Простая одержимость. Бернхард Риман и величайшая нерешенная проблема в математике - Джон Дербишир
Книгу Простая одержимость. Бернхард Риман и величайшая нерешенная проблема в математике - Джон Дербишир читаем онлайн бесплатно и без регистрации! Читать онлайн вы можете не только на компьютере, но и на андроид (Android), iPhone и iPad. Наслаждайтесь!
231 0 08:43, 26-05-2019Книга Простая одержимость. Бернхард Риман и величайшая нерешенная проблема в математике - Джон Дербишир читать онлайн бесплатно без регистрации

Но согласно 4-му правилу эта сумма равна 1 + 1 + 1 + 1 + 1 + 1 + …, что довольно очевидным образом расходится. Возьмем сумму ста членов: она будет равна 100; тысячи — 1000. Сложение миллиона слагаемых дает значение 1000 000. Да, ряд расходится.
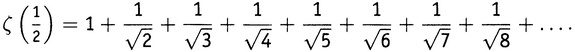
С отрицательными числами дело обстоит еще хуже. Каково значение выражения (5.2), если s равно −1? Из 5-го правила следует, что 2−1 — это просто 1/2, 3−1 — просто 1/3 и т.д. Поскольку 1:1/2 есть просто 2, 1:1/3 — просто 3 и т.д., наш ряд принимает вид 1 + 2 + 3 + 4 + 5 + …, что определенно расходится. А как насчет s = 1/2? Поскольку 21/2 — это просто √2 и т.д., ряд принимает вид

Поскольку квадратный корень из любого целого числа меньше самого числа, каждый член этого ряда[41] больше, чем соответствующий член ряда 1 + 1/2 + 1/3 + 1/4 + 1/5 + 1/6 + 1/7 + …. (Элементарная алгебра: если a меньше, чем b, то 1/a больше, чем 1/b. Например, 2 меньше, чем 4, но 1/2 больше, чем 1/4). Указанный ряд расходится, а значит, интересующий нас ряд также расходится. Ну и правда, если вы потрудитесь вычислить суммы, то окажется, что первые десять членов суммируются к 5,020997899…, первые сто — к 18,589603824…, первые тысяча — к 61,801008765…, а первые десять тысяч — к 198,544645449… и т.д.
Похоже, что на графике изображено все, что можно показать про дзета-функцию Римана. Кроме этого, ничего больше нет. Функция имеет значения, только когда s больше единицы. Или, как мы теперь можем сказать с использованием должного профессионального термина, область определения дзета-функции составляют все числа, большие единицы. Верно? Нет!
I.
Китайское слово Тай-е буквально переводится как «самый дальний дедушка» (прадедушка). Такой титул присвоен в семье моей жены ее деду по отцовской линии. Когда мы ездили в Китай летом 2001 года, нашей первейшей обязанностью было навестить Тай-е. Семья бесконечно им гордится, ибо он дожил до 97 лет в добром здравии и с ясной головой. «Ему девяносто семь лет! — говорили мне все. — Вам непременно надо встретиться с ним!» Я и встретился с ним — бодрым, располагающим к себе Буддой в цветущем человеческом воплощении, с румяным лицом и по-прежнему острым умом. Однако вопрос о том, правда ли ему 97 лет, довольно интересен.
Тай-е родился на третий день двенадцатого лунного месяца лунного года и сы по традиционному летосчислению, принятому в поднебесной.[42] По западному календарю это было 28 декабря 1905 года. Поскольку мой приезд пришелся на начало июля 2001 года, возраст Тай-е по современному западному исчислению в тот момент составлял 951/2 лет и несколько дней. Так почему же все говорили, что ему 97 лет? Потому что по старому китайскому стилю, которого и придерживался Тай-е, возраст его при рождении составлял один год, и к этому добавлялся год всякий раз, как наступал Новый год по лунному календарю — каковой случился 24 января 1906 года по нашему календарю, через 27 дней после его рождения. Он не прожил еще и месяца в этом мире, а ему уже было два года! Таким образом, когда наступил лунный Новый год в 2001 году (что случилось также 24 января, хотя вообще-то лунный Новый год может выпасть на любую дату между 21 января и 20 февраля), Самый Дальний Дедушка отпраздновал свое 97-летие.
В традиционной китайской системе подсчета возраста нет ничего неправильного. Вы появляетесь в этом мире в такой-то день. Этот день является частью определенного года. Ясно, что этот год — ваш первый год. Если спустя 28 дней наступает следующий год — отлично, он будет вашим вторым годом. Все это вполне осмысленно. Единственная причина, по которой такая система выглядит странно, состоит в том, что современные люди (в Китае в той же степени, что и на Западе) привыкли при подсчете лет оперировать временем как чем-то таким, что можно измерить. Но когда Тай-е был молодым, китайцы воспринимали возраст человека как нечто, подлежащее счету.
II.
Такое различие между числами для счета и числами для измерения глубоко проникло в людскую речь и само мышление. Похоже на то, что мы одной частью своей головы воспринимаем мир составленным из четко отделенных друг от друга твердых объектов, которым можно присвоить инвентарные номера, а другой частью видим мир в виде совокупности материалов, тканей и субстанций, которые надлежит делить на единицы и измерять. Параллельное осмысление обеих концепций дается нелегко. Мой шестилетний сын до сих пор путает слова для обозначения числа и количества, «many» и «much». После рождественских праздников он спросил у своего друга: «How much presents did you get?»[43]
Наше восприятие мира отражается в языке. Английский язык воспринимает мир как место, в основном поддающееся подсчету в существующих отдельно штуках: одна корова, две рыбы, три горы, четыре двери, пять звезд. Несколько реже наш язык воспринимает мир как нечто, нуждающееся в измерении при помощи соответствующих единиц: трава — одна былинка; бумага — два листа; скот — три головы; рис — четыре зернышка; бензин — пять галлонов. Слова «былинка», «лист», «голова», «зернышко», «галлон» — хотя, разумеется, каждое из них и может жить своей собственной жизнью — выступают здесь в роли единиц измерения. Китайский же язык, в отличие от английского, рассматривает практически все сущее как измеряемое. Одна (хотя и не самая главная) вещь, которую приходится зубрить при изучении китайского, — запоминание правильного «счетного слова» (таков точный перевод китайского грамматического термина лян цы) для каждого существительного: одна голова коровы, две ленты рыб, три постамента гор, четыре лопасти дверей, пять зерен звезд.[44] Во всем китайском языке только два слова можно выпустить на свободу без счетного слова: «день» и «год». Все остальное — коровы, рыбы, горы, двери, звезды — представляет собой род субстанции, которую необходимо разделить и измерить, прежде чем о ней можно будет говорить.
Прочитали книгу? Предлагаем вам поделится своим впечатлением! Ваш отзыв будет полезен читателям, которые еще только собираются познакомиться с произведением.
Уважаемые читатели, слушатели и просто посетители нашей библиотеки! Просим Вас придерживаться определенных правил при комментировании литературных произведений.
Просьба отказаться от дискриминационных высказываний. Мы защищаем право наших читателей свободно выражать свою точку зрения. Вместе с тем мы не терпим агрессии. На сайте запрещено оставлять комментарий, который содержит унизительные высказывания или призывы к насилию по отношению к отдельным лицам или группам людей на основании их расы, этнического происхождения, вероисповедания, недееспособности, пола, возраста, статуса ветерана, касты или сексуальной ориентации. Просьба отказаться от оскорблений, угроз и запугиваний. Просьба отказаться от нецензурной лексики. Просьба вести себя максимально корректно как по отношению к авторам, так и по отношению к другим читателям и их комментариям.
Надеемся на Ваше понимание и благоразумие. С уважением, администратор My-Books.me.
Оставить комментарий
-
Александра15 январь 09:37
Очень интересная книга! Особенно, если любишь психологию и хочешь понимать себя и других. Обязательно послушаю до конца. Спасибо....
Кригер Борис – Гнев
-
Галина25 май 13:02
Очень уважаю Артема Шейнина, книга замечательная, очень мне близкая по духу.Перечитываю уже второй раз, столько пережитого и не...
Мне повезло вернуться - Артем Шейнин
-
Екатерина11 январь 08:05
Доброе утро. Подскажите пожалуйста как сохранять книги, ставить закладки?...
Подонок - Анастасия Леманн