» » » Нереальная реальность. Путешествие по квантовой петле - Карло Ровелли

Нереальная реальность. Путешествие по квантовой петле - Карло Ровелли

Книгу Нереальная реальность. Путешествие по квантовой петле - Карло Ровелли читаем онлайн бесплатно и без регистрации! Читать онлайн вы можете не только на компьютере, но и на андроид (Android), iPhone и iPad. Наслаждайтесь!

356 0 09:00, 09-12-2019
Нереальная реальность. Путешествие по квантовой петле - Карло Ровелли
09 декабрь 2019
Автор: Карло Ровелли Жанр: Книги / Домашняя Год публикации: 2020 Возрастные ограничения: (18+) Внимание! Аудиокнига может содержать контент только для совершеннолетних.
0 0

Книга Нереальная реальность. Путешествие по квантовой петле - Карло Ровелли читать онлайн бесплатно без регистрации

«Карло Ровелли – это человек, который сделал физику сексуальной, ученый, которого мы называем следующим Стивеном Хокингом». – The Times MagazineЧто есть время и пространство? Откуда берется материя? Что такое реальность?«Главный парадокс науки состоит в том, что, открывая нам твердые и надежные знания о природе, она в то же время стремительно меняет ею же созданные представления о реальности. Эта парадоксальность как нельзя лучше отражена в книге Карло Ровелли, которая посвящена самой острой проблеме современной фундаментальной физики – поискам квантовой теории гравитации.Упоминание этого названия многие слышали в сериале “Теория Большого взрыва”, но узнать, в чем смысл петлевой гравитации, было почти негде. А между тем эта теория – один из важных игроков на переднем крае фундаментальной физики». – Александр Сергеев, сооснователь, автор заданий и завлаб проекта «Открытая лабораторная»
1 ... 29 30 31 32 33 34 35 36 37 ... 56
Перейти на страницу:

Это рассуждение можно сделать более точным, если добавить немного математики. Общий вывод: из совместного применения квантовой механики и общей теории относительности вытекает, что существует предел для делимости пространства. Масштабы меньше некоторого значения нам недоступны. Если точнее, там ничего не существует.

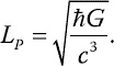
Насколько мала эта минимальная область пространства? Подсчитать несложно: нужно вычислить минимальный размер частицы перед ее падением в собственную черную дыру, и делается это вполне очевидным способом. Минимальная длина составляет около


Нереальная реальность. Путешествие по квантовой петле

Под знаком квадратного корня располагаются три фундаментальные константы: ньютоновская постоянная тяготения G, обсуждавшаяся в главе 2, которая задает силу гравитации; скорость света c, введенная в главе 3 при рассмотрении теории относительности, которая открывает нам расширенное настоящее; и, наконец, постоянная Планка h, с которой мы познакомились в главе 4, определяющая масштаб квантовой зернистости[86]. Присутствие этих трех констант подтверждает тот факт, что мы ищем нечто, связанное с гравитацией (G), теорией относительности (c) и квантовой механикой (h).

Расстояние LP, определенное таким образом, называется планковской длиной. По справедливости следовало бы называть ее бронштейновской, но таков уж наш мир. Ее численное значение составляет примерно одну миллионную миллиардной миллиардной миллиардной доли сантиметра (10–33 см). Так что она весьма мала.

Именно в таком экстремально малом масштабе проявляет себя квантовая гравитация. Чтобы получить представление, насколько мала обсуждаемая величина, представьте себе, что мы увеличили скорлупку грецкого ореха до размеров всей видимой Вселенной; но даже в таком масштабе планковская длина все еще не будет видна. Даже после такого колоссального увеличения она будет в миллион раз меньше ореха до увеличения. В этом масштабе пространство и время меняют свою природу. Они становятся чем-то совершенно иным – квантовыми пространством и временем, и понять, что это значит, довольно трудно.

Матвей Бронштейн понял все это в 1930-х годах и написал две короткие, но очень ясные статьи, в которых отмечал, что квантовая механика и общая теория относительности при совместном использовании несовместимы с нашим привычным представлением о пространстве как о бесконечно делимом континууме[87].

Вскоре, однако, возникла проблема. Матвей и Лев были искренними коммунистами. Они верили в революционное освобождение человечества, построение принципиально лучшего общества без несправедливости и без колоссального неравенства, которые, как мы видим, постоянно растут в мире. Они были твердыми последователями Ленина. Когда Сталин пришел к власти, это вызвало у них сначала растерянность, потом критическое отношение, затем враждебность. Они писали статьи, которые были умеренными, но открыто критичными… Это был не тот коммунизм, которого они хотели…

То были суровые времена. Ландау прошел через них; это было нелегко, но он выжил. Матвей же через год после того, как первым понял, что наши представления о пространстве и времени следует радикальным образом изменить, был арестован сталинскими спецслужбами и приговорен к смерти. Казнь состоялась в день вынесения приговора, 18 февраля 1938 года[88]. Ему было всего 30 лет.

Джон

После безвременной кончины Матвея Бронштейна многие замечательные физики пытались разрешить загадку квантовой гравитации. Дирак посвятил этой проблеме последние годы своей жизни, открывая новые направления и вводя идеи и приемы, на которых строится значительная часть современных исследований в области квантовой гравитации. Именно благодаря этим приемам мы сегодня знаем, как описывать мир без времени, и в дальнейшем я об этом еще расскажу. Фейнман пытался адаптировать к общей теории относительности приемы, которые он разработал для электронов и протонов, но безуспешно: электроны и протоны – это кванты в пространстве, а квантовая гравитация – это нечто иное: недостаточно описать «гравитоны», движущиеся в пространстве, квантоваться должно само пространство.

Несколько Нобелевских премий были присуждены физикам, которым в ходе попыток распутать головоломку квантовой гравитации удалось почти по ошибке справиться с другими проблемами. Два голландских физика – Герард т’Хоофт и Мартинус Велтман – получили Нобелевскую премию в 1999 году за демонстрацию непротиворечивости теорий, которые используются сегодня для описания ядерных сил – части Стандартной модели, – но их исследовательская программа в действительности была нацелена на демонстрацию непротиворечивости теории квантовой гравитации. Их работа над теориями остальных сил была лишь подготовительным этапом. Этот «подготовительный этап» принес им Нобелевскую премию, но они не добились успеха в демонстрации непротиворечивости своей версии квантовой гравитации.

Если продолжить этот список, он станет похож на «доску почета» выдающихся физиков-теоретиков столетия. Или же перечень их неудач. Лишь постепенно, на протяжении десятилетий, идеи прояснялись, а тупиковые направления исследовались и закрывались; прояснялись технические приемы и общие идеи, начинали появляться результаты, выводимые один из другого. Чтобы только упомянуть здесь всех ученых, сделавших вклад в постепенное коллективное выстраивание этого направления науки, нам пришлось бы составить огромный список имен, в котором каждый добавил в общую работу свой камешек или булыжник.

Я бы хотел упомянуть только одного из них – того, кто много лет объединял различные направления этого коллективного исследования: замечательного, вечно молодого англичанина, философа и физика в одном лице – Криса Айшема. Именно читая его статью с обзором темы квантовой гравитации, я влюбился в эту проблему. Статья, по сути, объясняла, почему проблема столь сложна, как должны измениться наши представления о пространстве и времени, и давала четкий обзор всех путей, которые прослеживались на тот момент, с упоминанием достигнутых результатов и выявленных трудностей. Я был тогда студентом третьего курса, и возможность с нуля переосмыслить пространство и время привела меня в восхищение. Это восхищение с тех пор не ослабевало. И, как сказано в сонете Петрарки, «рана не проходит, когда теряет силу тетива»[89].

1 ... 29 30 31 32 33 34 35 36 37 ... 56
Перейти на страницу:
  1. Жалоба
Отзывы - 0

Прочитали книгу? Предлагаем вам поделится своим впечатлением! Ваш отзыв будет полезен читателям, которые еще только собираются познакомиться с произведением.


Уважаемые читатели, слушатели и просто посетители нашей библиотеки! Просим Вас придерживаться определенных правил при комментировании литературных произведений.

Просьба отказаться от дискриминационных высказываний. Мы защищаем право наших читателей свободно выражать свою точку зрения. Вместе с тем мы не терпим агрессии. На сайте запрещено оставлять комментарий, который содержит унизительные высказывания или призывы к насилию по отношению к отдельным лицам или группам людей на основании их расы, этнического происхождения, вероисповедания, недееспособности, пола, возраста, статуса ветерана, касты или сексуальной ориентации. Просьба отказаться от оскорблений, угроз и запугиваний. Просьба отказаться от нецензурной лексики. Просьба вести себя максимально корректно как по отношению к авторам, так и по отношению к другим читателям и их комментариям.

Надеемся на Ваше понимание и благоразумие. С уважением, администратор My-Books.me.


Новые отзывы

  1. Александра Александра15 январь 09:37 Очень интересная книга! Особенно, если любишь психологию и хочешь понимать себя и других. Обязательно послушаю до конца. Спасибо.... Кригер Борис – Гнев
  2. Галина Галина25 май 13:02 Очень уважаю Артема Шейнина, книга замечательная, очень мне близкая по духу.Перечитываю уже второй раз, столько пережитого и не... Мне повезло вернуться - Артем Шейнин
  3. Екатерина Екатерина11 январь 08:05 Доброе утро. Подскажите пожалуйста как сохранять книги, ставить закладки?... Подонок - Анастасия Леманн
Все комметарии
Новинки бесплатной онлайн библиотеки