» » » Сердце и сосуды. Большая энциклопедия здоровья - Ольга Копылова

Сердце и сосуды. Большая энциклопедия здоровья - Ольга Копылова

Книгу Сердце и сосуды. Большая энциклопедия здоровья - Ольга Копылова читаем онлайн бесплатно и без регистрации! Читать онлайн вы можете не только на компьютере, но и на андроид (Android), iPhone и iPad. Наслаждайтесь!

188 0 01:27, 25-05-2019
Сердце и сосуды. Большая энциклопедия здоровья - Ольга Копылова
25 май 2019
Автор: Ольга Копылова Жанр: Книги / Домашняя Год публикации: 2016 Возрастные ограничения: (18+) Внимание! Аудиокнига может содержать контент только для совершеннолетних.
0 0

Книга Сердце и сосуды. Большая энциклопедия здоровья - Ольга Копылова читать онлайн бесплатно без регистрации

Однажды знакомый французский доктор посетовал мне на российских туристов, за здоровьем которых ему пришлось следить на круизном лайнере. Практически ежедневно с кем-нибудь из них случался гипертонический криз! А пенсионеры из Европы, которые тоже плыли на этом судне, спокойно отдыхали. Корабельный доктор никак не мог понять, почему у русских постоянно болит голова и повышается давление, тогда как европейские туристы с подобными жалобами не обращаются? На самом деле это легко объяснить – в европейских странах граждане старше 40 лет ежегодно проходят медицинское обследование, по собственному разумению не отменяют прием прописанных им лекарств и не назначают себе новые, соблюдают диету и занимаются специальной гимнастикой и лечебной ходьбой. То есть делают все для того, чтобы предупредить развитие сердечно-сосудистых заболеваний и их обострение. Чего, к сожалению, не скажешь о наших соотечественниках. Слушая рассказ корабельного доктора о гипертонических кризах у русских туристов, мне стало до глубины души обидно за земляков. Ну не работает у нас пока страховая медицина столь эффективно! Значит, позаботиться о себе должен каждый сам. Как именно? Об этом я и рассказала в книге, которую посвятила сердечно-сосудистому здоровью. Энциклопедия является переизданием книг «120 на 80. Книга о том, как победить гипертонию, а не снижать давление» и «60 ударов в минуту. Книга о том, как помочь сердцу восстановить силу и здоровый ритм». Внимание! Информация, содержащаяся в книге, не может служить заменой консультации врача. Необходимо проконсультироваться со специалистом перед совершением любых рекомендуемых действий.
1 ... 32 33 34 35 36 37 38 39 40 ... 117
Перейти на страницу:

Оздоровительная ходьба – наиболее доступный и безопасный вид аэробики, позволяющий в любом возрасте практически с нуля наращивать резервы кровеносной и дыхательной системы без риска кардиоперегрузки.

Амосов подчеркивал, что из всех органов и систем при физической тренировке наиболее уязвимо сердце. Именно на сердце нужно ориентироваться при увеличении нагрузок. Если у вас порок сердца, стенокардия, если вы перенесли инфаркт или у вас гипертония с высоким давлением (выше 180/100 мм рт. ст.), без консультации с врачом начинать тренировки недопустимо! Все остальные люди, по мнению Амосова, могут контролировать свое состояние самостоятельно.

Протестируйте ваше сердце

Как же определить выносливость, степень своей тренированности? Ориентироваться в этом случае принято на уровень работоспособности сердечно-сосудистой и дыхательной системы.

Тест «Пульс в покое»

Посчитайте свой пульс в покое. По пульсу в положении сидя можно приблизительно оценить состояние сердца.

Если вы мужчина и ваш пульс в покое реже 50 ударов в минуту, это очень хорошо! Если пульс в покое у вас реже 65 ударов – неплохо, если 65–75 ударов – терпимо, если же пульс в покое при любом измерении выше 75 ударов – это тревожный сигнал.

У женщин к этим цифрам надо прибавить пять.


Сердце и сосуды. Большая энциклопедия здоровья

Теперь давайте пройдем несколько тестов, которые покажут, как справляется с нагрузкой ваша сердечно-сосудистая система.

Важно подчеркнуть, что тесты можно проводить только при хорошем самочувствии. Если у вас в момент испытаний высокое давление, такие тесты могут сослужить плохую службу.

Возьмите за правило контролировать свое давление перед любой нагрузкой!

Тест «60 ступеней»

Дадим сердцу небольшую нагрузку и посмотрим, как оно с ней справится. Не торопясь поднимитесь на четвертый этаж, а затем посчитайте ваш пульс.


Сердце и сосуды. Большая энциклопедия здоровья

Если сразу после остановки он ниже 100 ударов в минуту – отлично, если не выше 120 ударов – хорошо, если пульс достигает 140 ударов – обратите на это внимание, если пульс выше 140 – это плохо. В случае если пульс такой высокий, дальнейших испытаний проводить нельзя.

Тест «20 приседаний»

Еще один известный способ проверки выносливости сердца. Перед началом теста измерьте ваш пульс, а затем сделайте 20 приседаний в течение 30 секунд. Засеките время завершения приседаний. А теперь отдыхайте в течение 3 минут, после чего снова измерьте пульс.


Сердце и сосуды. Большая энциклопедия здоровья

Если пульс после 20 приседаний не вернулся к исходному значению за 3 минуты, вы не в лучшей физической форме. Если пульс восстановился за 1 минуту, ваше физическое состояние не требует корректировки. Но так бывает только у хорошо тренированных людей и у спортсменов. Если у вас имеются какие-либо заболевания сердечнососудистой системы, за 1 минуту пульс не восстановится. Потребуется продолжительное время, чтобы скорректировать работу сердца и сосудов. Безопасный уровень здоровья имеют лишь люди с высоким уровнем физического состояния.

Гарвардский степ-тест

Предлагаю вам также провести широко известный гарвардский степ-тест. Этот тест долгое время использовали для тестирования спортсменов, но в дальнейшем его заменили испытанием на велоэргометре.

Для проведения теста вам понадобится одна-единственная ступенька высотой 30 см для мужчин и 20 см для женщин. Изготовить такую ступень можно, например, отпилив на нужном расстоянии ножки у табурета. В течение 5 минут поднимайтесь на ступеньку поочередно обеими ногами, а потом спускайтесь с нее, опуская ноги также по очереди. У вас должно получиться примерно 30 подъемов-спусков за минуту.


Сердце и сосуды. Большая энциклопедия здоровья

Окончив тест, сядьте, отдохните в течение минуты, а затем посчитайте ваш пульс в течение 30 секунд.

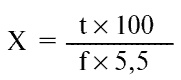
Далее по предложенной ниже формуле вам придется определить специальный индекс, указывающий уровень вашего физического состояния. Вот эта формула:


Сердце и сосуды. Большая энциклопедия здоровья

где t – время всех подъемов в секундах (300),

f – пульс за 30 секунд (число ударов за 30 секунд).


По нижеприведенной таблице 1 определите уровень вашего физического состояния.


Таблица 1

Уровень физического состояния

Сердце и сосуды. Большая энциклопедия здоровья
Полуторамильный тест Купера

Отметим, что это испытание противопоказано неподготовленным, ослабленным и пожилым людям, но если вы регулярно занимаетесь спортом и состояние вашего здоровья стабильно хорошее, попробуйте пройти 2400 метров в бодром темпе. Засеките время, за которое вы сможете пройти это расстояние.

По Куперу, мужчина в возрасте 60 лет должен уложиться при прохождении этой дистанции в 20 минут, а женщина того же возраста – в 21 минуту. И это далеко не самый лучший показатель физического состояния.

Спортсмены и физически тренированные люди преодолевают это расстояние почти в два раза быстрее!

Всем же остальным придется потрудиться, прежде чем они смогут проходить два с половиной километра хотя бы за 20–25 минут.

Регулярно занимайтесь оздоровительной ходьбой и поставьте себе сначала цель проходить три километра без особого напряжения и одышки. За какое время – для начала это не важно.

Записывайте один раз в неделю, за какое время вам удалось преодолеть указанное расстояние без одышки и с пульсом, не превышающим 120 ударов в минуту.

Через три месяца регулярных тренировок (не чаще 4–5 раз в неделю) вы увидите, насколько улучшилось ваше физическое состояние, – время прохождения дистанции значительно сократится!

1 ... 32 33 34 35 36 37 38 39 40 ... 117
Перейти на страницу:
  1. Жалоба
Отзывы - 0

Прочитали книгу? Предлагаем вам поделится своим впечатлением! Ваш отзыв будет полезен читателям, которые еще только собираются познакомиться с произведением.


Уважаемые читатели, слушатели и просто посетители нашей библиотеки! Просим Вас придерживаться определенных правил при комментировании литературных произведений.

Просьба отказаться от дискриминационных высказываний. Мы защищаем право наших читателей свободно выражать свою точку зрения. Вместе с тем мы не терпим агрессии. На сайте запрещено оставлять комментарий, который содержит унизительные высказывания или призывы к насилию по отношению к отдельным лицам или группам людей на основании их расы, этнического происхождения, вероисповедания, недееспособности, пола, возраста, статуса ветерана, касты или сексуальной ориентации. Просьба отказаться от оскорблений, угроз и запугиваний. Просьба отказаться от нецензурной лексики. Просьба вести себя максимально корректно как по отношению к авторам, так и по отношению к другим читателям и их комментариям.

Надеемся на Ваше понимание и благоразумие. С уважением, администратор My-Books.me.


Новые отзывы

  1. Александра Александра15 январь 09:37 Очень интересная книга! Особенно, если любишь психологию и хочешь понимать себя и других. Обязательно послушаю до конца. Спасибо.... Кригер Борис – Гнев
  2. Галина Галина25 май 13:02 Очень уважаю Артема Шейнина, книга замечательная, очень мне близкая по духу.Перечитываю уже второй раз, столько пережитого и не... Мне повезло вернуться - Артем Шейнин
  3. Екатерина Екатерина11 январь 08:05 Доброе утро. Подскажите пожалуйста как сохранять книги, ставить закладки?... Подонок - Анастасия Леманн
Все комметарии
Новинки бесплатной онлайн библиотеки