» » » Максвелловская научная революция - Ринат Нугаев

Максвелловская научная революция - Ринат Нугаев

Книгу Максвелловская научная революция - Ринат Нугаев читаем онлайн бесплатно и без регистрации! Читать онлайн вы можете не только на компьютере, но и на андроид (Android), iPhone и iPad. Наслаждайтесь!

155 0 10:13, 26-05-2019
Максвелловская научная революция - Ринат Нугаев
26 май 2019
Автор: Ринат Нугаев Жанр: Книги / Домашняя Год публикации: 2014 Возрастные ограничения: (18+) Внимание! Аудиокнига может содержать контент только для совершеннолетних.
0 0

Книга Максвелловская научная революция - Ринат Нугаев читать онлайн бесплатно без регистрации

Описанная автором в предыдущих публикациях методологическая модель смены теорий применяется к максвелловской научной революции. Показано, что генезис максвелловской электродинамики может рассматриваться как закономерный результат согласования «старых» исследовательских программ, относившихся к домаксвелловской физике: электродинамики Ампера-Вебера, волновой теории света Юнга-Френеля и программы Фарадея. «Нейтральным языком», сконструированным Максвеллом для объективного сравнения выводов теорий из встретившихся программ и установления связей между ними, послужила механика сплошных сред с ее набором разнообразных аналоговых моделей – от трубок с несжимаемой жидкостью до молекулярных вихрей. Итогом взаимодействия встретившихся программ, ставшим возможным после создания этого «языка», явилось создание иерархии гибридных объектов – от т.н. «тока смещения» до обычных гибридных теоретических схем. Последовавшее, вслед за конструированием тока смещения, взаимопроникновение домаксвелловских исследовательских программ положило начало последовательному объединению теоретических схем оптики, электричества и магнетизма. Программа Максвелла превзошла программу Ампера-Вебера потому, что ассимилировала ряд положений ее твердого ядра, сочетав их с рядом идей Фарадея и оптики Юнга и Френеля. Утверждается, что ключевым звеном рассматриваемой таким образом максвелловской стратегии синтеза теорий оптики, электричества и магнетизма послужили идеи кантовской эпистемологии. Это позволило Максвеллу создать свою оригинальную методологию объединения, разработать и запустить собственную метапрограмму синтеза континентальной и британской исследовательских традиций рассмотрения электромагнитных явлений. Характер кантианской философии позволил выдвинуть в качестве объединяющего начала идею, носившую, в отличие от программы Ампера-Вебера, не «деревянный» онтологический, а гибкий, кантианский, антинатурфилософский, подчеркнуто эпистемологический характер. Для Максвелла последним «первокирпичиком» физической реальности был не эфир, из которого надо было тщательно конструировать как поля, так и заряды, и не непосредственное «действие на расстоянии». И это действие, и «несжимаемая жидкость», и «вихри в эфире» для него были лишь модельными представлениями, в лучшем случае способными лишь «навести» (inductio) на правильные математические соотношения. Генезис максвелловской электродинамики был гармонично встроен ее создателем в общий процесс деонтологизации, начавшийся в Новое время с отказа от аристотелевской онтологии. Творческое использование максвелловской методологии позволило Герману Гельмгольцу и его ученику – Генриху Герцу – прийти к такой версии теории Максвелла, которая послужила эвристическим ориентиром для открытия радиоволн.
1 ... 30 31 32 33 34 35 36 37 38 ... 45
Перейти на страницу:

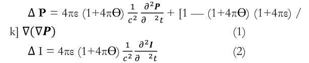
Исходя из описанных выше допущений, Гельмгольц успешно вывел обобщенные уравнения, во многом сходные с уравнениями Максвелла и показал, что в определенном предельном случае они переходят в максвелловские. Решив их для случая однородного диэлектрика, он пришел к следующим волновым уравнениям для векторов электрической и магнитной поляризации P и I (подробнее см. Smirnov-Rueda, 2001):


Максвелловская научная революция

Уравнения (1) – (2) имеют решения, описывающие поперечные волны, распространяющиеся со скоростью:


Максвелловская научная революция

Но уравнение (1) также содержит в качестве своего решения и продольные волны электрической поляризации, распространяющиеся со скоростью:


Максвелловская научная революция

В итоге основные результаты максвелловской электродинамики воспроизводятся в предельном переходе k=0.

Таким образом, в дополнение к обычным поперечным электромагнитным волнам, Гельмгольц обнаружил продольные электрические волны, распространяющиеся с бесконечной скоростью в максвелловском пределе k=0.

В дальнейшем, совместно со своими учениками американцем Генри Роуландом и русским физиком Николаем Шиллером, Гельмгольц провел в берлинском университете в 1873-78 гг. серию экспериментов по открытым токам. Для разрешения проблем, возникших в связи с этими экспериментами, Гельмгольц организовал в 1879 г. конкурс с премией за «экспериментальное упрочение любого отношения между электромагнитным действием и поляризацией диэлектриков» и уговорил одного из лучших своих студентов – Генриха Герца – принять в этом конкурсе участие.

Вот как Гельмгольц впоследствии вспоминал (в предисловии к герцевским «Принципам механики») обстоятельства этой проблемной ситуации, предварительно красочно описав «ставшее неуправляемым» положение, когда многочисленные «чрезвычайно сомнительные» теории Неймана, Римана, Грассмана, Клаузиуса и др. спорили друг с другом за объяснение многочисленных явлений электромагнетики: «Я пришел к следующему общему результату. Явления с полностью замкнутыми токами … могут быть одинаково хорошо выведены из любой упомянутой выше гипотезы… С другой стороны, выводы, следующие из них в случае неполностью замкнутых токов, значительно отличались друг от друга… Поэтому всякое расхождение между любой новой теорией и любым известным фактом в этой хорошо проторенной области должно вскорости привлечь внимание и использовано для опровержения этой теории.

Но на открытых концах незамкнутых проводников, между которыми расположены изолирующие массы, любое движение электричества вдоль длины проводника немедленно вызывает накопление электрических зарядов; это вызвано накоплением электричества, которое не может пробить себе дорогу через изолятор, находящийся между концами проводника. Между электричеством, накопленным на конце, и электричеством того же типа, которое растет против него, возникает сила отталкивания; и этой силе необходимо чрезвычайно короткое время для достижения такой величины, которая полностью сдерживает рассматриваемый поток электричества. Тогда рост прекращается; и через мгновение покоя снова начинается рост аккумуляции электричества в противоположном направлении» (Helmholtz 1899, pp. X – XI).

И в 1886—88 гг. Генрих Герц занялся в Карлсруэ – пригороде Берлина – исследованием соотношений между теориями Максвелла и Гельмгольца в новой серии экспериментов. Как впоследствии описывал истоки своих исследований сам Герц в статье «Силы электрических колебаний, рассматриваемые с точки зрения теории Максвелла»: «моя первоначальная интерпретация этих экспериментов основывалась на старых взглядах и частично пыталась объяснить эти феномены как возникающие из-за совместного действия электростатических и электромагнитных сил. Максвелловской теории в ее чистом виде подобное разделение чуждо» (Hertz [1889], 1893,p. 137).

Он наметил целую серию измерений, исходящих из гельмгольцевского разделения общей электрической силы на электростатическую и электродинамическую компоненты, распространяющиеся с принципиально отличными друг от друга скоростями. Согласно Герцу, «Общая сила может быть разделена на электростатическую и электродинамическую части; несомненно, что на коротких расстояниях преобладает и определяет направление действие общей силы первая компонента, а на длинных – вторая « (Hertz [1888], 1893, p. 110).

В соответствии с законом Кулона, электростатическая компонента должна быть пропорциональна обратному квадрату расстояния, в то время как электродинамическая компонента – только расстоянию в минус первой степени. В стандартном разделе классической электродинамики этой ситуации соответствует член, описывающий продольную компоненту электромагнитного поля, и член, описывающий поперечную, или радиационную компоненту.

Для проведения задуманной серии экспериментов необходимы были устройства, генерирующие электрические колебания, гораздо более быстрые по сравнению с уже существующими. Герцевские усилия и в этом отношении направлялись исследованиями Гельмгольца: «именно Гельмгольц в своей статье Ueber die Erhaltung der Kraft впервые установил (в 1847), что разряд лейденской банки носит осцилляторный характер» (Hertz [1890b],1893,p. 269).

Усилия Герца были, как известно, вознаграждены; он быстро продемонстрировал существование чрезвычайно быстро изменяющихся токов с сильным индуктивным действием через разрядную полость (Hertz, [1887]). Он также установил резонансное соотношение между первичной и вторичной электрической цепями в присутствии регулярных колебаний. Как впоследствии – в предисловии к первому сборнику своих статей – отмечал сам Генрих Герц, «вскоре после начала экспериментов я был поражен явной обратной связью между одновременными электрическими искрами… [Но] что меня особенно удивило, так это постоянное увеличение расстояния, на котором я мог воспринимать это действие; до этого общепринятые воззрения состояли в том, что электрические силы ослаблялись в соответствии с ньютоновским законом, и поэтому быстро стремились к нулю по мере роста расстояния» (Hertz, 1893, pp. 4,6).

Следующий важный шаг состоял в модификации и улучшении приемного устройства (вторичной цепи). Сделав это, Герц приступил к проблеме распространения колебаний в воздухе. В конце 1887 г. он наблюдал стоячие волны, образованные интерференцией колебаний, распространяющихся в воздухе и в медном проводе. Полученный результат – значительно отличающаяся от скорости света скорость наблюдавшихся колебаний, – сначала сильно озадачил Герца. Он вынужден был повторить свои эксперименты осенью 1888 г., используя значительно более короткие длины волн – порядка 30 см. Теперь уже разработанная техника позволила Герцу начать серию экспериментов по отражению, преломлению и поляризации радиоволн, наглядно раскрыв потрясающую аналогию между оптическим излучением и радиоволнами (Hertz, [1888b]).

1 ... 30 31 32 33 34 35 36 37 38 ... 45
Перейти на страницу:
  1. Жалоба
Отзывы - 0

Прочитали книгу? Предлагаем вам поделится своим впечатлением! Ваш отзыв будет полезен читателям, которые еще только собираются познакомиться с произведением.


Уважаемые читатели, слушатели и просто посетители нашей библиотеки! Просим Вас придерживаться определенных правил при комментировании литературных произведений.

Просьба отказаться от дискриминационных высказываний. Мы защищаем право наших читателей свободно выражать свою точку зрения. Вместе с тем мы не терпим агрессии. На сайте запрещено оставлять комментарий, который содержит унизительные высказывания или призывы к насилию по отношению к отдельным лицам или группам людей на основании их расы, этнического происхождения, вероисповедания, недееспособности, пола, возраста, статуса ветерана, касты или сексуальной ориентации. Просьба отказаться от оскорблений, угроз и запугиваний. Просьба отказаться от нецензурной лексики. Просьба вести себя максимально корректно как по отношению к авторам, так и по отношению к другим читателям и их комментариям.

Надеемся на Ваше понимание и благоразумие. С уважением, администратор My-Books.me.


Новые отзывы

  1. Александра Александра15 январь 09:37 Очень интересная книга! Особенно, если любишь психологию и хочешь понимать себя и других. Обязательно послушаю до конца. Спасибо.... Кригер Борис – Гнев
  2. Галина Галина25 май 13:02 Очень уважаю Артема Шейнина, книга замечательная, очень мне близкая по духу.Перечитываю уже второй раз, столько пережитого и не... Мне повезло вернуться - Артем Шейнин
  3. Екатерина Екатерина11 январь 08:05 Доброе утро. Подскажите пожалуйста как сохранять книги, ставить закладки?... Подонок - Анастасия Леманн
Все комметарии
Новинки бесплатной онлайн библиотеки