Организационное поведение: учебное пособие - Владимир Спивак
Книгу Организационное поведение: учебное пособие - Владимир Спивак читаем онлайн бесплатно и без регистрации! Читать онлайн вы можете не только на компьютере, но и на андроид (Android), iPhone и iPad. Наслаждайтесь!
179 0 14:18, 21-05-2019Книга Организационное поведение: учебное пособие - Владимир Спивак читать онлайн бесплатно без регистрации
Главное – это желание понять партнера, «слушать, чтобы услышать».
Можно сделать небольшое дополнение к сказанному: различают направленное критическое слушание и эмпатическое слушание, причем первое связано с целью найти зацепку для контрсуггестии, а второе способно обеспечить будущее сотрудничество. От вашего понимания цели общения, от настроя зависит и результат общения.
Третий аспект общения – интерактивный, связанный с взаимодействием сторон в процессе общения. Процесс взаимодействия пронизывает общение от начала до конца, определяет его динамику, развитие. Выбираемые партнерами действия (вербальные и невербальные проявления, поступки, занимаемые позиции, реакция) отражают их понимание ситуации и представления о правильных действиях в такой ситуации. Анализ интерактивного аспекта общения также, как и других аспектов, дает обширную информацию о партнере.
В рамках интерактивной стороны общения для оценки ситуации используется такой психологический термин, как «позиции сторон», обозначающий статусное взаиморасположение партнеров: выше – ниже, ведущий – ведомый, преследователь – жертва и т. д. Правильное определение статуса, позиции партнера по общению позволяет установить преследуемые им цели общения, стратегию поведения, достаточно точно спрогнозировать его поведение и своевременно принять меры со своей стороны: либо подстроиться к партнеру, либо попытаться изменить его позицию, если она неприемлема, либо завершить общение.
В установлении позиций партнеров по общению помогает знание современного западного метода психологического анализа и коррекции поведения, получившего название транзактный (или транзакционный) анализ. Основатель метода гештальттерапии Ф. Перлз различал такие позиции общающихся, как «хозяин положения – подчиненная сторона», американские психологи М. Джеймс и Д. Джонгвард – «преследователь – жертва – помощник», а наиболее известный у нас по многочисленным переводам его трудов американский психиатр Э. Берн – «родитель – взрослый – ребенок».
Рассмотрим подробнее подход Э. Берна[70]. Позиции в общении связаны с состояниями «я» – с совокупностью относительно независимых и обособленных во внутреннем мире человека эмоций, установок и схем поведения. Эти состояния дискретны и могут проявляться в поведении человека в форме как бы исполняемой роли, занимаемой позиции. В любой момент времени человек находится в одном из состояний, исполняет какую-то роль и ведет себя в соответствии со своим представлением о правильном поведении в этом состоянии. Выбор роли и поведения в ней основывается на конкретных, значимых для человека воспоминаниях, даже не всегда им осознаваемых. В табл. 3.2 приведены основные характеристики позиций в общении по Э. Берну.
Таблица 3.2
Основные характеристики позиций в общении (по Берну)

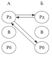
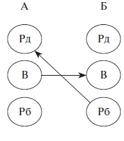
В транзактном анализе взаимодействие в общении понимается как взаимодействие позиций, а транзакция – как намерения к действию и сами действия, отражающие понимание человеком ситуации общения. Появляется возможность определить позицию в общении – как свою, так и партнера – и на этой основе определить понимание ситуации общения и спрогнозировать дальнейшее поведение. Изменение ситуации общения возможно на основе понимания позиций сторон и попыток их изменения: либо приспособиться к позиции партнера, либо попытаться изменить его позицию. Схема взаимодействия может принимать один из видов, показанных на рис. 3.6–3.8.
Дополнительные транзакции отражают такое взаимодействие партнеров, когда они адекватно понимают ситуацию и позиции друг друга, причем позиции могут быть как равные, так и неравные, но в любом случае взаимопонимание обеспечено.

Рис. 3.6. Дополнительные транзакции

Рис. 3.7. Пересекающиеся транзакции

Рис. 3.8. Скрытые транзакции
Пересекающиеся транзакции возникают при неадекватности оценки ситуации и таком общении, когда один партнер не понимает или не желает понять позицию и ожидания другого. Если не удастся перейти на позиции дополнительной транзакции, вполне вероятен конфликт.
Скрытые транзакции включают обычно два уровня: выражаемый словами (вербальный) и подразумеваемый, психологический, понимание которого возможно при достаточно хорошем знании партнерами друг друга.
Метод психотерапии, основанный на транзактном анализе, состоит в обучении людей разбираться в позициях друг друга, лучше понимать смысл и направление действий партнера по общению, изменять свою позицию (если удается, то и позицию другого), тем самым влияя на дальнейшее развитие ситуации.
Неправильная позиция по отношению к аудитории, например обращение свысока или, наоборот, заискивание, игнорирование факта объективного существования барьеров и непринятие мер к их устранению приводит как минимум к невозможности достижения желаемых целей, а как максимум – к полному краху и утрате авторитета презентатора.
Рекомендации по использованию разных режимов донесения содержания устной речи приводятся в книге Лэйхиффа и Пенроуза[71].
Различаются четыре основных режима публичных выступлений:
• импровизация (речь без подготовки). Произносится, когда у вас практически нет времени на ее подготовку. Основное преимущество импровизации – в спонтанности, ее недостаток в том, что она, как правило, плохо спланирована;
• речь «без бумажки». Более формальна, чем импровизация;
• речь, выученная наизусть. Дает возможность планирования и в результате лучше организована. Вы будете постоянно опираться на заметки, но при этом читать их слушателям ни к чему. Большинство публичных выступлений произносится именно так.
Однако при представлении речи по памяти ораторы часто теряют естественность, и иногда их выступление выглядит не очень живо. Возможность забыть материал – еще один негативный аспект выученной наизусть речи;
• речь по рукописи. Рассчитана на более формальные ситуации. При чтении с рукописи вы можете быть очень точны, контролировать каждое предложение, доводимое до слушателя. Конечно, создание такой речи занимает больше времени, и часто рукопись становится барьером между вами и аудиторией.
Прочитали книгу? Предлагаем вам поделится своим впечатлением! Ваш отзыв будет полезен читателям, которые еще только собираются познакомиться с произведением.
Уважаемые читатели, слушатели и просто посетители нашей библиотеки! Просим Вас придерживаться определенных правил при комментировании литературных произведений.
Просьба отказаться от дискриминационных высказываний. Мы защищаем право наших читателей свободно выражать свою точку зрения. Вместе с тем мы не терпим агрессии. На сайте запрещено оставлять комментарий, который содержит унизительные высказывания или призывы к насилию по отношению к отдельным лицам или группам людей на основании их расы, этнического происхождения, вероисповедания, недееспособности, пола, возраста, статуса ветерана, касты или сексуальной ориентации. Просьба отказаться от оскорблений, угроз и запугиваний. Просьба отказаться от нецензурной лексики. Просьба вести себя максимально корректно как по отношению к авторам, так и по отношению к другим читателям и их комментариям.
Надеемся на Ваше понимание и благоразумие. С уважением, администратор My-Books.me.
Оставить комментарий
-
Александра15 январь 09:37
Очень интересная книга! Особенно, если любишь психологию и хочешь понимать себя и других. Обязательно послушаю до конца. Спасибо....
Кригер Борис – Гнев
-
Галина25 май 13:02
Очень уважаю Артема Шейнина, книга замечательная, очень мне близкая по духу.Перечитываю уже второй раз, столько пережитого и не...
Мне повезло вернуться - Артем Шейнин
-
Екатерина11 январь 08:05
Доброе утро. Подскажите пожалуйста как сохранять книги, ставить закладки?...
Подонок - Анастасия Леманн