Футболоматика - Дэвид Самптер
Книгу Футболоматика - Дэвид Самптер читаем онлайн бесплатно и без регистрации! Читать онлайн вы можете не только на компьютере, но и на андроид (Android), iPhone и iPad. Наслаждайтесь!
295 0 10:00, 24-11-2019Книга Футболоматика - Дэвид Самптер читать онлайн бесплатно без регистрации
Таблица 8.1
Таблица «за и против» для модели «отлынивать или работать». В ячейках указана выгода, которую вы получите в зависимости от вашей стратегии и стратегии вашего коллеги

Крупные компании и государственные организации сталкиваются с дилеммой «отлынивать или работать» постоянно. Сотрудники компании работают над различными проектами в группах или по парам; для людей есть возможность либо принимать активное участие, либо не выполнять даже свою долю работы. Поскольку новые группы и проекты формируются постоянно, достаточно трудно отслеживать, кто вносит свой вклад, а кто нет.
Предположим, что на старте компании все очень мотивированы и стремятся произвести впечатление. Вскоре одна умная сотрудница замечает, что она может работать над проектом немного меньше. Поначалу на это никто не обратил внимания, и в большинстве проектов все в группе упорно работают.
Однако через некоторое время такая идея появилась еще у одного сотрудника, который «падает на хвост» своим коллегам. Лень продолжает распространяться, поскольку все больше людей видят преимущества в том, чтобы позволить другим людям выполнять работу за них.
Мы можем использовать эволюционную модель для определения того, как пропорция лентяев и рабочих меняется со временем[77]. Мы начинаем с того, что весь коллектив усердно работает, кроме одного лентяя. Эти люди попарно встречаются и получают очки согласно таблице 8.1. Большинство работников получат два очка, потому что они встречают другого работника. Но работник, который связан с лентяем, получает ноль очков, а сам «сачок» получает три. Такой исход дает лени бо́льшую вероятность распространения среди населения. Медленно, но верно она увеличивается.
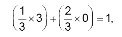
Тем не менее желание лениться не распространяется до бесконечности. Как только две трети компании станут лентяями, прибыль для них составит

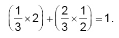
потому что теперь шанс встретить активного работника и получить максимум очков равен лишь 1/3. Таким же образом средняя прибыль для работника составит

Не имеет значения, работаете ли вы или отлыниваете, – результат будет один и тот же. Поэтому лень никогда не одержит верх целиком. В случае когда каждый будет пытаться избежать работы, для умного человека будет лучше написать отчет и получить пол-очка.
Ситуация в этой компании довольно ужасна. Двое из трех работников избегают работы. Таким образом, вероятность того, что оба задействованных в проекте сотрудника уклоняются от ответственности, составляет 2/3 × 2/3 = 4/9. Только один проект из каждых девяти (1/3 × 1/3 = 1/9) будет включать в себя двух ответственных работников. Каждый следует своим интересам, и в конечном итоге никто не счастлив.
Большой проблемой для сотрудничества является ви́дение мира в рамках игр наподобие «отлынивать или работать». Модели прогнозируют, что если мы продолжим следовать нашим корыстным интересам, идеи совместного сотрудничества среди населения продолжат уменьшаться. Биологи рассматривают эти проблемы с точки зрения гена эгоизма. Если стратегия работника – это ген, который кодирует совместное поведение, то конкуренция с геном лентяя не приведет ни к чему хорошему. Когда лентяй встречает работника, первый получает все преимущества и передает свои гены следующему поколению. В результате модель предсказывает, что эволюция не способствует сотрудничеству в ущерб себе, хотя это и может быть лучшим решением для всех людей в долгосрочной перспективе.
Однако эти теоретические предсказания не совпадают с наблюдениями. В природе мы видим сотрудничество повсюду. Я уже рассказывал о том, как львы охотятся командами и рыбы координируют свое движение, чтобы уйти от хищника. И это лишь несколько примеров. Птицы предупреждают об опасности; шимпанзе чистят друг друга; муравьи оставляют феромонные тропы, и пчелы танцуют, чтобы показать товарищам путь к еде; сурикаты по очереди стоят в дозоре. У этого списка нет конца. В некоторых случаях (например, у медоносных пчел и муравьев) работники не размножаются и просто работают, чтобы позволить королеве производить все яйца. Если эволюционная теория является рецептом эгоизма, почему тогда животные так хорошо относятся друг к другу?
К счастью, сотрудничество между людьми встречается так же часто. Мы все время делаем приятные вещи друг для друга. На работе люди делают то, что от них ожидается. Мы помогаем друг другу в уходе за детьми, принимаем участие в жизни сообщества и не забываем навещать своих бабушек. У нас даже есть пожарные команды, полиция и солдаты, которые рискуют жизнью ради нас.
Единственным ответом на вопрос, почему и животные, и люди сотрудничают, является генетическая связь. Если вы поможете своим племянницам и племянникам, они достигнут большего в жизни. Многие из их генов совпадают с вашими, поэтому помогая им, вы косвенно помогаете и своим генам. Именно в этом заключалась идея, выдвинутая биологом Уильямом Гамильтоном и обобщенная в этом простом правиле:
rb > c.
Оно говорит о том, что r (вероятность того, что вы разделяете какой-то конкретный ген с другим человеком), умноженная на b (польза, которую вы приносите этому человеку), должна быть больше c (издержки, которые вы понесете, помогая). Если вы используете правило Гамильтона в своей жизни, вы можете определить, сколько времени вы должны потратить на футбол с племянницей или чтение книг внуку сводного брата вашей мамы. Ваша племянница разделяет 1/4 ваших генов, в то время как у вашей дочки 1/2. Поэтому правило предполагает, что вы должны инвестировать больше времени в игру со своей дочкой, чем с племянницей. Внук сводного брата вашей мамы делит с вами 1/32 генов, поэтому ваша история перед сном должна занимать 1,875 минуты[78].
Прежде чем вы пойдете устанавливать таймер, я должен уточнить, как надо интерпретировать правило Гамильтона. Не стоит воспринимать это как ориентир для современной жизни. Люди относятся хорошо к другим людям часто независимо от того, являются ли они членами семьи или нет. Сегодня мы живем на планете с семью миллиардами человек и вносим свой вклад в сообщества, которые далеки от наших первоначальных семей. Вместо того чтобы стать законом повседневных отношений, правило Гамильтона в первую очередь является частью пояснения того, как развивалось наше совместное поведение.
Прочитали книгу? Предлагаем вам поделится своим впечатлением! Ваш отзыв будет полезен читателям, которые еще только собираются познакомиться с произведением.
Уважаемые читатели, слушатели и просто посетители нашей библиотеки! Просим Вас придерживаться определенных правил при комментировании литературных произведений.
Просьба отказаться от дискриминационных высказываний. Мы защищаем право наших читателей свободно выражать свою точку зрения. Вместе с тем мы не терпим агрессии. На сайте запрещено оставлять комментарий, который содержит унизительные высказывания или призывы к насилию по отношению к отдельным лицам или группам людей на основании их расы, этнического происхождения, вероисповедания, недееспособности, пола, возраста, статуса ветерана, касты или сексуальной ориентации. Просьба отказаться от оскорблений, угроз и запугиваний. Просьба отказаться от нецензурной лексики. Просьба вести себя максимально корректно как по отношению к авторам, так и по отношению к другим читателям и их комментариям.
Надеемся на Ваше понимание и благоразумие. С уважением, администратор My-Books.me.
Оставить комментарий
-
Александра15 январь 09:37
Очень интересная книга! Особенно, если любишь психологию и хочешь понимать себя и других. Обязательно послушаю до конца. Спасибо....
Кригер Борис – Гнев
-
Галина25 май 13:02
Очень уважаю Артема Шейнина, книга замечательная, очень мне близкая по духу.Перечитываю уже второй раз, столько пережитого и не...
Мне повезло вернуться - Артем Шейнин
-
Екатерина11 январь 08:05
Доброе утро. Подскажите пожалуйста как сохранять книги, ставить закладки?...
Подонок - Анастасия Леманн