На волне Вселенной. Шрёдингер. Квантовые парадоксы - Давид Бланко Ласерна
Книгу На волне Вселенной. Шрёдингер. Квантовые парадоксы - Давид Бланко Ласерна читаем онлайн бесплатно и без регистрации! Читать онлайн вы можете не только на компьютере, но и на андроид (Android), iPhone и iPad. Наслаждайтесь!
185 0 11:31, 26-05-2019Книга На волне Вселенной. Шрёдингер. Квантовые парадоксы - Давид Бланко Ласерна читать онлайн бесплатно без регистрации
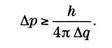
Гейзенберг сделал следующий вывод: «Чем точнее определено положение, тем меньше мы можем сказать в этот момент об импульсе, и наоборот». Предложенное им уравнение позволяет играть с этими нечеткостями. Как только какое-либо значение присваивается Δq, Δр вынуждено соответствовать условию:

Когда Δq стремится к нулю, знаменатель очень быстро уменьшается, что устремляет Δр в бесконечность. Знать точное положение — игнорировать все, что касается импульса. На макроскопическом уровне, где h невозможно обнаружить, уравнение вводит нас в привычную ситуацию, когда q и р определены одновременно с желаемой точностью:
h → 0; Δq • Δp => 0; сравнимо с Δq - Δр - 0.
Принцип неопределенности Гейзенберга работает как качели, на которых то взмывают вверх, то опускаются «ниже уровня радара» волновые и корпускулярные свойства квантовых сущностей. Чем сильнее Aq уменьшается, тем лучше мы можем наблюдать частицы. Напротив, уменьшение р отправляет нас к волне, положение которой не может быть определено, но ее скорость v — четко определена (см. рисунок). Таким образом, каждый из элементов квантового мира меняется исходя из того, откуда на него устремлен взгляд наблюдателя.

Некоторые физики решили, что принцип неопределенности ставит под сомнение их квалификацию экспериментаторов, и принялись ставить опыты, определяющие положение и импульс, нарушая при этом установленные ограничения. Выдвинул свои аргументы против такого субъективного аспекта квантовой теории и Эйнштейн.
Однако все возражения потерпели неудачу.
Чтобы вычислить траекторию объекта, необходимо знать всего лишь две его характеристики: положение в определенный момент и импульс, указывающий направление, в котором объект перемещается. Отношения неопределенностей не связаны с траекториями и, таким образом, помогают воплотить давнюю мечту Гейзенберга, которая появилась у него еще на Гельголанде. Тогда физик предупреждал: «Я все силы отдам уничтожению понятия орбиты». Такая решимость пугала Эйнштейна, общая теория относительности которого основывалась на расчете траекторий в пространстве, в четырех измерениях. Но идеи Гейзенберга угрожали не только траекториям. В своей статье от 1927 года ученый пришел к выводу: «На самом деле, однако, в жесткой формулировке закона причинности, гласящей: «Если мы точно знаем настоящее, мы можем вычислить будущее», ложной является не вторая часть, а предпосылка. Мы принципиально не можем узнать настоящее во всех деталях». Это незнание подрывает нашу способность к предвидению. Разрыв связи между настоящим и ближайшим будущем, вычисленным благодаря знанию и положения, и импульса, повлек крах классической физики. Конечно, эта невозможность существовала в науке и ранее. Она ощущалась во всех теориях, касавшихся как атомов и молекул, так и определения положения и импульса мириада классических объектов. Однако этот провал закона причинности связан с человеческим несовершенством, а не с действием объективного природного механизма.
Отношения неопределенностей кроются в самых дальних уголках атомной физики и немного напоминают алеф Борхеса: они одновременно и отражение мира, и его центр, они облегчают интуитивное понимание самых разных ситуаций. Если электрон сталкивается с ядром, его положение известно, однако в связи с этим он приобретает огромное ускорение и, следовательно, тут же отдаляется от ядра. Ограничения на скорость накладывает только теория относительности. Если средняя скорость равна 1% скорости света, то отношения Гейзенберга предписывают электрону пространственную неопределенность, равную размеру детской игровой площадки. Именно таким образом неопределенность заботится о равновесии материи.
Таинственный кот
Операционные основы квантовой механики были представлены в 1920-х годах.
Век спустя полемика о ее смысле все еще не утихла. Шрёдингер стал одним из первых, кто попытался объяснить абсурдные аспекты этой теории. Для этого он предложил мысленный эксперимент, в котором кот был приговорен к самой парадоксальной из смертей.
Так родился один из символов физики — кот Шрёдингера.
Австрия, встретившая Эрвина и Аннемари, очень отличалась от той страны, которую они покинули в 1920-х годах. Грац превратился в рассадник нацистов, и Шрёдингер каждый день наблюдал такие же сцены, как и те, которые немногим ранее приводили его в ужас в Берлине. В 1933 году в республике сменилась власть, и к прибытию Шрёдингеров здесь уже был установлен тоталитарный фашистский режим.
Первое время Эрвину и Аннемари удалось укрыться от окружающего мира, посвятив себя устройству семейного гнезда. Шрёдингер начал перепланировку и переделал второй этаж их нового жилья в квартиру, где устроились Рут и Хильда, тогда как Артур Марх оставался в Инсбруке. Удивительно, но такая совместная жизнь шла только на пользу отношениям между Эрвином и Аннемари, которая обожала малышку. Однако вскоре идиллию смел ураган.
В марте 1938 года, вследствие борьбы между Италией и Германией, Австрия уступила давлению Адольфа Гитлера и была присоединена к Третьему рейху. Толпы людей с энтузиазмом скандировали лозунг: «Одна нация — одно государство». Антисемиты сразу же начали совершать акты вандализма. Писатель Карл Цукмайер, сценарист фильма «Голубой ангел» (1930), присутствовал при том, что он назвал открытием «врат ада». Евреи были ограблены, уволены, публично унижены, ущемлены в правах. В это же время Ганс Тирринг был лишен поста директора Института теоретической физики при Венском университете. Скорость происходящего ошеломила Шрё- дингера, и он заставил себя сделать несколько па в дипломатическом вальсе. Ученый выразил свое согласие с националистической доктриной в письме под названием Confession аи Fuhrer {«Признание фюрера»), опубликованном в газетах, и это повредило его репутации, особенно среди изгнанников. Сейчас трудно сказать, какими были его истинные намерения в той взрывоопасной ситуации. Послание Шрёдингера было прочитано, его дом окружила толпа, ему задавали неприятные вопросы. Гибель была совсем рядом. Друзья ученого посчитали, что письмо он написал чуть ли не под диктовку с пистолетом у виска. Но более вероятно, что ученый в это время просто решил пойти по тому же пути, что и Гейзенберг, пытавшийся ужиться с нацистским режимом. Эту версию Шрёдингер сам представил позже Эйнштейну:
«В министерстве я сказал начальнику департамента: «Если вы мне дадите ружье, я буду счастлив защищаться, но не оставляйте меня заложником в нацистском Гарце». Представьте, что я почувствовал, едва прошло несколько недель после погрома, когда увидел подпись этого человека на приказах нового министра. Я надеюсь, что вы не слишком строго осудили мое последующее заявление, хотя оно было очевидно подлым. Я хотел сохранить свою свободу... А это было невозможно без компромисса».
Прочитали книгу? Предлагаем вам поделится своим впечатлением! Ваш отзыв будет полезен читателям, которые еще только собираются познакомиться с произведением.
Уважаемые читатели, слушатели и просто посетители нашей библиотеки! Просим Вас придерживаться определенных правил при комментировании литературных произведений.
Просьба отказаться от дискриминационных высказываний. Мы защищаем право наших читателей свободно выражать свою точку зрения. Вместе с тем мы не терпим агрессии. На сайте запрещено оставлять комментарий, который содержит унизительные высказывания или призывы к насилию по отношению к отдельным лицам или группам людей на основании их расы, этнического происхождения, вероисповедания, недееспособности, пола, возраста, статуса ветерана, касты или сексуальной ориентации. Просьба отказаться от оскорблений, угроз и запугиваний. Просьба отказаться от нецензурной лексики. Просьба вести себя максимально корректно как по отношению к авторам, так и по отношению к другим читателям и их комментариям.
Надеемся на Ваше понимание и благоразумие. С уважением, администратор My-Books.me.
Оставить комментарий
-
Александра15 январь 09:37
Очень интересная книга! Особенно, если любишь психологию и хочешь понимать себя и других. Обязательно послушаю до конца. Спасибо....
Кригер Борис – Гнев
-
Галина25 май 13:02
Очень уважаю Артема Шейнина, книга замечательная, очень мне близкая по духу.Перечитываю уже второй раз, столько пережитого и не...
Мне повезло вернуться - Артем Шейнин
-
Екатерина11 январь 08:05
Доброе утро. Подскажите пожалуйста как сохранять книги, ставить закладки?...
Подонок - Анастасия Леманн