» » » Статистика и котики - Владимир Савельев

Статистика и котики - Владимир Савельев

Книгу Статистика и котики - Владимир Савельев читаем онлайн бесплатно и без регистрации! Читать онлайн вы можете не только на компьютере, но и на андроид (Android), iPhone и iPad. Наслаждайтесь!

172 0 08:51, 26-05-2019
Статистика и котики - Владимир Савельев
26 май 2019
Автор: Владимир Савельев Жанр: Книги / Домашняя Год публикации: 2018 Возрастные ограничения: (18+) Внимание! Аудиокнига может содержать контент только для совершеннолетних.
0 0

Книга Статистика и котики - Владимир Савельев читать онлайн бесплатно без регистрации

Из этой книги вы узнаете, что такое дисперсия и стандартное отклонение, как найти t-критерий Стьюдента и U-критерий Манна-Уитни, для чего используются регрессионный и факторный анализы, а также многое и многое другое. И все это — на простых и понятных примерах из жизни милых и пушистых котиков, которые дарят нам множество приятных эмоций.
1 2 3
Перейти на страницу:
Ознакомительный фрагмент

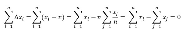
Логично было бы предположить, что чем больше у нас будет котиков с сильным отклонением, тем более разнообразными будут наши котики по размеру. И, чтобы понять, какое отклонение является для наших котиков наиболее типичным, мы можем просто найти среднее значение по этим отклонениям (т. е. сложить все отклонения и поделить их на количество котиков).


Статистика и котики

Однако если мы это сделаем, то получим 0. Для недоверчивых привожу доказательство:


Статистика и котики

Это происходит, поскольку одни отклонения являются положительными (когда Барсик больше среднего), а другие — отрицательными (когда Барсик меньше среднего). Поэтому необходимо избавиться от знака. Сделать это можно двумя способами: либо взять модуль от отклонений, либо возвести их в квадрат, который, как мы помним, всегда положителен. Последнее применяется чаще.


Статистика и котики

И, если мы найдем среднее от квадратов отклонений, мы получим то, что называется дисперсией. Однако, к большому сожалению, квадрат в этой формуле делает дисперсию очень неудобной для оценки разнообразия котиков: если мы измеряли размер в сантиметрах, то дисперсия имеет размерность в квадратных сантиметрах. Поэтому для удобства использования дисперсию берут под корень, получая по итогу показатель, называемый среднеквадратическим отклонением.


Статистика и котики

К несчастью, дисперсия и среднеквадратическое отклонение так же неустойчивы к выбросам, как и среднее арифметическое.

Среднее значение и среднеквадратическое отклонение очень часто совместно используются для описания той или иной группы котиков. Дело в том, что, как правило, большинство (а именно около 68%) котиков находится в пределе одного среднеквадратического отклонения от среднего. Эти котики обладают так называемым нормальным размером. Оставшиеся 32% либо очень большие, либо очень маленькие. В целом же для большинства котиковых признаков картина выглядит вот так.


Статистика и котики

Такой график называется нормальным распределением признака.

Таким образом, зная всего два показателя, вы можете с достаточной долей уверенности сказать, как выглядит типичный котик, насколько разнообразными являются котики в целом и в каком диапазоне лежит норма по тому или иному признаку.


НЕМАЛОВАЖНО ЗНАТЬ!

Выборка, генеральная совокупность и два вида дисперсии


Чаще всего нас, как исследователей, интересуют все котики без исключения. Статистики называют этих котиков генеральной совокупностью. Однако на практике мы не можем замерить всю генеральную совокупность — как правило, мы работаем только с небольшим количеством котиков, называемым выборкой.


Статистика и котики

Очень важно, чтобы выборка была максимально похожа на генеральную совокупность. Степень такой похожести называется репрезентативностью.

Необходимо запомнить, что существует две формулы дисперсии: одна для генеральной совокупности, другая — для выборки. В знаменателе первой всегда стоит точное количество котиков, а у второй — ровно на одного котика меньше.


Статистика и котики

Корень из дисперсии генеральной совокупности, как уже было сказано, называется среднеквадратическим отклонением. А вот корень из дисперсии по выборке называется стандартным отклонением.

Однако не будет большой ошибкой, если вы будете пользоваться терминами стандартное отклонение генеральной совокупности и стандартное отклонение выборки. Чаще всего именно последнее и рассчитывается для реальных исследований.

Глава 2.
Картинки с котиками
или средства визуализации данных

В предыдущей главе мы говорили про показатели, которые помогают определить, какой размер является для котиков типичным и насколько он бывает разнообразным. Но когда нам требуется получить более полные и зрительно осязаемые представления о котиках, мы можем прибегнуть к так называемым средствам визуализации данных.

Первая группа средств показывает, сколько котиков обладает тем или иным размером. Для их использования необходимо предварительно построить так называемые таблицы частот. В этих таблицах есть два столбика: в первом указывается размер (или любое другое котиковое свойство), а во втором — количество котиков при данном размере.


Статистика и котики

Это количество, кстати, и называется частотой. Эти частоты бывают абсолютными (в котиках) и относительными (в процентах).

С таблицами частот можно делать много интересных вещей. Например, построить столбиковую диаграмму. Для этого мы откладываем две перпендикулярных линии: горизонтальная будет обозначать размер, а вертикальная — частоту. А затем — рисуем столбики, высота которых будет соответствовать количеству котиков того или иного размера.


Статистика и котики

А еще мы можем вместо столбиков нарисовать точки и соединить их линиями. Результат называется полигоном распределения. Он довольно удобен, если котиковых размеров действительно много.


Статистика и котики

Наконец, мы можем построить круговую диаграмму. Величина каждого сектора такой диаграммы будет соответствовать проценту котиков определенного размера.


Статистика и котики

1 2 3
Перейти на страницу:
  1. Жалоба
Отзывы - 0

Прочитали книгу? Предлагаем вам поделится своим впечатлением! Ваш отзыв будет полезен читателям, которые еще только собираются познакомиться с произведением.


Уважаемые читатели, слушатели и просто посетители нашей библиотеки! Просим Вас придерживаться определенных правил при комментировании литературных произведений.

Просьба отказаться от дискриминационных высказываний. Мы защищаем право наших читателей свободно выражать свою точку зрения. Вместе с тем мы не терпим агрессии. На сайте запрещено оставлять комментарий, который содержит унизительные высказывания или призывы к насилию по отношению к отдельным лицам или группам людей на основании их расы, этнического происхождения, вероисповедания, недееспособности, пола, возраста, статуса ветерана, касты или сексуальной ориентации. Просьба отказаться от оскорблений, угроз и запугиваний. Просьба отказаться от нецензурной лексики. Просьба вести себя максимально корректно как по отношению к авторам, так и по отношению к другим читателям и их комментариям.

Надеемся на Ваше понимание и благоразумие. С уважением, администратор My-Books.me.


Новые отзывы

  1. Александра Александра15 январь 09:37 Очень интересная книга! Особенно, если любишь психологию и хочешь понимать себя и других. Обязательно послушаю до конца. Спасибо.... Кригер Борис – Гнев
  2. Галина Галина25 май 13:02 Очень уважаю Артема Шейнина, книга замечательная, очень мне близкая по духу.Перечитываю уже второй раз, столько пережитого и не... Мне повезло вернуться - Артем Шейнин
  3. Екатерина Екатерина11 январь 08:05 Доброе утро. Подскажите пожалуйста как сохранять книги, ставить закладки?... Подонок - Анастасия Леманн
Все комметарии
Новинки бесплатной онлайн библиотеки