Лорд Кельвин. Классическая термодинамика - Антонио М. Лальена Рохо
Книгу Лорд Кельвин. Классическая термодинамика - Антонио М. Лальена Рохо читаем онлайн бесплатно и без регистрации! Читать онлайн вы можете не только на компьютере, но и на андроид (Android), iPhone и iPad. Наслаждайтесь!
157 0 09:46, 26-05-2019Книга Лорд Кельвин. Классическая термодинамика - Антонио М. Лальена Рохо читать онлайн бесплатно без регистрации
«В течение 18 лет меня беспокоила мысль о том, что основные принципы термодинамики игнорируются этими геологами, которым они упорно противопоставляют всяческие безумные гипотезы. Они утверждают не только то, что сейчас перед нами на Земле происходят примеры всевозможных действий, из-за которых ее оболочка менялась на протяжении геологической истории, но и что эти действия в целом никогда не были более интенсивными, чем сейчас».
Другой пример едкой дискуссии мы видим в разговоре Томсона с шотландским геологом Эндрю Рамзаем в 1867 году. На его утверждение - «Я не могу оценить и понять причин, по которым вы, физики, ограничиваете геологическое время, так как вы не способны понять геологических причин наших ограничительных оценок» — Томсон ответил: «Ты сможешь понять рассуждение физиков, если начнешь над этим думать».
Согласно модели Томсона, Земля образовалась в результате застывания некоторого количества расплавленного материала. После застывания у системы должна была быть однородная начальная температура, и она должна была находиться в среде, поддерживавшей на поверхности Земли постоянную температуру. Томсон предположил, что дополнительные источники тепла отсутствовали, и рассмотрел систему, используя уравнение распространения тепла в твердых телах, которое за несколько лет до этого разработал Фурье и с которым Томсон был хорошо знаком с молодых лет. При таких обстоятельствах температура в любой точке земного объема зависела только от расстояния от этой точки до поверхности и от времени, пройденного от начального состояния. Решая уравнение Фурье, ученый нашел отношение между временем, пройденным от начала, начальной температурой системы, температурным градиентом на поверхности и константой, которая называется термодиффузией. Этих величин было достаточно, чтобы оценить возраст Земли.
На тот момент Томсон не располагал достаточным количеством экспериментальных данных для проведения необходимых расчетов и определения возраста Земли, так что он начал измерять температурный градиент на земной поверхности, проводимость различных пород и так далее. Через несколько лет, когда ученый представил Эдинбургскому королевскому обществу свою работу «О вековом охлаждении Земли», у него уже была информация, необходимая для таких расчетов. Он рассматривал средний температурный градиент земной поверхности около 35 °с/км; для термодиффузии он предложил значение порядка 10-6 м2 с-1 и оценил начальную температуру Земли примерно в 4000 °С, что было равно температуре плавления некоторых пород. При таких значениях было установлено, что возраст Земли равен 130 миллионам лет.

Томсон (в центре) с физиком Николсом и дипломатом Шурманом в Корнелльском университете, США.

Томсон с супругой в день обретения ученым дворянского титула. Фотография 1892 года.

Томсон и его супруга на железнодорожном заводе.
РАСЧЕТ ТОМСОНА
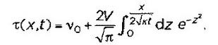
Условия, взятые Томсоном за основу для осуществления расчетов о возрасте Земли, позволили ему рассматривать очень простую модель, схематически представленную на рисунке. Земля после образования имела однородную температуру Т0 и взаимодействовала со средой с постоянной температурой Тсреда. Первым шагом был расчет температуры τ(х, t) в любой точке земного объема, расположенной на расстоянии х от поверхности по истечении времени t от начального момента. Для этого Томсону нужно было только решить уравнение теплопроводности Фурье
∂τ(x,t)/∂t = κ · ∂2τ(x,t)/∂x2,
где κ — термодиффузия. Томсон предложил в качестве решения этого уравнения функцию
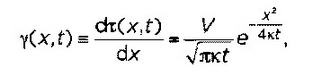
Здесь ν0 = (T0 + Тсреда)/2, а V = (Т0 - Тсреда)/2. Простой расчет позволяет проверить, что это решение действительно удовлетворяет дифференциальному уравнению. Кроме того, видно, что при начальном состоянии, t = 0, все внутренние точки земного объема (то есть при х > 0, справа от земной поверхности на рисунке) имеют температуру T0, а все внешние относительно Земли точки (то есть при х < 0, слева от земной поверхности на рисунке) имеют температуру Тсреда. Таким образом, можно вычислить температурный градиент, γ(x, t), в любой точке, то есть коэффициент изменения температуры в этой точке на единицу длины, перпендикулярной плоскости поверхности, который будет равен
а на земной поверхности, то есть для х = 0, он равен
γ(0,t) = V/√(πκt)
Если выделить t в этом уравнении и учитывать, что поскольку T0 (порядка нескольких тысяч °С) намного больше Tсреда (порядка нескольких десятков °С), V ~ Т0, то получается
Теперь достаточно подставить значения, указанные в тексте (κ = 10-6 м2 с-1, T0 = 4000 °С и γ(0, t) = 35 °С/км), чтобы получить для t 130 миллионов лет, предложенные Томсоном.
На самом деле Томсон определил диапазон от нескольких десятков до нескольких сотен миллионов лет, поскольку учел возможные погрешности экспериментальных данных, использованных для расчета. Через некоторое время он пересмотрел свои вычисления и свел оценку к 20 миллионам лет.
...НО ОШИБСЯ
Томсон доверял своей оценке возраста Земли в свете другого результата, который он сам получил немного ранее. Это очень важно для науки, поскольку если один и тот же результат можно найти двумя различными способами, не связанными между собой, достоверность этого результата растет. Воспроизводимость научных результатов - один из столпов, на которых основывается наука, и обязательный элемент ее развития.
Прочитали книгу? Предлагаем вам поделится своим впечатлением! Ваш отзыв будет полезен читателям, которые еще только собираются познакомиться с произведением.
Уважаемые читатели, слушатели и просто посетители нашей библиотеки! Просим Вас придерживаться определенных правил при комментировании литературных произведений.
Просьба отказаться от дискриминационных высказываний. Мы защищаем право наших читателей свободно выражать свою точку зрения. Вместе с тем мы не терпим агрессии. На сайте запрещено оставлять комментарий, который содержит унизительные высказывания или призывы к насилию по отношению к отдельным лицам или группам людей на основании их расы, этнического происхождения, вероисповедания, недееспособности, пола, возраста, статуса ветерана, касты или сексуальной ориентации. Просьба отказаться от оскорблений, угроз и запугиваний. Просьба отказаться от нецензурной лексики. Просьба вести себя максимально корректно как по отношению к авторам, так и по отношению к другим читателям и их комментариям.
Надеемся на Ваше понимание и благоразумие. С уважением, администратор My-Books.me.
Оставить комментарий
-
Александра15 январь 09:37
Очень интересная книга! Особенно, если любишь психологию и хочешь понимать себя и других. Обязательно послушаю до конца. Спасибо....
Кригер Борис – Гнев
-
Галина25 май 13:02
Очень уважаю Артема Шейнина, книга замечательная, очень мне близкая по духу.Перечитываю уже второй раз, столько пережитого и не...
Мне повезло вернуться - Артем Шейнин
-
Екатерина11 январь 08:05
Доброе утро. Подскажите пожалуйста как сохранять книги, ставить закладки?...
Подонок - Анастасия Леманн