Энциклопедия каратэ. История и философия, теория и практика, педагогические принципы и методики обучения - Василий Микрюков
Книгу Энциклопедия каратэ. История и философия, теория и практика, педагогические принципы и методики обучения - Василий Микрюков читаем онлайн бесплатно и без регистрации! Читать онлайн вы можете не только на компьютере, но и на андроид (Android), iPhone и iPad. Наслаждайтесь!
346 0 22:50, 24-05-2019Книга Энциклопедия каратэ. История и философия, теория и практика, педагогические принципы и методики обучения - Василий Микрюков читать онлайн бесплатно без регистрации
Декомпозиция цели заключается в ее сведении к альтернативной совокупности подцелей (задач), затем к множеству альтернативных подцелей, затем к множеству альтернативных подцелей этих подцелей и т. д. В результате цель последовательно разбивается на все более простые цели (задачи), которые могут быть достигнуты простейшим путем. В основе этого способа лежат такие принципы системного анализа, как:
● средства (в том числе альтернативные) достижения цели вытекают из самой цели;
● подцели нижнего уровня являются средствами достижения подцелей верхнего уровня.
Эти принципы системного анализа позволяют получить совокупность взаимосвязанных задач для достижения поставленной цели. Его сущность состоит в том, что в результате анализа определяются задачи обучения каратэ. Эти задачи определяют первый уровень подцелей. Затем анализ проводится по двум основным направлениям. Первое – определение вклада той или иной задачи в достижение цели обучения каратэ. Второе – поиск наиболее эффективных методов обучения каратэ. Тем самым определяется второй уровень подцелей. После этого определяется сочетание способов обучения каратэ. В результате этого получается третий уровень подцелей (задач).
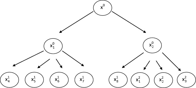
Граф подцелей и задач, полученный в результате декомпозиции цели обучения каратэ в соответствии с предложенным методическим подходом, приведен на рис. 1. В таблице 1 показано соответствие вершин графа цели задачам обучения каратэ.
Процесс декомпозиции цели может быть продолжен и дальше, как по горизонтали, так и по вертикали. Однако излишняя детализация отдельных задач приводит к снижению общности представления о проблеме исследования. В данном случае уже на третьем уровне получаем совокупность задач, которые дают достаточно четкое и полное представление о содержании процесса обучения каратэ.
В результате мы получили практически структуру обучения каратэ. При этом возникает необходимость определения значимости (важности) задач внутри каждого уровня. Эта задача может быть решена в общем случае следующим образом.
Рис. 1. Граф целей и задач обучения каратэ

Таблица 1
Cоответствие целей и задач обучения каратэ вершинам графа на рис. 1

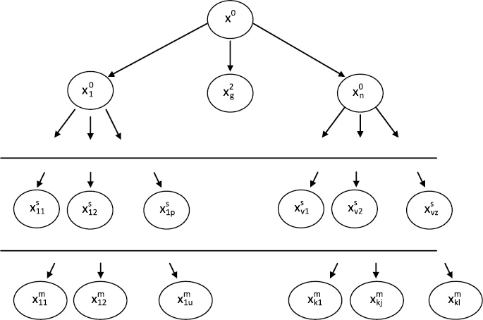
Допустим, имеем m – уровневый граф цели и задач обучения каратэ (рис. 2).
Рис. 2. Многоуровневый граф цели и задач

Вершинам графа поставлены в соответствие цель (задачи), а дугам – отношения между целью (задачами) разных рангов. Подцели любого нижнего уровня рассматриваются как задачи, решение которых приводит к достижению подцелей верхнего уровня.
Примем следующие обозначения:
xsvν – ν-я вершина v-го ранга s-й подцели (задачи);
0 ≤ s ≤ l, 1 ≤ v ≤ p;
1 ≤ ν ≤ vs;
vts – количество вершин v-го ранга s-й подцели (задачи);
rsvz – дуга графа.
Верхний индекс (s) указывает подцель (задачу), из которой выходит дуга. Первый нижний индекс v – ранг подцели (задачи), из которой выходит дуга, z – номер вершины (v+1) – го ранга, в которую входит дуга. Дуги rsvz могут характеризовать отношение значимости (вклада, важности) решения z-й задачи (v+1) – го ранга для достижения s-й подцели v-го ранга, если им в соответствие поставить весовые коэффициенты gvz, так, что:
v+1
0 ≤ gsvz ≤ l, при этом Σgsvz (1)
z=1
Таким образом, сумма весов всех дуг, исходящих из любой вершины xsvν, равна единице. Следовательно, для каждой задачи мы можем записать вектор столбец gsv весовых коэффициентов всех выходящих из них дуг:

Из вектор-столбцов образуем матрицу:
Qsv = gsvν, (3)
где
1 ≤ v ≤ p, 1 ≤ ν ≤ vs, 0 ≤ s ≤ l
Введем вектор весовых коэффициентов значимости (важности) подцелей (задач) ранга.
Ps = (Ps1, Ps2…, Psj…, Psvs),
0 ≤ Ps1 ≤ 1
vs
Σ Psj = 1 (4)
j=1
где
Psj – коэффициенты значимости j-й подцели (задачи, метода, способа) внутри v-го ранга.
Вектор весовых коэффициентов значимости задач (v+1) ранга будет определяться выражением:
Pjs+1 = Qsv Psj, (5)
Считается, что коэффициент значимости для цели x всегда равен единице. С учетом этого, имея матрицы, которые получили название «цели-средства», можно в соответствии с выражением (5) определить значимости подцелей (задач, методов, способов) всех рангов.
Весовые коэффициенты могут быть определены известными методами экспертных оценок.
Достаточно просто реализуемым на практике является метод определения весовых коэффициентов задач, который обладает достаточно высокой универсальностью в смысле возможной области его применения.
В соответствии с этим методом была проведена оценка весовых коэффициентов задач обучения каратэ. Результаты оценки приведены в таблице 2.
Таблица 2
Результаты оценки весовых коэффициентов задач обучения каратэ
Прочитали книгу? Предлагаем вам поделится своим впечатлением! Ваш отзыв будет полезен читателям, которые еще только собираются познакомиться с произведением.
Уважаемые читатели, слушатели и просто посетители нашей библиотеки! Просим Вас придерживаться определенных правил при комментировании литературных произведений.
Просьба отказаться от дискриминационных высказываний. Мы защищаем право наших читателей свободно выражать свою точку зрения. Вместе с тем мы не терпим агрессии. На сайте запрещено оставлять комментарий, который содержит унизительные высказывания или призывы к насилию по отношению к отдельным лицам или группам людей на основании их расы, этнического происхождения, вероисповедания, недееспособности, пола, возраста, статуса ветерана, касты или сексуальной ориентации. Просьба отказаться от оскорблений, угроз и запугиваний. Просьба отказаться от нецензурной лексики. Просьба вести себя максимально корректно как по отношению к авторам, так и по отношению к другим читателям и их комментариям.
Надеемся на Ваше понимание и благоразумие. С уважением, администратор My-Books.me.
Оставить комментарий
-
Александра15 январь 09:37
Очень интересная книга! Особенно, если любишь психологию и хочешь понимать себя и других. Обязательно послушаю до конца. Спасибо....
Кригер Борис – Гнев
-
Галина25 май 13:02
Очень уважаю Артема Шейнина, книга замечательная, очень мне близкая по духу.Перечитываю уже второй раз, столько пережитого и не...
Мне повезло вернуться - Артем Шейнин
-
Екатерина11 январь 08:05
Доброе утро. Подскажите пожалуйста как сохранять книги, ставить закладки?...
Подонок - Анастасия Леманн