Таро здоровья и благополучия - Вера Склярова
Книгу Таро здоровья и благополучия - Вера Склярова читаем онлайн бесплатно и без регистрации! Читать онлайн вы можете не только на компьютере, но и на андроид (Android), iPhone и iPad. Наслаждайтесь!
611 0 02:09, 21-05-2019Книга Таро здоровья и благополучия - Вера Склярова читать онлайн бесплатно без регистрации
ЭТАП 3
КРУГ ТРЕТИЙ
Тасуем колоду МА, даем «подснять» Клиенту и выкладываем МА, семь рядов по семь Арканов в каждом, получая картину КРУГА ТРИ согласно рис. 38.

Рис. 37. Схема Круга 2 расклада «Пифагор». Нумерологический расчет семи вертикальных векторов
Здесь по окончании анализа и подсчетов мы должны получить для Клиента значения еще восьми СА, всего их, учитывая 14 СА КРУГОВ 1-го и 2-го, будет как раз 22, ровно столько, сколько СА в колоде. Далее поступаем так.
СА 1-й мы получаем подсчетом числового корня суммарных МА, находящихся на «левой диагонали» нашего квадрата, а именно: МА в поз. 1, 9, 17, 25, 33, 41, 49 (рис. 41а).
СА 2-й мы получаем подсчетом числовых значений Арканов, находящихся на «правой диагонали» нашего квадрата Пифагора, а именно: МА в поз. 7, 13, 19, 25, 31, 37, 43 (рис. 41а).
СА 3-й мы получаем сложением числовых значений МА, находящихся на центральной вертикали квадрата, а именно: МА в поз. 4, 11, 18, 25, 32, 39, 46 (рис. 41а).
СА 4-й мы получаем сложением числовых значений МА, находящихся на центральной горизонтали квадрата, а именно: МА в поз. 22, 23, 24, 25, 26, 27, 28 (рис. 41а).
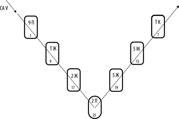
СА 5-й мы получаем подсчетом числовых значений МА, находящихся в верхнем секторе квадрата, а именно: МА в поз. 1, 9, 17, 25, 19, 13, 7 (рис. 38а).
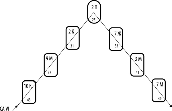
СА 6-й мы находим сложением числовых значений МА, находящихся в нижнем секторе квадрата, а именно: МА в поз. 43, 37, 31, 25, 33, 41, 49 (рис. 38б).
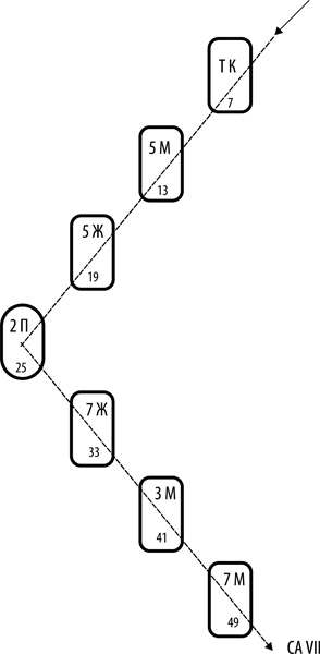
СА 7-й мы находим путем сложения числовых значений МА, находящихся в ПРАВОМ секторе квадрата, а именно: МА в поз. 7, 13, 19, 25, 33, 41, 49 (рис. 38 г).
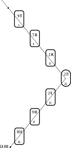
СА 8-й мы находим путем сложения числовых значений МА ЛЕВОГО СЕКТОРА КВАДРАТА, а именно: МА в поз. 1, 9, 17, 25, 31, 37, 43 (рис 38в).
По окончании этапа 3, КРУГА ТРЕТЬЕГО, мы имеем еще восемь СА Таро, соответствующих найденным числовым суммам МА.
Следует иметь в виду, что нумерологические аспекты ПАЖЕЙ = 11, РЫЦАРЕЙ = 12, КОРОЛЕВ (или ДАМ) = 13, КОРОЛЕЙ = 14. ОЧКОВЫЕ, или ЧИСЛОВЫЕ, карты имеют свои номера, то есть ДВОЙКА = 2, ТУЗ = 1 и т. д.

Рис. 38. Схема Круга 3 расклада «Пифагор». Нумерологический расчет I, II, III, IV векторных величин и номеров СА

Рис. 38, а. Круг 3 расклада. Нумерологический расчет V векторной величины

Рис. 38, б. Круг 3 расклада. Нумерологический расчет VI векторной величины

Рис. 38, в. Круг 3 расклада «Пифагор». Нумерологический расчет VIII векторной величины СА

Рис. 38, г. Круг 3 расклада «Пифагор». Нумерологический расчет VII векторной величины СА
ЭТАП 4
Записываем в ряд полученные теоретически СА и проводим анализ результата. ЗАМЕЧАНИЯ:
• если в рядах встречаются двойные СА, то тогда можно приводить (если таких СА еще нет) к одному корню, например: 11 = 1 + 1 = 2, а это номер СА «Верховная Жрица», 13 = 1 + 3 = 4, а это уже номер «Императора», А IV. Номер 10 могут иметь два СА – «Маг» (1) и «Колесо Счастья» (А X). Номер 22 – если он встречается в КРУГАХ дважды, то один можно отдать А IV, ибо 22 = 2 + 2 = 4;
• отдельно выписать те значения номеров СА, рассчитанные в КРУГАХ 1, 2, 3, которые имеют тенденцию повторяться несколько раз, а также те, которых нет вовсе, ведь мы по окончании этапов 1, 2, 3 записываем все СА в ряд по порядку, по этапам, один за другим, в этом-то и заключается своеобразный «подбор» порядка, определения ПУТИ КЛИЕНТА в мироздании методом, который применяется в данном раскладе;
• стараться равномерно распределять СА по ряду, учитывая вышесказанное, а именно: не стоит в ряду дважды повторять СА X, если нет А I, лучше одну 10 отдать Аркану «Маг», то же и с другими числами, сведенными к одному корню и повторенными дважды или трижды;
• в результате мы в конце работы приходим к этапу 5.
ЭТАП 5
ПРОЧТЕНИЕ ПОЛУЧЕННОГО РЯДА и анализ ПУТИ КЛИЕНТА с учетом недостающих СА, не полученных нумерологически в этапах 1, 2, 3, или сдвоенных, или строенных.
Весь путь Клиента предстанет пред нами во всей своей красе и многогранности: анализ личности Клиента мы также проведем без труда (особое значение придавать МА в поз. 25, «центровому» всех КРУГОВ).
Пример 1 расклада «Пифагор»
Расклад «Пифагор» для молодой Дамы, символом которой выбираем Даму Кубков.
Карту-бланку мы выбираем для того, чтобы узнать, если возникнет необходимость во всех трех кругах расклада, какое она занимает положение в КВАДРАТЕ, а если она не выпадет ни в одном из КРУГОВ, мы сделаем соответствующие выводы в конце расклада. А она ведь может и не выпасть, потому что «рабочих» МА в каждом КРУГЕ – 49, а всего МА, как мы помним, 56.
Следует не забывать, что по окончании каждого ЭТАПА, КРУГА РАСКЛАДА, МА собираются вновь все вместе (56), тщательно перемешиваются, а уже после вновь раскладываются в КВАДРАТ того или другого КРУГА.
Рекомендация Мастеру: все тщательно фиксировать в рабочую тетрадь, устный счет может повлечь ошибки, а они недопустимы.
Все семь рядов этапов 1 и 2 можно трактовать как те же СЕМЬ ДОМОВ, которые мы встречали в раскладе «Нивелировка пути», причем этап 1 более апеллирует к ПРОШЛОМУ ВРЕМЕННОМУ ПЛАСТУ, этап 2 – к настоящему, а этап 3 (там Восемь векторов) апеллирует к БУДУЩЕМУ, причем ВОСЬМОЙ ДОМ – ДОМ НЕСБЫВШИХСЯ НАДЕЖД и НЕСОСТОЯВШИХСЯ ПЛАНОВ. Я все покажу на этом примере.
ЭТАП 1, КРУГ ПЕРВЫЙ РАСКЛАДА «ПИФАГОР»
Расклад представлен на рис. 39.
Расчет нумерологических значений Старших Арканов Таро для клиентки для семи горизонтальных рядов 1-го круга.
Примечание
Парные карты МА в каждом РЯДУ выбрасываем из КВАДРАТА, они в расчетах не участвуют. На рис. 39 в каждом ряду они выделены, чтобы не мешать вам проверять счет на основании моих рекомендаций.
Прочитали книгу? Предлагаем вам поделится своим впечатлением! Ваш отзыв будет полезен читателям, которые еще только собираются познакомиться с произведением.
Уважаемые читатели, слушатели и просто посетители нашей библиотеки! Просим Вас придерживаться определенных правил при комментировании литературных произведений.
Просьба отказаться от дискриминационных высказываний. Мы защищаем право наших читателей свободно выражать свою точку зрения. Вместе с тем мы не терпим агрессии. На сайте запрещено оставлять комментарий, который содержит унизительные высказывания или призывы к насилию по отношению к отдельным лицам или группам людей на основании их расы, этнического происхождения, вероисповедания, недееспособности, пола, возраста, статуса ветерана, касты или сексуальной ориентации. Просьба отказаться от оскорблений, угроз и запугиваний. Просьба отказаться от нецензурной лексики. Просьба вести себя максимально корректно как по отношению к авторам, так и по отношению к другим читателям и их комментариям.
Надеемся на Ваше понимание и благоразумие. С уважением, администратор My-Books.me.
Оставить комментарий
-
Александра15 январь 09:37
Очень интересная книга! Особенно, если любишь психологию и хочешь понимать себя и других. Обязательно послушаю до конца. Спасибо....
Кригер Борис – Гнев
-
Галина25 май 13:02
Очень уважаю Артема Шейнина, книга замечательная, очень мне близкая по духу.Перечитываю уже второй раз, столько пережитого и не...
Мне повезло вернуться - Артем Шейнин
-
Екатерина11 январь 08:05
Доброе утро. Подскажите пожалуйста как сохранять книги, ставить закладки?...
Подонок - Анастасия Леманн