» » » Квантовая вселенная. Как устроено то, что мы не можем увидеть - Джефф Форшоу

Квантовая вселенная. Как устроено то, что мы не можем увидеть - Джефф Форшоу

Книгу Квантовая вселенная. Как устроено то, что мы не можем увидеть - Джефф Форшоу читаем онлайн бесплатно и без регистрации! Читать онлайн вы можете не только на компьютере, но и на андроид (Android), iPhone и iPad. Наслаждайтесь!

279 0 09:49, 26-05-2019
Квантовая вселенная. Как устроено то, что мы не можем увидеть - Джефф Форшоу
26 май 2019
Автор: Брайан Кокс Джефф Форшоу Жанр: Книги / Домашняя Год публикации: 2016 Возрастные ограничения: (18+) Внимание! Аудиокнига может содержать контент только для совершеннолетних.
0 0

Книга Квантовая вселенная. Как устроено то, что мы не можем увидеть - Джефф Форшоу читать онлайн бесплатно без регистрации

В этой книге авторитетные ученые Брайан Кокс и Джефф Форшоу знакомят читателей с квантовой механикой – фундаментальной моделью устройства мира. Они рассказывают, какие наблюдения привели физиков к квантовой теории, как она разрабатывалась и почему ученые, несмотря на всю ее странность, так в ней уверены. Книга предназначена для всех, кому интересны квантовая физика и устройство Вселенной. На русском языке публикуется впервые.
1 ... 18 19 20 21 22 23 24 25 26 ... 65
Перейти на страницу:

Сейчас можно вычислить, насколько далеко точка Х должна располагаться от исходной группы, чтобы смежные циферблаты складывались с положительным значением. Это приводит нас к еще одному очень важному результату в квантовой механике и существенно проясняет связь между квантовыми частицами и волнами. Снова наступает момент, когда нам потребуется немного математики.

В первую очередь нужно вывести дополнительную величину, на которую повернута стрелка циферблата 2 по сравнению с циферблатом 1, поскольку дальше циферблат отправится в точку Х. С помощью результатов из начала главы находим, что


Квантовая вселенная. Как устроено то, что мы не можем увидеть

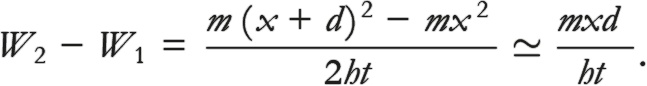
Вы можете сами произвести вычисления, раскрыв скобки и отбросив величину d², поскольку d – расстояние между циферблатами, которое слишком мало по сравнению с x – расстоянием до точки Х, лежащей очень далеко от исходной области.

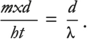
Довольно несложно записать критерий и для циферблатов, показывающих одно и то же время; нам нужно еще немного подвести стрелки, чтобы при продвижении циферблата 2 это исходное смещение показаний часов полностью компенсировало дополнительный поворот стрелки в ходе перемещения циферблата. Для примера, показанного на рис. 5.1, циферблат 2 дополнительно переводится на ¼, потому что мы должны будем повернуть стрелку на четверть часа вперед. Точно так же циферблат 3 подводится на ½, потому что мы должны будем повернуть стрелку вперед на полчаса. Символически выразить долю полного оборота в виде d / λ, где d – расстояние между циферблатами, а λ – длина волны.

Если вы этого пока не улавливаете, рассмотрите случай, при котором расстояние между двумя циферблатами будет равняться длине волны. Тогда d = λ, а, следовательно, d / λ = 1, что соответствует одному полному обороту, при этом оба циферблата покажут одинаковое время.

Подытожим: чтобы два соседних циферблата показывали в точке Х одинаковое время, требуется, чтобы дополнительный поворот часовой стрелки в начальном положении равнялся дополнительному повороту часовой стрелки при распространении волны на расстояние:


Квантовая вселенная. Как устроено то, что мы не можем увидеть

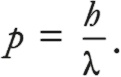
Как и выше, можем упростить это выражение, отметив, что mx / t – это импульс частицы, p. После небольших преобразований уравнения получим:


Квантовая вселенная. Как устроено то, что мы не можем увидеть

Полученный результат настолько важен, что заслуживает собственного имени. И действительно, эта формула называется уравнением де Бройля, поскольку впервые в сентябре 1923 года ее предложил французский физик Луи де Бройль. Важность формулы в том, что она связывает длину волны с известным импульсом частицы. Иными словами, так проявляется тесная связь между свойством, обычно присутствующим у частиц – импульсом, и свойством, чаще всего ассоциирующимся с волнами, – длиной волны. Таким образом, из наших манипуляций с часами возник корпускулярно-волновой дуализм квантовой механики.

Уравнение де Бройля ознаменовало огромный концептуальный скачок. В своей оригинальной работе он писал, что «воображаемая связанная волна» должна приписываться всем частицам, в том числе электронам, и что поток электронов, проходя через щель, «должен демонстрировать феномен дифракции»[16]. В 1923 году это были еще теоретические рассуждения, потому что Дэвиссон и Джермер обнаружили появление интерференционной фигуры при испускании пучков электронов только в 1927-м. Эйнштейн сделал примерно то же предположение, что и де Бройль, на других основаниях и приблизительно в это же время. Эти два теоретических результата стали катализатором для развития волновой механики Шрёдингера. В работе, вслед за которой Шрёдингер уже опубликовал уравнение своего имени, он писал: «Нам приходится серьезно отнестись к волновой теории де Бройля – Эйнштейна о движении частиц».

Мы можем подробнее разобраться с уравнением де Бройля и посмотреть, что произойдет, если уменьшить длину волны, что будет соответствовать большему смещению часовой стрелки соседних циферблатов. Иными словами, сократим расстояние между циферблатами, показывающими одно и то же время. Это значит, что нужно увеличить расстояние x, чтoбы компенсировать сокращение λ, – то есть для погашения дополнительной подкрутки стрелок точка Х должна оказаться дальше. Это соответствует более быстрому движению частицы: чем меньше длина волны, тем больше импульс, о чем и говорит уравнение де Бройля. Отличный результат: нам удалось «вывести» обычное движение (потому что со временем группа циферблатов движется равномерно), начав со статичного ряда циферблатов.

Волновые пакеты

Теперь вернемся к важному вопросу, который до того мы в этой главе пропустили. Мы сказали, что исходная группа целиком движется к окрестностям точки Х, но лишь примерно сохраняет свою исходную конфигурацию.

Что мы имеем в виду под этим довольно туманным утверждением? Ответ снова связан с принципом неопределенности Гейзенберга и приводит нас к следующему открытию. Мы описывали происходящее с группой циферблатов, которая служит отображением частицы, находящейся где-то в малой области пространства. Эта область представлена на рис. 5.1 пятью циферблатами. Подобная группа называется волновым пакетом. Но мы уже видели, что локализация частицы в какой-то области пространства имеет свои последствия. Мы не можем воспрепятствовать тому, что локализованная частица получит «удар Гейзенберга» (то есть импульс ее будет неизвестен как раз ввиду ее локализации), и со временем это приведет к тому, что частица «просочится» за пределы области своего исходного расположения.

Этот эффект имеет место в случае, когда все циферблаты показывают одинаковое время; присутствует он и в случае перемещения группы циферблатов. Это приведет к такому распространению волнового пакета по мере движения, которое соответствует стационарному движению одиночной частицы.

Если подождать достаточно долго, то волновой пакет, которому соответствует движущаяся группа часов, полностью распадется, и мы потеряем все шансы на предсказание точного положения частицы. Это, разумеется, будет иметь место при любых попытках измерения скорости нашей частицы. Посмотрим, как это работает.

Хороший способ измерить скорость частицы – провести два измерения ее положения в два разных момента времени. После этого мы можем вывести ее скорость, разделив пройденное ею расстояние на время между двумя измерениями. Учитывая то, что мы сказали, это кажется опасным, потому что, если мы слишком точно измерим положение частицы, можем сжать весь волновой пакет, что изменит его последующее движение. Если же мы не хотим, чтобы частица получила значительный «удар Гейзенберга» (то есть существенный импульс, потому что Δx становится слишком малым), то должны убедиться, что наши измерения положения будут достаточно расплывчатыми. Конечно, слово «расплывчатый» слишком расплывчато, так что давайте его как-то определим. Если воспользоваться детектором частиц, способным определять частицы с точностью 1 мкм, а наш волновой пакет имеет ширину 1 нм, то детектор не окажет почти никакого воздействия на эту частицу. Экспериментатор, получающий данные с детектора, был бы счастлив иметь разрешение в 1 микрон, но с точки зрения электрона все, что может детектор, – это сообщить экспериментатору, что частица находится в некоем огромном ящике, который в тысячу раз больше, чем существующий волновой пакет. В этом случае «удар Гейзенберга», вызванный процессом измерений, будет очень мал по сравнению с тем, который порождается конечным размером самого волнового пакета. Вот что мы имеем в виду под словами «достаточно расплывчатый».

1 ... 18 19 20 21 22 23 24 25 26 ... 65
Перейти на страницу:
  1. Жалоба
Отзывы - 0

Прочитали книгу? Предлагаем вам поделится своим впечатлением! Ваш отзыв будет полезен читателям, которые еще только собираются познакомиться с произведением.


Уважаемые читатели, слушатели и просто посетители нашей библиотеки! Просим Вас придерживаться определенных правил при комментировании литературных произведений.

Просьба отказаться от дискриминационных высказываний. Мы защищаем право наших читателей свободно выражать свою точку зрения. Вместе с тем мы не терпим агрессии. На сайте запрещено оставлять комментарий, который содержит унизительные высказывания или призывы к насилию по отношению к отдельным лицам или группам людей на основании их расы, этнического происхождения, вероисповедания, недееспособности, пола, возраста, статуса ветерана, касты или сексуальной ориентации. Просьба отказаться от оскорблений, угроз и запугиваний. Просьба отказаться от нецензурной лексики. Просьба вести себя максимально корректно как по отношению к авторам, так и по отношению к другим читателям и их комментариям.

Надеемся на Ваше понимание и благоразумие. С уважением, администратор My-Books.me.


Новые отзывы

  1. Александра Александра15 январь 09:37 Очень интересная книга! Особенно, если любишь психологию и хочешь понимать себя и других. Обязательно послушаю до конца. Спасибо.... Кригер Борис – Гнев
  2. Галина Галина25 май 13:02 Очень уважаю Артема Шейнина, книга замечательная, очень мне близкая по духу.Перечитываю уже второй раз, столько пережитого и не... Мне повезло вернуться - Артем Шейнин
  3. Екатерина Екатерина11 январь 08:05 Доброе утро. Подскажите пожалуйста как сохранять книги, ставить закладки?... Подонок - Анастасия Леманн
Все комметарии
Новинки бесплатной онлайн библиотеки