» » » Живая и мертвая вода — совершенное лекарство - Александр Кородецкий

Живая и мертвая вода — совершенное лекарство - Александр Кородецкий

Книгу Живая и мертвая вода — совершенное лекарство - Александр Кородецкий читаем онлайн бесплатно и без регистрации! Читать онлайн вы можете не только на компьютере, но и на андроид (Android), iPhone и iPad. Наслаждайтесь!

394 0 10:07, 25-05-2019
Живая и мертвая вода — совершенное лекарство - Александр Кородецкий
25 май 2019
Автор: Александр Кородецкий Жанр: Книги / Домашняя Год публикации: 2010 Возрастные ограничения: (18+) Внимание! Аудиокнига может содержать контент только для совершеннолетних.
0 0

Книга Живая и мертвая вода — совершенное лекарство - Александр Кородецкий читать онлайн бесплатно без регистрации

Александр Владимирович Кородецкий — известный петербургский фитоэнергетик и автор популярных книг, прекрасный специалист в области натуропатии. Исследуя исцеляющее действие живой и мертвой воды, Александр Кородецкий пришел к выводу: ее чудодейственные свойства — не сказка. Это реальность! Живая вода (католит) — непревзойденный биостимулятор, богатый источник микроэлементов, обладает антиоксидантными свойствами. Эта вода улучшает аппетит, активизирует обмен веществ, запускает процессы омоложения, ускоряет заживление, борется с раздражениями кожи и аллергией, делает волосы шелковистыми. Мертвая вода (анолит) — мощный антисептик и консервант, универсальное средство для борьбы с микроорганизмами и грибками. Применение живой и мертвой воды в различных сочетаниях поможет справиться с большинством болезней, известных сегодня медицинской науке. И, как шутит Александр Кородецкий, еще с сотней новых болезней, для которых наука пока не придумала названий!
1 2 3
Перейти на страницу:
Ознакомительный фрагмент

Живая вода против свободных радикалов

Сильный антиоксидантный эффект живой воды, то есть ее способность препятствовать развитию свободных радикалов, впервые обнаружили и доказали японские ученые. Они назвали живую воду редуцированной. Благодаря их исследованиям стали понятны причины удивительного эффекта, который дает живая вода при лечении таких разных болезней, как ангина, гипертония и сахарный диабет. Дело оказалось в том, что живая вода не только тормозит окислительные реакции в организме, блокируя разрушительное действие свободных радикалов, но и стимулирует выработку самим организмом веществ, препятствующих образованию вредных окислителей. Это такие вещества, как витамин С, каталаза, флавоноиды и другие ферменты, которые под воздействием редуцированной воды многократно усиливают свое позитивное воздействие на клетки ДНК и защищают их от повреждений.

Это ошеломляющее открытие, описанное в журнале «Биофизическая химия» за 2004 год, доказало, что католит является непревзойденным многофункциональным антиоксидантом, способным побеждать любую болезнь. Ведь это не таблетка, воздействующая на работу отдельного органа, а раствор, пробуждающий собственные силы организма, то есть оздоравливающий его изнутри. Недаром известный фитоцелитель, ученый, автор множества лечебных методик Г. А. Гарбузов назвал живую воду «умным раствором», способным самостоятельно распознавать болезненные процессы, происходящие в организме, и оказывать на них сильное лечебное воздействие.

Но вернемся к исследованиям зарубежных ученых. На Западе не жалели средств для изучения «водного» феномена, ведь у людей появлялось новое лекарство, не требующее дорогостоящего производства, а главное, не дающее побочных эффектов — бича современной медицины. Ведь любое химиотерапевтическое средство, направленное на излечение одного недуга, создает много проблем с другими ранее здоровыми органами. Организм становится больным уже от лечения, попадая в замкнутую цепь химиотерапии. Теперь перед врачами предстала возможность оборвать эту цепь и лечить людей совершенно безвредными препаратами, приготовленными на основе активированной воды. Появилась возможность лечить даже те болезни, которые считались неизлечимыми, потому что имеют генетическую природу. Ведь усиление антиоксидантной активности ферментов самого организма (что доказано, в частности, японским ученым С. Широхата) открывало возможности уничтожения болезни на генетическом уровне. Это уже не только лечение, а профилактика болезней, передающихся по наследству.

Как пишет Дина Ашбах[3], «японские ученые доказали, что добавление редуцированной воды уменьшает разрушение ДНК на 70 %!». Это прекрасно демонстрирует приведенный в ее книге «Живая вода против свободных радикалов и старения» рисунок 8:

«На приведенной ниже схеме вы видите неповрежденную ДНК (колонка 1), повреждение ДНК свободными радикалами (колонки 3–5) и резкое уменьшение повреждений ДНК, наступающее при добавлении живой воды (колонки 6, 7)».


Живая и мертвая вода — совершенное лекарство

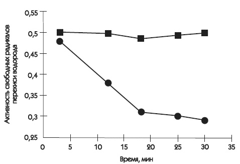
А вот доказательство того, как живая вода усиливает действие витаминов и других антиоксидантных веществ в организме. На рисунке 9 из той же книги Дины Ашбах показано, как редуцированная вода усиливает антиоксидантную активность перекиси водорода.


Живая и мертвая вода — совершенное лекарство
Живая вода лечит сердце

За этими наблюдениями стоят еще более грандиозные исследования, позволяющие доказать эффективность воды при лечении сердечно-сосудистых заболеваний. Как известно, повышенное давление, или гипертония, которой страдают тысячи людей во всем мире, является причиной ишемической болезни сердца, инфарктов и инсультов. Совсем недавно ученые выяснили, что развитие гипертонии и гипотонии зависит от количества особого вещества, которое производят сами сосуды, — окиси азота NO. Эта молекула регулирует нормальное давление крови в сосудах. А если по какой-то причине организм вырабатывает слишком мало NO или совсем не вырабатывает ее, то давление начинает бесконтрольно «скакать». Тогда больной принимает нитроглицерин — химический препарат, содержащий искусственно созданную молекулу NO.

Поскольку свободные радикалы уничтожают NO в организме, значит, они и есть непосредственные виновники гипертонии. Но не только радикалы виноваты в развитии сердечных недугов. При такой распространенной болезни, как атеросклероз, поврежденные атеросклеротическими бляшками сосуды сами не в состоянии производить NO в достаточном количестве. В результате — развитие гипертонии. Вот почему эти болезни, как правило, сопутствуют друг другу. Но против них есть одно лекарство — живая вода. Именно католит уничтожает свободные радикалы, открывая свободный путь производству естественной окиси азота. При этом даже поврежденные сосуды получают помощь за счет ионов микроэлементов, содержащихся в живой воде и способствующих снижению артериального давления.

Лечение живой водой гипертонии и сахарного диабета подробно описала в своей книге Д. Ашбах[4]. Западная же медицина пришла к применению активированных растворов в медицине значительно позже но зато хорошо поняла и оценила поистине неисчерпаемые перспективы их использования. В настоящее время в Америке, Японии, Европе ведутся серьезные исследования этого феномена, тратятся солидные деньги и делаются важные научные открытия.

Анолит — самый «умный» антибиотик

Но пора отдать должное другому активированному раствору — анолиту, один миллилитр которого всего за одну минуту способен уничтожить целый миллион бактерий. Причем анолит действует отнюдь не как синтетический антибиотик, который уничтожает всю микрофлору органа, попутно оказывая губительное воздействие на иммунитет человека, вызывая дисбактериоз кишечника и грибковые осложнения.

Природный «антибиотик» анолит выбирает только патогенные микроорганизмы, которые и становятся его мишенью. А полезные бактерии остаются целы и невредимы. Этот феномен описала уже известная вам Дина Ашбах. В своей клинике она получила уникальные результаты клинических исследований действия анолита и пришла к выводу, что «анолит уничтожил патогенную флору (в данном случае гемолитические стрептококки групп А и В, золотистый стафилококк и другие бактерии), но не тронул микроорганизмы, не участвующие в процессе воспаления зева (микрококки, негемолитические стрептококки), то есть проявил избирательную антибактериальную активность. Чтобы проверить, не была ли «умная» избирательность анолита случайной, мы провели еще ряд экспериментальных и клинических исследований применения анолита, наблюдая его действие при лечении дисбактериоза, неспецифических и кандидозных кольпитов, щелочных циститов. При всех этих заболеваниях повторялась избирательность анолита: уничтожая патогенные микроорганизмы, он оставлял невредимой полезную (индигенную) микрофлору»[5].


Конец ознакомительного фрагмента Купить полную версию книги
1 2 3
Перейти на страницу:
  1. Жалоба
Отзывы - 0

Прочитали книгу? Предлагаем вам поделится своим впечатлением! Ваш отзыв будет полезен читателям, которые еще только собираются познакомиться с произведением.


Уважаемые читатели, слушатели и просто посетители нашей библиотеки! Просим Вас придерживаться определенных правил при комментировании литературных произведений.

Просьба отказаться от дискриминационных высказываний. Мы защищаем право наших читателей свободно выражать свою точку зрения. Вместе с тем мы не терпим агрессии. На сайте запрещено оставлять комментарий, который содержит унизительные высказывания или призывы к насилию по отношению к отдельным лицам или группам людей на основании их расы, этнического происхождения, вероисповедания, недееспособности, пола, возраста, статуса ветерана, касты или сексуальной ориентации. Просьба отказаться от оскорблений, угроз и запугиваний. Просьба отказаться от нецензурной лексики. Просьба вести себя максимально корректно как по отношению к авторам, так и по отношению к другим читателям и их комментариям.

Надеемся на Ваше понимание и благоразумие. С уважением, администратор My-Books.me.


Новые отзывы

  1. Александра Александра15 январь 09:37 Очень интересная книга! Особенно, если любишь психологию и хочешь понимать себя и других. Обязательно послушаю до конца. Спасибо.... Кригер Борис – Гнев
  2. Галина Галина25 май 13:02 Очень уважаю Артема Шейнина, книга замечательная, очень мне близкая по духу.Перечитываю уже второй раз, столько пережитого и не... Мне повезло вернуться - Артем Шейнин
  3. Екатерина Екатерина11 январь 08:05 Доброе утро. Подскажите пожалуйста как сохранять книги, ставить закладки?... Подонок - Анастасия Леманн
Все комметарии
Новинки бесплатной онлайн библиотеки