эпизода сделан в стиле образовательной программы для детей «Улица Сезам», поэтому заканчивается традиционной спонсорской рекламой. Однако вместо фразы «Спонсоры сегодняшней программы “Улица Сезам” – буква c и число 9» зрителям озвучили фразу «Спонсоры сегодняшнего показа “Симпсонов” – символ умляут[46] и число e (не путать с буквой “е”). Это число, экспоненциальная функция которого – производная от него самого».

Глава 12
Еще один кусочек числа π

В эпизоде «Оковы Мардж» (Marge in Chains, сезон 4, эпизод 21; 1993 год) Мардж арестовывают после того, как она забывает заплатить за бутылку бурбона в магазине «На скорую руку». Мардж привлекают к суду, а ее интересы представляет адвокат Лайонел Хац, человек с сомнительной репутацией. Еще до начала суда Хац признает, что это, вероятно, будет трудная битва, потому что у него плохие отношения с судьей: «Он ненавидит меня с тех пор, как я вроде бы наехал на его собаку… Замените слово “вроде” на слово “неоднократно”, а слово “собака” на “сын”».

Стратегия защиты Мардж, которой решил придерживаться Хац, сводится к дискредитации владельца магазина «На скорую руку» Апу Нахасапимапетилона, который выступает в качестве свидетеля по обвинению Мардж в краже. Однако когда он вызывает Апу для дачи свидетельских показаний и спрашивает, забывал ли он когда-либо что-нибудь, Апу пытается показать, что у него идеальная память, и отвечает: «Нет, но я могу назвать число π до сорока тысяч десятичных знаков. Последняя цифра 1».

На Гомера это не производит особого впечатления, и он просто думает про себя: «Мм… Пи(рог)».

Поразительное заявление Апу о том, что он запомнил до сорока тысяч десятичных знаков числа π, имеет смысл только в случае, если математики уже рассчитали это число с такой точностью. Так какова же была ситуация с его вычислением в 1993 году, когда эпизод вышел на экраны?

В главе 2 мы видели, как математики, начиная с древних греков, использовали многогранники для определения все более точного значения числа π и получили в итоге результат с точностью до тридцать четвертого десятичного знака. В 1630 году австрийский астроном Кристоф Гринбергер рассчитал число π с помощью многогранников до тридцать восьмого десятичного знака. С научной точки зрения нет совершенно никакого смысла в определении следующих цифр, поскольку данного значения вполне достаточно для выполнения самых сложных астрономических расчетов с максимально высокой точностью. И это не преувеличение. Если бы астрономы установили точный диаметр известной нам части Вселенной, то значения числа π до тридцать восьмого десятичного знака вполне бы хватило для расчета окружности Вселенной с точностью до размера атома водорода.

Тем не менее борьба за установление все большего количества цифр числа π продолжилась. Эта задача стала напоминать восхождение на Эверест. Число π выступало на математическом ландшафте в роли далекой горной вершины, и математики стремились взобраться на нее. Однако стратегия математиков изменилась. Вместо использования медленного подхода с применением многогранников они открыли ряд формул для определения значения числа π более быстрым способом. Например, в XVIII столетии Леонард Эйлер вывел следующую элегантную формулу:


Симпсоны и их математические секреты

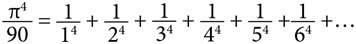
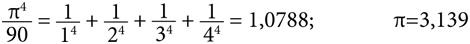
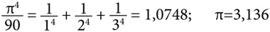
Интересно то, что число π можно вывести из такой простой последовательности чисел. Это равенство известно как бесконечный ряд, поскольку оно состоит из бесконечного количества членов, и чем больше членов включено в расчеты, тем точнее будет результат. Ниже представлены результаты вычисления числа π с использованием одного, двух, трех, четырех и пяти членов ряда Эйлера:


Симпсоны и их математические секреты
Симпсоны и их математические секреты
Симпсоны и их математические секреты
Симпсоны и их математические секреты
Симпсоны и их математические секреты

Метод аппроксимации позволяет все плотнее приблизиться к истинному значению числа π; при этом по мере включения дополнительного члена уравнения результат становится точнее. Вычисление числа π с помощью пяти членов уравнения дает значение 3,140, что обеспечивает точность до двух десятичных знаков. В случае использования ста членов уравнения число π можно рассчитать с точностью до шести десятичных знаков: 3,141592.

Бесконечный ряд Эйлера – достаточно эффективный метод расчета значения числа π, но следующие поколения математиков изобрели и другие бесконечные ряды, позволяющие ускорить вычисления. Джон Мэчин, который в начале XVIII столетия был профессором астрономии в Колледже Грешема в Лондоне, разработал один из самых быстро сходящихся, хотя и не такой элегантный бесконечный ряд[47]. Мэчин превзошел все предыдущие достижения, рассчитав значение числа π с точностью до ста десятичных знаков.

Другие математики использовали бесконечный ряд Мэчина еще активнее. К их числу относится и английский математик-любитель Уильям Шенкс, который посвятил большую часть своей жизни вычислению π. В 1874 году он заявил, что рассчитал 707 цифр числа π.

В знак уважения к столь героическому достижению музей науки в Париже, известный под названием «Дворец открытий», украсил свой зал числа π надписью со всеми 707 цифрами π. К сожалению, в 40-х годах ХХ века в выкладках Шенкса была выявлена ошибка при расчете 527 десятичного знака, из-за чего все последующие цифры оказались неправильными. Дворец открытий вызвал маляров, а репутация Шенкса была безнадежно испорчена. Тем не менее 526 десятичных знаков все же оставались рекордным значением для числа π на то время.

1 ... 34 35 36 37 38 39 40 41 42 ... 61
Перейти на страницу:
  1. Жалоба
Отзывы - 0

Прочитали книгу? Предлагаем вам поделится своим впечатлением! Ваш отзыв будет полезен читателям, которые еще только собираются познакомиться с произведением.


Уважаемые читатели, слушатели и просто посетители нашей библиотеки! Просим Вас придерживаться определенных правил при комментировании литературных произведений.

Просьба отказаться от дискриминационных высказываний. Мы защищаем право наших читателей свободно выражать свою точку зрения. Вместе с тем мы не терпим агрессии. На сайте запрещено оставлять комментарий, который содержит унизительные высказывания или призывы к насилию по отношению к отдельным лицам или группам людей на основании их расы, этнического происхождения, вероисповедания, недееспособности, пола, возраста, статуса ветерана, касты или сексуальной ориентации. Просьба отказаться от оскорблений, угроз и запугиваний. Просьба отказаться от нецензурной лексики. Просьба вести себя максимально корректно как по отношению к авторам, так и по отношению к другим читателям и их комментариям.

Надеемся на Ваше понимание и благоразумие. С уважением, администратор My-Books.me.


Новые отзывы

  1. Александра Александра15 январь 09:37 Очень интересная книга! Особенно, если любишь психологию и хочешь понимать себя и других. Обязательно послушаю до конца. Спасибо.... Кригер Борис – Гнев
  2. Галина Галина25 май 13:02 Очень уважаю Артема Шейнина, книга замечательная, очень мне близкая по духу.Перечитываю уже второй раз, столько пережитого и не... Мне повезло вернуться - Артем Шейнин
  3. Екатерина Екатерина11 январь 08:05 Доброе утро. Подскажите пожалуйста как сохранять книги, ставить закладки?... Подонок - Анастасия Леманн
Все комметарии
Новинки бесплатной онлайн библиотеки