Финансовый менеджмент - Наталья Толкачева
Книгу Финансовый менеджмент - Наталья Толкачева читаем онлайн бесплатно и без регистрации! Читать онлайн вы можете не только на компьютере, но и на андроид (Android), iPhone и iPad. Наслаждайтесь!
281 0 19:35, 21-05-2019Книга Финансовый менеджмент - Наталья Толкачева читать онлайн бесплатно без регистрации
Для соотнесения будущей и сегодняшней стоимости денег используются формулы наращения (начисления процентов) и дисконтирования.
Дисконтирование – приведение будущей стоимости (FV) к нынешнему периоду времени, установление сегодняшнего эквивалента суммы, выплачиваемой в будущем.
С учетом этой концепции разработаны различные модели дисконтирования денежных потоков (DCF), которые широко используются в практике финансового менеджмента.
При рассмотрении дисконтирования необходимо учесть четыре этапа.
Расчет прогнозируемых денежных потоков. Оценка степени риска.
Включение риска в анализ.
Определение приведенной стоимости денег.
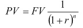
Формула математического дисконтирования для сложных процентов имеет вид:

где РV – средства, имеющиеся или инвестированные на текущую дату или текущая стоимость финансовых средств, получаемых в будущем;
FV – финансовые средства к получению в будущем или будущая величина сегодняшних денежных средств;
r – ставка дисконтирования;
n – количество лет.
Для того, чтобы определить сегодняшний эквивалент некой суммы денег, например 20 тыс. руб., которые могут понадобиться в будущем, например, через 2 года, необходимо продисконтировать эту сумму, используя ставку дисконтирования (в общем случае равную учетной ставке процента ЦБ). Если учетная ставка процента равна, например, 18 % годовых, то настоящая (текущая) стоимость будущих 20 тыс. руб. составит: 20 / (1+0,18)2 = 14,3 тыс. руб. это означает, что, имея сегодня 14,3 тыс. руб., можно положить их в банк под эту ставку, и через 2 года у вас будет 20 тыс. руб.
Концепция компромисса между риском и доходностью.
Сущность этой концепции состоит в том, что между уровнем ожидаемого дохода (доходностью) и уровнем сопутствующего ему риска существует прямо пропорциональная зависимость.
Чем выше обещаемая, требуемая или ожидаемая доходность (то есть отдача на вложенный капитал), тем выше и степень риска, связанного с возможным неполучением этой доходности. Однако верно и обратное.
На базе этой концепции построены множественные модели оценки финансовых активов (финансовых инструментов инвестирования) и методика инвестиционного анализа в системе портфельной теории.
Очень важны для решения проблемы минимизации рисков выводы Г. Марковица о портфеле. Совокупный риск может быть снижен за счет объединения рискованных активов в один портфель. При этом общий риск, как правило, меньше, чем по каждому финансовому активу в отдельности. Однако концепция Г. Марковица не конкретизирует взаимосвязь между уровнем риска и требуемой доходностью. Эту задачу решают исследования Д. Линтиера, Я. Мойссина, У. Шарпа, в которых делается вывод, что на идеальных рынках капитала требуемая (ожидаемая) доходность рискованного актива представляет собой функцию трех переменных: безрисковой доходности, средней доходности на рынке ценных бумаг, «индекса колеблемости» доходности данного актива на рынке в среднем.
Иллюстрацией концепции компромисса между риском и доходностью выступает модель Шарпа – модель оценки доходности финансовых активов (САРМ, Capital Asset Pricing Model).
ks=krf+β(km−krf)
где ks – доходность акций компании;
krf – доходность «безрисковых» ценных бумаг;
β – бета-коэффициент систематического (рыночного) риска компании;
km – ожидаемая средняя доходность на рынке ценных бумаг;
Средний уровень доходности на рынке составляет 16 %, доходность по безрисковым вложениям в государственные ценные бумаги 6 %, для компании «WOW» коэффициент β= 0,8. Тогда доходность акций данной компании определяется: 16 + 0,8 (16 – 6) = 24 %.
Данная модель может быть использована для оценки доходности акций компании с учетом систематического риска. Эти выводы важны при принятии решений по формированию оптимальной структуры капитала и выборе и обосновании эффективности инвестиционного проекта.
Концепция стоимости (структуры) капитала.
Для финансирования текущей и инвестиционной деятельности организаций необходимы финансовые ресурсы, которые могут быть привлечены из различных источников, на разных условиях.
Будем исходить из предположения, что оборотные (текущие) активы компании финансируются за счет краткосрочных источников средств (краткосрочных обязательств), а внеоборотные (постоянные) активы – за счет долгосрочных.

Рис. 1.2. Источники финансирования
На рисунке 1.2 представлены все источники финансирования, включая долгосрочные и краткосрочные.
Именно долгосрочные источники – собственные и заемные – называются капиталом.
Таким образом, используемый капитал состоит из акционерного капитала и долгосрочных обязательств.
Привлечение каждого источника капитала связано для компании с определенными затратами. Отношение платы за капитал к величине привлекаемого капитала называется стоимостью (ценой) капитала и выражается в процентах.
Цена каждого источника капитала связанна с платой его «владельцам»: банкам нужно платить проценты по выданным кредитам; инвесторам – доход на сделанные ими инвестиции; акционерам – дивиденды. Величина затрат на капитал – стоимости или цены капитала определяется по доходности, требуемой «владельцем» капитала.
Затраты компании по привлечению и обслуживанию капитала существенно различаются по видам отдельных источников. В связи с этим при выборе альтернативных источников финансирования активов количественная оценка стоимости привлекаемого капитала играет решающую роль.
В основе концепции стоимости капитала лежит механизм влияния избранного компанией соотношения собственного и заемного капитала на показатель ее рыночной стоимости.
Минимизация стоимости капитала при прочих равных условиях обеспечивает максимизацию рыночной стоимости компании и благосостояния собственников.
Концепция эффективности рынка капитала была выдвинута в 1970 году американским экономистом Юджином Фама в работе «Эффективные рынки капитала: обзор теоретических и практических исследований». Данная концепция носит гипотетический характер и отражает зависимость ценовой эффективности финансового рынка от уровня информационного обеспечения его участников. В соответствии с этой гипотезой процесс формирования цены предполагает, что ожидаемая доходность ценных бумаг является случайной величиной, отражающей соответствующий уровень информированности участников рынка. Концепция эффективность рынка основана на том, что в условиях эффективного рынка любая новая информация по мере ее поступления немедленно отражается на ценах на акции и другие ценные бумаги. Финансисты используют понятие эффективности рынков, подразумевая информационную, а не операционную эффективность.
Прочитали книгу? Предлагаем вам поделится своим впечатлением! Ваш отзыв будет полезен читателям, которые еще только собираются познакомиться с произведением.
Уважаемые читатели, слушатели и просто посетители нашей библиотеки! Просим Вас придерживаться определенных правил при комментировании литературных произведений.
Просьба отказаться от дискриминационных высказываний. Мы защищаем право наших читателей свободно выражать свою точку зрения. Вместе с тем мы не терпим агрессии. На сайте запрещено оставлять комментарий, который содержит унизительные высказывания или призывы к насилию по отношению к отдельным лицам или группам людей на основании их расы, этнического происхождения, вероисповедания, недееспособности, пола, возраста, статуса ветерана, касты или сексуальной ориентации. Просьба отказаться от оскорблений, угроз и запугиваний. Просьба отказаться от нецензурной лексики. Просьба вести себя максимально корректно как по отношению к авторам, так и по отношению к другим читателям и их комментариям.
Надеемся на Ваше понимание и благоразумие. С уважением, администратор My-Books.me.
Оставить комментарий
-
Александра15 январь 09:37
Очень интересная книга! Особенно, если любишь психологию и хочешь понимать себя и других. Обязательно послушаю до конца. Спасибо....
Кригер Борис – Гнев
-
Галина25 май 13:02
Очень уважаю Артема Шейнина, книга замечательная, очень мне близкая по духу.Перечитываю уже второй раз, столько пережитого и не...
Мне повезло вернуться - Артем Шейнин
-
Екатерина11 январь 08:05
Доброе утро. Подскажите пожалуйста как сохранять книги, ставить закладки?...
Подонок - Анастасия Леманн