Истина и красота. Всемирная история симметрии - Йен Стюарт
Книгу Истина и красота. Всемирная история симметрии - Йен Стюарт читаем онлайн бесплатно и без регистрации! Читать онлайн вы можете не только на компьютере, но и на андроид (Android), iPhone и iPad. Наслаждайтесь!
215 0 08:50, 26-05-2019Книга Истина и красота. Всемирная история симметрии - Йен Стюарт читать онлайн бесплатно без регистрации
Как бы то ни было, Тарталья согласился на участие в дебатах, которые состоялись в августе 1548 года перед большим скоплением народа в Миланской церкви. Не сохранилось никаких отчетов о происшедшем, за исключением нескольких указаний у Тартальи, который пишет, что встреча прервалась, когда приближался решающий раунд. Это может служить намеком на то, что диспут оказался не слишком захватывающим. Кажется, однако, что Феррари умело одержал победу, потому что после этого ему предложили несколько заманчивых должностей, из которых он выбрал пост руководителя налогового управления при правителе Милана и вскоре стал очень богат. Тарталья, напротив, никогда не утверждал, что выиграл дебаты, не получил работу в Брешии, и на его долю достались лишь горькие упреки и обвинения.
Тарталья не мог знать, что Кардано и Феррари заранее продумали совершенно иную линию защиты, для чего отправились в Болонью и изучили там бумаги дель Ферро. Там содержалось первое настоящее решение кубического уравнения, и в последующие годы оба они утверждали, что источником материала, включенного в «Великое искусство», послужил не секрет, доверенный Кардано Тартальей, а исходные записи дель Ферро. Ссылка на Тарталью включалась только для пояснения того, как именно сам Кардано узнал о работе дель Ферро.
У этой истории имеется и последний поворот сюжета. Вскоре после выхода второго издания «Великого искусства», в 1570 году, инквизиция заключила Кардано в тюрьму. Причина ареста могла быть связана с обстоятельством, ранее казавшимся совершенно невинным, — не с содержанием книги, а с ее посвящением. Кардано в свое время решил посвятить ее относительно малоизвестному интеллектуалу Андреасу Осиандеру — второстепенному деятелю Реформации, на которого, однако, пало сильное подозрение в авторстве анонимного предисловия к книге «О вращении небесных сфер» Николая Коперника — первой книге, где говорилось, что планеты движутся не вокруг Земли, а вокруг Солнца. Церковь считала эти взгляды еретическими и в 1600 году сожгла Джордано Бруно за то, что тот продолжал их отстаивать, подвесив его раздетого догола и с кляпом во рту вниз головой на столбе на рыночной площади в Риме. В 1616 году, а потом еще раз, в 1633-м, по сходным причинам она доставила немало неприятностей Галилею, однако на сей раз инквизиция удовлетворилась помещением ученого под домашний арест.
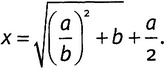
Чтобы оценить, чего же достигли Джироламо и его соотечественники, нам надо вернуться к вавилонским табличкам, которые объясняют, как решать квадратные уравнения. Если следовать их предписанию, но выразить все шаги вычисления в современных обозначениях, мы увидим, что вавилонский писец на самом деле сообщал нам, что решение квадратного уравнения x2 − ax = b есть

Эта формула эквивалентна той, которую наизусть знает каждый школьник и которая в наши дни присутствует во всех справочниках.
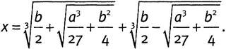
Решение кубического уравнения, данное во времена Возрождения, выглядит похоже, но посложнее. В современных обозначениях оно имеет следующий вид. Пусть x3 + ax = b. Тогда

Коль скоро речь зашла о формулах, то эта среди них — относительно простая (поверьте!), однако для того, чтобы стало возможным записать ее в таком виде, потребовалось развитие большого числа алгебраических идей. Это заведомо самая сложная формула из тех, что нам встретятся в этой книге, и в ней использованы все три типа обозначений, которые я ввел: буквы, приподнятые числа и знак, причем корни здесь как квадратные, так и кубические. Понимания этой формулы от вас не требуется и определенно не требуется производить с ней никаких вычислений. Но важно понять ее общее устройство. Начнем с некоторой терминологии, которая будет нам полезна по мере продвижения вперед.
Алгебраическое выражение вида 2x4 − 7x3 − 4x2 + 9 называется полиномиальным выражением или, иначе говоря, многочленом. Такие выражения образованы путем сложения друг с другом различных степеней неизвестного. Числа 2, −7, −4 и 9, на которые умножаются эти степени, называются коэффициентами. Старшая степень, в которой неизвестное входит в многочлен, называется степенью этого многочлена, так что приведенный выше многочлен имеет степень 4. Имеются специальные названия для многочленов младших степеней (от 1 до 3 включительно): линейный, квадратичный и кубический[18]. Решения соответствующего уравнения 2x4 − 7x3 − 4x2 + 9 = 0 называются корнями многочлена.
Теперь можно разобрать формулу Кардано на части. Она построена из коэффициентов a и b с использованием сложения, вычитания, умножения и деления (но только на определенные целые числа — 2, 4 и 27). Эзотерические аспекты двояки. Имеется квадратный корень — в действительности один и тот же квадратный корень встречается дважды, но один раз он прибавляется, а другой раз вычитается. Наконец, имеются два кубических корня, причем это кубические корни из величин, в которые входят квадратные корни. Так что помимо безобидных алгебраических операций (под которыми я понимаю те, что попросту перемешивают члены) «скелет» решения можно выразить так: «Берем квадратный корень, затем кубический корень; делаем это еще раз; складываем результаты».
Это все, что нам понадобится. Но без этого, я полагаю, нам не обойтись.
Чего математикам эпохи Возрождения сначала никак не удавалось ухватить, пока последующие поколения этого не поняли, так это того факта, что данная формула есть не просто решение одного типа кубических уравнений. Это — полное решение всех типов кубических уравнений, с точностью до простых алгебраических преобразований. Для начала, если кубический член есть, скажем, 5x3, а не x3, то можно просто разделить все уравнение на 5; с этим-то математики эпохи Возрождения неплохо разобрались. Более тонкая идея, которая потребовала тихой революции во взглядах на числа, состоит в том, что если разрешить коэффициентам а и b быть при необходимости отрицательными, то можно избежать бесплодных разграничений между различными случаями. Наконец, имеется чисто алгебраический фокус: если в уравнение входит квадрат неизвестного, от него всегда можно избавиться — надо заменить x на x плюс специальным образом подобранная постоянная, и если все сделать правильно, то слагаемое с квадратом замечательным образом исчезает. Здесь опять же будет легче, если перестать беспокоиться о том, являются ли числа положительными или отрицательными. Наконец, математики Возрождения тревожились по поводу слагаемых, которые полностью отсутствовали в уравнении, в то время как, на наш современный взгляд, средство от их тревоги очевидно: такие слагаемые не столько отсутствуют, сколько имеют перед собой коэффициент, равный нулю. Тогда одна и та же формула применима во всех случаях.
Прочитали книгу? Предлагаем вам поделится своим впечатлением! Ваш отзыв будет полезен читателям, которые еще только собираются познакомиться с произведением.
Уважаемые читатели, слушатели и просто посетители нашей библиотеки! Просим Вас придерживаться определенных правил при комментировании литературных произведений.
Просьба отказаться от дискриминационных высказываний. Мы защищаем право наших читателей свободно выражать свою точку зрения. Вместе с тем мы не терпим агрессии. На сайте запрещено оставлять комментарий, который содержит унизительные высказывания или призывы к насилию по отношению к отдельным лицам или группам людей на основании их расы, этнического происхождения, вероисповедания, недееспособности, пола, возраста, статуса ветерана, касты или сексуальной ориентации. Просьба отказаться от оскорблений, угроз и запугиваний. Просьба отказаться от нецензурной лексики. Просьба вести себя максимально корректно как по отношению к авторам, так и по отношению к другим читателям и их комментариям.
Надеемся на Ваше понимание и благоразумие. С уважением, администратор My-Books.me.
Оставить комментарий
-
Александра15 январь 09:37
Очень интересная книга! Особенно, если любишь психологию и хочешь понимать себя и других. Обязательно послушаю до конца. Спасибо....
Кригер Борис – Гнев
-
Галина25 май 13:02
Очень уважаю Артема Шейнина, книга замечательная, очень мне близкая по духу.Перечитываю уже второй раз, столько пережитого и не...
Мне повезло вернуться - Артем Шейнин
-
Екатерина11 январь 08:05
Доброе утро. Подскажите пожалуйста как сохранять книги, ставить закладки?...
Подонок - Анастасия Леманн