Пять нерешенных проблем науки - Чарльз Уинн
Книгу Пять нерешенных проблем науки - Чарльз Уинн читаем онлайн бесплатно и без регистрации! Читать онлайн вы можете не только на компьютере, но и на андроид (Android), iPhone и iPad. Наслаждайтесь!
249 0 09:59, 26-05-2019Книга Пять нерешенных проблем науки - Чарльз Уинн читать онлайн бесплатно без регистрации
Что такое жизнь?
Вспышка светляка в ночи.
Дыеание бизона в зимнюю пору.
Короткая тень, пробежавшая по траве
И потерявшаяся среди заката.
Но каким бы ни был переход Земли от безжизненной к обитаемой планете, он проложил путь к становлению планеты, полной разнообразных форм жизни. Биология занимается изучением этих самых форм жизни и процессов, обеспечивающих их жизнедеятельность. До недавнего времени крупнейшей нерешенной задачей биологии оставалось прочтение молекулярного чертежа, генома, отдельных форм жизни.
Теперь, после расшифровки генома человека и иных форм жизни, задача такова: выяснить, как белковые молекулы, собранные в соответствии с содержащимися в геномах указаниями, участвуют в устроении и жизнедеятельности организмов? Как эти белковые молекулы обеспечивают невероятно сложное молекулярное взаимодействие, именуемое жизнью?
Быстро ешь, быстро расти, быстро размножайся, быстро реагируй… Для клеток спешка — образ жизни.
Каким-то образом молекулы осуществляют все эти жизненно важные отправления клетки. Согласно основам молекулярной биологии сообщение от ДНК переписывается (транскрибируется) в виде РНК, которая затем передает (транслирует) сообщение белкам, длинным цепочкам полимеров с различными боковыми группами, протянувшимися вереницей вдоль повторяющегося остова. Эти белки в свою очередь обеспечивают налаженную работу клетки.
Операционная система жизни превосходит любую версию Windows. Крошечная молекулярная установка жизни решает свои задачи надежно в различных условиях работы и с малыми сбоями. Хотя биология достигла многого в понимании функционирования форм жизни, детали операционной системы жизни столь сложны, что составляют крупнейшую нерешенную проблему биологии.
Чтобы получить представление о природе данной проблемы, рассмотрим некоторые сложности в действиях молекул при отправлении сравнительно простым организмом одной жизненно важной надобности — метаболического разложения молекулы сахара. Данный процесс впервые изучили в 1960-е годы французские ученые Жак Моно, Франсуа Жакоб и Андре Львов. Начнем изыскания с крошечной бактерии, обитающей (обычно вполне мирно) в толстой (ободочной) кишке многих животных и человека. Ее имя Escherichia coli (кишечная палочка) — Е. coli.

Это один из излюбленных объектов исследования у биологов, и поэтому он хорошо изучен. Одна разновидность К-12 вполне безобидна и часто используется в лабораторной работе. Ее полная ДНК (геном) описана и содержит 4 639 221 пару оснований. Из ДНК палочки К-12 транскрибируются 89 РНК, которые в свою очередь строят 4288 различных белков. Обходясь простым (единичным) сахаром, глюкозой и несколькими неорганическими ионами, молекулярный механизм этого выносливого организма способен синтезировать любую органическую молекулу, необходимую для метаболизма, роста, восприятия и воспроизводства. Благодаря своей приспособляемости это крошечное существо выращивается в богатой глюкозой среде в биологических лабораториях по всему миру.
Молекулярная подвижность Е. coli зависит от оперонов — генетических единиц, расположенных на молекуле ДНК, хромосоме, и состоящих из кластера генов с соответствующими функциями. Один из оперонов называется lac-опероном ввиду ключевой роли в метаболизме молочного сахара (лактозы). Lac-оперон содержит три гена, отвечающих за выработку трех белков, импортирующих лактозу в клетку и расщепляющих ее на глюкозу и другой сахар, галактозу.
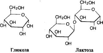
Рассмотрим, как foc-оперон участвует в метаболическом процессе при добавлении лактозы в обычно богатую глюкозой питательную среду. Лактоза, молочный сахар, сложнее глюкозы и состоит из глюкозы с галактозой, образующих одну молекулу, дисахарид (рис. 4.1). После добавления лактозы к среде с присутствием Е. coli происходит то, что описывалось выше. Е. coli переваривает глюкозу, оставляя в неприкосновенности лактозу. Но при нехватке глюкозы в ход идет и она.
Крайне любопытно поведение при этом Е. coli. На время все замирает. Е. coli не влияет на лактозу, другие метаболические реакции идут на убыль, и клетка перестает делиться. Настают трудные времена для Е. coli. Но вскоре начинает действовать лактоза, затем Е. coli. Изучение химических процессов клетки выявляет три новых белка, которых не было, пока хватало глюкозы.

Рис. 4.1. Молекулы глюкозы и лактозы
Эти белки состоят из [галакзид — ]пермеазы, препровождающей молекулы лактозы через мембрану клетки, где они перевариваются; бета-галактозидазы, расщепляющей лактозу на глюкозу и галактозу; и [тиога-лактизид — ]трансацетилазы, чья роль еще полностью не выяснена.
Оперон ДНК — РНК — белки.
Представляется, что присутствие лактозы в клетке служит пусковым механизмом, приводящим в действие транскрипцию РНК, которая производит эти три белковых фермента. На самом же деле все обстоит значительно сложнее. Сигнал к производству различных белковых ферментов задается одновременно наличием лактозы и отсутствием глюкозы. Рассмотрим этот процесс на молекулярном уровне, чтобы выяснить его механизм.
ДНК порой представляют в виде обособленной молекулы, надежно защищенной благодаря своему крепкому сложению, хранящей жизненно важную для клетки информацию. Но это далеко не так. В действительности ДНК постоянно прощупывают, крутят, тормошат, раскрывают различные белковые ферменты. Такая деятельность заставляет эту информационную магистраль изрядно выкладываться.
Все эти действия обусловлены обликом ДНК и распределением электрического заряда. Двойная спираль имеет бороздки, маленькую и большую, а все нуклеотидные основания обладают только им присущим распределением электрического заряда (см.: Список идей, 6. Сборка модели ДНК, где рассказывается, как собирать часть ДНК из набора конструктора). Некоторые белки имеют размер и очертание, приходящиеся «впору» этим бороздкам. Благодаря распределению электрического заряда у белков и ДНК они могут плотно прилегать друг к другу. Однако притяжение не столь сильно, как ковалентные связи внутри каждой молекулы. Такое вкладывание одной молекулы в другую называют связыванием.
Прочитали книгу? Предлагаем вам поделится своим впечатлением! Ваш отзыв будет полезен читателям, которые еще только собираются познакомиться с произведением.
Уважаемые читатели, слушатели и просто посетители нашей библиотеки! Просим Вас придерживаться определенных правил при комментировании литературных произведений.
Просьба отказаться от дискриминационных высказываний. Мы защищаем право наших читателей свободно выражать свою точку зрения. Вместе с тем мы не терпим агрессии. На сайте запрещено оставлять комментарий, который содержит унизительные высказывания или призывы к насилию по отношению к отдельным лицам или группам людей на основании их расы, этнического происхождения, вероисповедания, недееспособности, пола, возраста, статуса ветерана, касты или сексуальной ориентации. Просьба отказаться от оскорблений, угроз и запугиваний. Просьба отказаться от нецензурной лексики. Просьба вести себя максимально корректно как по отношению к авторам, так и по отношению к другим читателям и их комментариям.
Надеемся на Ваше понимание и благоразумие. С уважением, администратор My-Books.me.
Оставить комментарий
-
Александра15 январь 09:37
Очень интересная книга! Особенно, если любишь психологию и хочешь понимать себя и других. Обязательно послушаю до конца. Спасибо....
Кригер Борис – Гнев
-
Галина25 май 13:02
Очень уважаю Артема Шейнина, книга замечательная, очень мне близкая по духу.Перечитываю уже второй раз, столько пережитого и не...
Мне повезло вернуться - Артем Шейнин
-
Екатерина11 январь 08:05
Доброе утро. Подскажите пожалуйста как сохранять книги, ставить закладки?...
Подонок - Анастасия Леманн