Стратегии решения математических задач. Различные подходы к типовым задачам - Альфред Позаментье
Книгу Стратегии решения математических задач. Различные подходы к типовым задачам - Альфред Позаментье читаем онлайн бесплатно и без регистрации! Читать онлайн вы можете не только на компьютере, но и на андроид (Android), iPhone и iPad. Наслаждайтесь!
292 0 17:56, 25-05-2019Книга Стратегии решения математических задач. Различные подходы к типовым задачам - Альфред Позаментье читать онлайн бесплатно без регистрации
1. Логическое рассуждение.
2. Распознавание закономерности.
3. Действие от обратного.
4. Принятие другой точки зрения.
5. Анализ экстремальных ситуаций.
6. Решение более простой аналогичной задачи.
7. Организация данных.
8. Схематичное изображение, или визуальное представление.
9. Учет всех возможностей.
10. Обоснованное предположение и проверка.
Как мы уже говорили, редко когда задачу можно решить единственным способом. Решение, которое мы демонстрируем, представляет собой всего лишь один иллюстративный пример. Мы предлагаем читателю попытаться найти другие решения, возможно, более интересные и необычные. Если это вам удастся, мы скажем, что вы молодец! Кроме того, в некоторых случаях, когда доступно несколько стратегий, можно с разным успехом использовать их сочетания.
Чтобы показать, как можно подойти к задаче (и решить ее) с использованием различных стратегий, мы обычно даем несколько решений.
В комнате, где находятся 10 человек, все поздоровались друг с другом, однократно пожав руку. Сколько всего было рукопожатий?
Воспользуемся стратегией визуального представления и построим схему. В ней 10 точек (которые расположены так, что никакие три из них не находятся на одной прямой), представляющих 10 людей. Начнем с человека, представленного точкой А.
Мы соединяем точку А с каждой из остальных девяти точек и, таким образом, обозначаем первые девять рукопожатий.
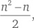
Далее, из точки B исходят восемь дополнительных рукопожатий (поскольку А уже поздоровался с B, и линия AB уже построена). Аналогичным образом из точки C можно провести только семь линий к другим точкам (линии AC и BC уже построены), из точки D — шесть дополнительных линий и т. д. Когда мы дойдем до точки I, останется только одно доступное рукопожатие, а именно I с J, поскольку I уже поздоровался с A, B, C, D, E, F, G и H. Таким образом, сумма рукопожатий составит 9 + 8 + 7 + 6 + 5 + 4 + 3 + 2 + 1 = 45. Это то же самое, что получается при использовании формулы для суммы первых n натуральных чисел:
где n ≥ 2. (Обратите внимание на то, что последний рисунок — это десятиугольник, у которого построены все диагонали.)
Для решения задачи можно использовать стратегию учета всех возможностей. Возьмем показанную ниже сетку, в которую включены 10 человек, A, B, C, …, H, I, J, пожимающие друг другу руки. Диагональ с символами X показывает, что люди не могут пожимать руки самим себе.
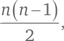
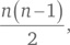
Оставшиеся клетки показывают двойное число всех других рукопожатий (т. е. A пожимает руку B, а B пожимает руку A). Таким образом, нам нужно взять общее количество клеток (102), вычесть из него количество клеток на диагонали (10) и разделить результат на два. В результате мы получаем:
В общем случае для сетки размером n × n результат будет равен
что эквивалентно формуле
приведенной выше.
Попробуем теперь решить задачу с помощью принятия другой точки зрения. Возьмем комнату, где находятся 10 человек, каждый из которых пожимает руку остальным девяти. Можно предположить, что число рукопожатий будет равным 10 × 9, или 90. Однако нам нужно разделить это число на два, чтобы устранить дублирование (поскольку рукопожатие A с B можно рассматривать как рукопожатие B с A), и мы получаем
Теперь подойдем к решению задачи через распознавание закономерности. В таблице, представленной ниже, мы перечисляем количество рукопожатий в комнате по мере увеличения числа присутствующих.
В третьей колонке, где приведено суммарное количество рукопожатий, представлена последовательность чисел, называемых треугольными, разность между которыми возрастает каждый раз на единицу. Таким образом, можно просто заполнять таблицу до тех пор, пока мы не достигнем суммы, соответствующей 10 человекам. Можно заметить следующую закономерность: результат в каждой строке равен половине произведения количества людей в этой строке на количество людей в предыдущей строке.
Посмотрим теперь, как задача решается с помощью стратегии организации данных. В таблице, представленной ниже, показан номер человека, входящего в комнату, и количество рукопожатий, которыми он обменивается, с учетом того, что присутствующие уже поздоровались друг с другом, а вошедший не пожимает руку сам себе. Итак, человек номер 10 пожимает руку девятерым, человек номер 9 пожимает руку восьмерым и т. д. Наконец, мы доходим до человека номер 2, который пожимает руку только одному, и человека номер 1, которому здороваться не с кем. И вновь мы получаем сумму, равную 45.
Прочитали книгу? Предлагаем вам поделится своим впечатлением! Ваш отзыв будет полезен читателям, которые еще только собираются познакомиться с произведением.
Уважаемые читатели, слушатели и просто посетители нашей библиотеки! Просим Вас придерживаться определенных правил при комментировании литературных произведений.
Просьба отказаться от дискриминационных высказываний. Мы защищаем право наших читателей свободно выражать свою точку зрения. Вместе с тем мы не терпим агрессии. На сайте запрещено оставлять комментарий, который содержит унизительные высказывания или призывы к насилию по отношению к отдельным лицам или группам людей на основании их расы, этнического происхождения, вероисповедания, недееспособности, пола, возраста, статуса ветерана, касты или сексуальной ориентации. Просьба отказаться от оскорблений, угроз и запугиваний. Просьба отказаться от нецензурной лексики. Просьба вести себя максимально корректно как по отношению к авторам, так и по отношению к другим читателям и их комментариям.
Надеемся на Ваше понимание и благоразумие. С уважением, администратор My-Books.me.
Оставить комментарий
-
Александра15 январь 09:37
Очень интересная книга! Особенно, если любишь психологию и хочешь понимать себя и других. Обязательно послушаю до конца. Спасибо....
Кригер Борис – Гнев
-
Галина25 май 13:02
Очень уважаю Артема Шейнина, книга замечательная, очень мне близкая по духу.Перечитываю уже второй раз, столько пережитого и не...
Мне повезло вернуться - Артем Шейнин
-
Екатерина11 январь 08:05
Доброе утро. Подскажите пожалуйста как сохранять книги, ставить закладки?...
Подонок - Анастасия Леманн