Бережливый офис. Устранение потерь времени и денег - Энн Данн
Книгу Бережливый офис. Устранение потерь времени и денег - Энн Данн читаем онлайн бесплатно и без регистрации! Читать онлайн вы можете не только на компьютере, но и на андроид (Android), iPhone и iPad. Наслаждайтесь!
264 0 11:10, 21-05-2019Книга Бережливый офис. Устранение потерь времени и денег - Энн Данн читать онлайн бесплатно без регистрации
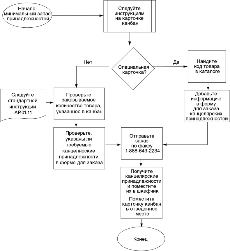
Задача команды по созданию бережливого офиса – изучить потребности в канцелярских принадлежностях, оценить количество канцтоваров, которое требуется на определенный период, и определить стандартное количество принадлежностей каждого вида, которое должно быть в наличии. Эти цифры и будут минимальным и максимальным количеством канцтоваров.
Команда должна договориться о:
• типе канцелярских принадлежностей каждого вида (существуют десятки типов шариковых ручек, карандашей и т. д.; договоритесь об определенном количестве принадлежностей каждого типа);
• недельном или месячном запасе принадлежностей каждого вида;
• минимальном количестве принадлежностей;
• максимальном количестве.
Минимального количества канцелярских принадлежностей должно хватать на то время, пока пополняется запас.
При определении максимального/минимального количества канцтоваров учитывайте следующие моменты:
• Убедитесь, что предусмотрен способ заказа особых видов канцтоваров, которые не входят в стандартный список.
• Через несколько недель следует еще раз оценить требуемое минимальное/максимальное количество канцелярских товаров на случай, если в силу обстоятельств его необходимо скорректировать.
• Многие поставщики канцтоваров доставляют заказы ежедневно без взимания дополнительной платы, но при этом устанавливают минимальную сумму заказа.
Составив стандартный список канцтоваров и определив их минимальное/максимальное количество, создайте форму для их заказа. Число принадлежностей каждого вида, которое требуется заказать, определяется как разница между их минимальным и максимальным количеством. Форма для заказа заполняется на основе карточек канбан, которые будут созданы на следующем (пятом) этапе. Ниже приводится пример такой формы:

Форма для заказа канцелярских принадлежностей должна содержать следующую информацию:
• код товара;
• ссылку на страницу каталога или веб-адрес;
• стоимость заказа;
• номер счета;
• любую другую информацию, необходимую для заказа.
Заказ можно отправлять офис-менеджеру в виде электронного письма или напрямую оформлять заказ в интернет-магазине поставщика.
Одна карточка канбан предназначена для повторного заказа канцелярских принадлежностей определенного вида. Каждую карточку следует заламинировать и присвоить ей цветовой код. Кроме того, карточки должны различаться по цвету в зависимости от места, где будут заказываться канцелярские принадлежности (возможно, потребуется разграничить внутренних и внешних поставщиков: Staples, Office Depot, корпоративный склад и т. д.).
Карточка должна быть такого размера, чтобы на ней помещалась вся необходимая информация, а именно:
• наименование канцелярских принадлежностей;
• минимальное количество;
• максимальное количество;
• заказываемое количество (максимальное количество минус минимальное количество);
• имя поставщика;
• код товара;
• номер страницы каталога;
• инструкции по использованию карточки канбан.
Ниже приводится пример карточки канбан для канцелярских принадлежностей:

Все карточки канбан следует помещать в специальный контейнер, расположенный рядом со шкафчиком для принадлежностей. Не забудьте его как-нибудь пометить.

Карточку канбан следует прикрепить таким образом, чтобы при уменьшении запасов определенного вида до минимального уровня ее сразу же становилось видно. Это будет сигналом к обновлению запасов до максимального необходимого уровня.
Создайте специальную карточку канбан для заказа канцелярских принадлежностей, не вошедших в стандартный список.

После того как команда завершит первые пять этапов, процесс необходимо документировать, стандартизировать и поместить его схему в отдельную папку (см. главу 8 «Создание системы документооборота»). Назначьте одного человека ответственным за всю систему обеспечения канцелярскими принадлежностями.
Существует множество способов документировать процесс. В большинстве случаев достаточно создать простую блок-схему. Также можно использовать карту стандартизированной работы (см. главу 8 «Создание системы документооборота»).

Перед тем как внедрить созданную на первых шести этапах систему заказа канцелярских принадлежностей, проведите тренинг для сотрудников офиса.
На тренинге обязательно сделайте следующее:
• кратко объясните цель канбан (зачем нужны карточки, каковы их особенности, как их можно использовать для заказа канцелярских принадлежностей и т. д.);
• объясните, как вы определили минимальное и максимальное количество канцелярских принадлежностей, и поблагодарите всех за участие в исследовании потребностей офиса в канцтоварах;
• объясните, как будет работать новая система заказа канцелярских принадлежностей (раздайте схемы процесса или карты стандартизированной работы);
• расскажите о двух типах карточек канбан – стандартной и специальной;
• подойдя к шкафчику с канцелярскими принадлежностями, покажите, как будет работать новая система;
Прочитали книгу? Предлагаем вам поделится своим впечатлением! Ваш отзыв будет полезен читателям, которые еще только собираются познакомиться с произведением.
Уважаемые читатели, слушатели и просто посетители нашей библиотеки! Просим Вас придерживаться определенных правил при комментировании литературных произведений.
Просьба отказаться от дискриминационных высказываний. Мы защищаем право наших читателей свободно выражать свою точку зрения. Вместе с тем мы не терпим агрессии. На сайте запрещено оставлять комментарий, который содержит унизительные высказывания или призывы к насилию по отношению к отдельным лицам или группам людей на основании их расы, этнического происхождения, вероисповедания, недееспособности, пола, возраста, статуса ветерана, касты или сексуальной ориентации. Просьба отказаться от оскорблений, угроз и запугиваний. Просьба отказаться от нецензурной лексики. Просьба вести себя максимально корректно как по отношению к авторам, так и по отношению к другим читателям и их комментариям.
Надеемся на Ваше понимание и благоразумие. С уважением, администратор My-Books.me.
Оставить комментарий
-
Александра15 январь 09:37
Очень интересная книга! Особенно, если любишь психологию и хочешь понимать себя и других. Обязательно послушаю до конца. Спасибо....
Кригер Борис – Гнев
-
Галина25 май 13:02
Очень уважаю Артема Шейнина, книга замечательная, очень мне близкая по духу.Перечитываю уже второй раз, столько пережитого и не...
Мне повезло вернуться - Артем Шейнин
-
Екатерина11 январь 08:05
Доброе утро. Подскажите пожалуйста как сохранять книги, ставить закладки?...
Подонок - Анастасия Леманн
