» » » Жизнь замечательных веществ - Аркадий Курамшин

Жизнь замечательных веществ - Аркадий Курамшин

Книгу Жизнь замечательных веществ - Аркадий Курамшин читаем онлайн бесплатно и без регистрации! Читать онлайн вы можете не только на компьютере, но и на андроид (Android), iPhone и iPad. Наслаждайтесь!

207 0 09:47, 26-05-2019
Жизнь замечательных веществ - Аркадий Курамшин
26 май 2019
Автор: Аркадий Курамшин Жанр: Книги / Домашняя Год публикации: 2017 Возрастные ограничения: (18+) Внимание! Аудиокнига может содержать контент только для совершеннолетних.
0 0

Книга Жизнь замечательных веществ - Аркадий Курамшин читать онлайн бесплатно без регистрации

Как жить в мире, приметой которого стали книжки-советы из серии «Как убрать дом без химии», где авторы рекомендуют пользоваться содой, уксусом и лимонной кислотой, самыми что ни на есть продуктами крупнотоннажного химического производства? Насколько верно утверждение: «Чем опаснее химическое вещество, тем сложнее его название»? (Спойлер: ни насколько, иначе бы хлор для человеческого организма был бы безопаснее, чем собственная ДНК). Сегодня в российской, и в международной инфосфере мы сталкиваемся с огромным количеством легенд и страшных историй на ночь, связанных с химией. Как-то так произошло, что химия стала вызывать опасение и страх, расцвёл иррациональный страх перед всем «химическим» – хемофобия. Однако настоящие истории, связанные с открытием химических веществ, обнаружением их полезных свойств, гораздо интереснее придуманных легенд. К тому же, они смогут избавить читателя от иррационального страха перед всем химическим, заинтересовать химией и сделать так, чтобы все больше и больше людей перестали бы воспринимать эту науку как что-то опасное.
1 2 3 4 5 6 7 8
Перейти на страницу:
Ознакомительный фрагмент


Свою роль случайности сыграли и при разработке химических процессов, связанных с фотографией. К 1835 году француз Луи Дагер разработал такое светочувствительное устройство, как покрытая серебром и обработанная парами йода медная пластина. Дагер подверг пластинку действию света и положил её на шкаф, а когда через некоторое время он вернулся к ней, на пластинке проявилось изображение. Расследование показало, что в шкафу лежал разбитый ртутный термометр, и пары ртути проявили изображение.


Жизнь замечательных веществ

В 1837 году Дагер запатентовал фотографическую систему, получившую название «дагеротип», для получения изображения с помощью которой необходимо было подвергнуть металлическую пластинку воздействию света, обработать пластинку парами ртути и закрепить его соленой водой. Метод Дагера, ставший началом современной фотографии, был небезопасен для здоровья, долог и трудоемок, но по тем временам дагеротипы были прорывом в области создания изображений.


Благодаря счастливой случайности был открыт и состав нержавеющей стали. Примерно в 1910 году британский металлург Гарри Брирли (Harry Brearley) пытался создать новый сплав для ружейных стволов, способный выдержать стрельбу патронами большей мощности, однако каждый из образцов полученных сплавов проваливал тесты, не обладая достаточной прочностью, и Брирли свалил все неудачные образцы в сыром углу своей лаборатории, где те лежали и ржавели.


Жизнь замечательных веществ

В один прекрасный день, глядя на плоды своих неудачных экспериментов, Брирли с удивлением обнаружил, что один образец так и не был тронут ржавчиной. Металлург взял этот кусок сплава и проанализировал его – это был первый образец нержавеющей стали. Обратив конфузию в викторию, Брирли, не получивший господдержки на производство оружейной стали, быстро сориентировался и скооперировался с производителем посуды, получив подряд на изготовление материала для столовых приборов. В наши дни мы настолько привыкли к столовым приборам из нержавейки, что даже не можем оценить, каких огромных усилий и какого везения стоило Брирли его изобретение.

Хотя к концу ХIХ века химия накопила достаточное количество теорий и обобщений, чтобы посматривать на своего предка – алхимию – с легким пренебрежением и чувством собственного превосходства, случайные открытия не прекратились, а можно даже сказать, что участились.

Так, до целенаправленной разработки и открытия компанией NutraSweet подсластителя неотама (Е-961) в 2002 году каждый из подсластителей-заменителей сахара находили неожиданно – если кто-то случайно пробовал на вкус какое-то вещество.


Жизнь замечательных веществ

Неотам


Очевидно, что первооткрывателем первого сахарозаменителя был какой-то римский винодел, обнаруживший сладкий вкус белых кристаллов, образующихся в результате воздействия на свинец уксуса. Однако первый в истории сахарозаменитель – ацетат свинца или свинцовый сахар – сыграл дурную роль для Рима: римляне не знали о токсичности и тератогенности соединений свинца (собственно говоря, они не имели и понятия о том, что такое «тератогенность»), и помимо социальных процессов Рим подкосила в том числе и практика сластить вино свинцовым сахаром, вызывавшая хронические отравления свинцом.


Жизнь замечательных веществ

Сахарин


Практика обнаружения подсластителей «на вкус» была продолжена в 19 веке Константином Фальбергом, тогда работавшим в лаборатории Айры Ремзена. После долгого дня, проведенного в лаборатории над синтезом производных толуола, Фальберг отправился обедать, не помыв руки.


Жизнь замечательных веществ

Взяв хлеб этими самыми немытыми руками, Фальберг обнаружил, что этот хлеб необычно сладок на вкус, и связал это с остатками вещества на своих руках. Вместе с Ремзеном Фальберг очистил сладкое вещество, которым были загрязнены его руки, и написал статью «Об окислении орто-толуолсульфонимида». Спустя несколько лет Фальберг оптимизировал условия синтеза, запатентовал его и начал промышленное производство сахарина, уже не включив Ремзена в соавторы и патентообладатели. Именно с того момента началась история сахарина, который известен ещё и тем, что это первый продукт, продававшийся компанией «Монсанто».


Жизнь замечательных веществ

Синтез сахарина по Ремзену – Фальбергу


Жизнь замечательных веществ

Аспартам


Спустя почти столетие почти по такому же сценарию произошло открытие очередного сахарозаменителя – аспартама, сделанное Джеймсом Шлаттером.


Жизнь замечательных веществ

В процессе синтеза гормона гастрина содержимое колбы с метанольным раствором аспартама пролилось Шлаттеру на руки, однако он как ни в чем не бывало продолжил работу. Чуть позже ему потребовался кусочек бумаги. Чтобы подхватить кусочек бумаги, Шлаттер облизнул пальцы и почувствовал сладкий вкус. Первая мысль Шлаттера была о том, что ему на руки попал сахар, однако он быстро сообразил, что дело в аспартаме.


Жизнь замечательных веществ

Сукралоза


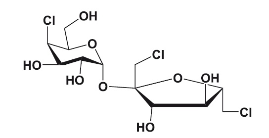
Ну и совсем уже анекдотический случай произошел при обнаружении сукралозы. Аспирант Шашикант Пхандис (Shashikant Phadnis) получил хлорированную сахарозу в рамках проекта по разработке новых пестицидов, и его научный руководитель Лесли Хью (Leslie Hough) дал ему задание протестировать препарат (test), однако шотландский акцент Хью и неродной для Пхандиса английский привели к тому, что аспирант понял, что шеф требует от него попробовать новое вещество на вкус (taste), что он тут же и сделал, сунув небольшую порцию порошка прямо в рот, и сообщил шефу о сладком вкусе. На следующее утро, убедившись в том, что за ночь с аспирантом ничего не случилось, Хью и сам добавил сукралозу в кофе.

Вообще химики ничуть не отстают от врачей-подвижников, которые, чтобы доказать безопасность и эффективность вакцинации, в первую очередь делали прививки от смертельных болезней. Даже в ХХ веке, спустя полтора столетия после смерти Шееле, описавшего вкус синильной кислоты, находились люди, испытывавшие результаты своих экспериментов на себе.

1 2 3 4 5 6 7 8
Перейти на страницу:
  1. Жалоба
Отзывы - 0

Прочитали книгу? Предлагаем вам поделится своим впечатлением! Ваш отзыв будет полезен читателям, которые еще только собираются познакомиться с произведением.


Уважаемые читатели, слушатели и просто посетители нашей библиотеки! Просим Вас придерживаться определенных правил при комментировании литературных произведений.

Просьба отказаться от дискриминационных высказываний. Мы защищаем право наших читателей свободно выражать свою точку зрения. Вместе с тем мы не терпим агрессии. На сайте запрещено оставлять комментарий, который содержит унизительные высказывания или призывы к насилию по отношению к отдельным лицам или группам людей на основании их расы, этнического происхождения, вероисповедания, недееспособности, пола, возраста, статуса ветерана, касты или сексуальной ориентации. Просьба отказаться от оскорблений, угроз и запугиваний. Просьба отказаться от нецензурной лексики. Просьба вести себя максимально корректно как по отношению к авторам, так и по отношению к другим читателям и их комментариям.

Надеемся на Ваше понимание и благоразумие. С уважением, администратор My-Books.me.


Новые отзывы

  1. Александра Александра15 январь 09:37 Очень интересная книга! Особенно, если любишь психологию и хочешь понимать себя и других. Обязательно послушаю до конца. Спасибо.... Кригер Борис – Гнев
  2. Галина Галина25 май 13:02 Очень уважаю Артема Шейнина, книга замечательная, очень мне близкая по духу.Перечитываю уже второй раз, столько пережитого и не... Мне повезло вернуться - Артем Шейнин
  3. Екатерина Екатерина11 январь 08:05 Доброе утро. Подскажите пожалуйста как сохранять книги, ставить закладки?... Подонок - Анастасия Леманн
Все комметарии
Новинки бесплатной онлайн библиотеки