Кому нужна математика? Понятная книга о том, как устроен цифровой мир - Андрей Райгородский
Книгу Кому нужна математика? Понятная книга о том, как устроен цифровой мир - Андрей Райгородский читаем онлайн бесплатно и без регистрации! Читать онлайн вы можете не только на компьютере, но и на андроид (Android), iPhone и iPad. Наслаждайтесь!
223 0 08:43, 26-05-2019Книга Кому нужна математика? Понятная книга о том, как устроен цифровой мир - Андрей Райгородский читать онлайн бесплатно без регистрации
Нечто похожее происходит и с вероятностью связности сети, если изменять вероятность недоступности каналов. Оказывается, надежность сети меняется не постепенно, а очень резко. Если вероятность помехи меньше критического значения, то с подавляющей вероятностью связность сохраняется. Но стоит хотя бы немного пересечь критическую черту – и сеть почти наверняка распадется.
На рис. 4.7 показан пример сети из 100 компьютеров. Согласно результатам Эрдеша – Реньи, критическая вероятность помех в такой сети равна 95,4 %. Слева вероятность помехи 95 %, то есть меньше критического значения. Как видите, связность сети сохранилась. Мы неоднократно повторили эксперимент, но получить несвязную сеть нам так и не удалось. На рисунке справа вероятность помехи 96 %. И что же? Одна точка оторвалась от сети, связность потеряна. Опять же как мы ни старались повторить эксперимент, связной сети мы не получили ни разу. Результат впечатляет тем, насколько тонкой оказывается грань между связностью и несвязностью!

Рис. 4.7. Сеть из 100 компьютеров в виде графа. Слева: вероятность недоступности канала 95 %; связность сохраняется. Справа: вероятность недоступности канала 96 %; связность нарушена
Если вероятность помех в точности равна критической, то произойдет примерно то же самое, что и с водой и снегом при нуле градусов: может получиться и так и эдак. В нашем случае вероятность сохранения связности приблизительно составит 36,79 %.
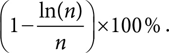
Критическая вероятность недоступности канала для сети размера п вычисляется по формуле

Для примера мы приводим несколько значений в табл. 4.3.
Таблица 4.3. Результат Эрдеша – Реньи: критическая вероятность помех. Если вероятность помех меньше критической, связность сети сохраняется, а если больше – разрушается

Подобные фазовые переходы типичны для теории случайных графов. Эти результаты самые интересные, потому что многое говорят о природе сетей на практике. Состояние сети – это, как правило, две крайности. Социальная сеть либо становится популярной, либо умирает. Компьютерный вирус распространяется с огромной скоростью и размахом или сходит на нет в самом начале. И реальность, и математика подтверждают: среднего не дано. К сожалению, нам далеко не всегда известны критические значения и главное мы не знаем каким образом удержаться по правильную сторону от фазового перехода.
Глубокие математические доказательства часто строятся на очень простых интуитивных идеях. Результат Эрдеша – Реньи – блестящий пример данной закономерности[11].
Математики заметили, что наиболее вероятный способ разрушить связность сети – отрезать один узел от всех каналов связи. Группу узлов отрезать гораздо труднее, потому что число каналов, которые связывают ее и остальную часть сети, относительно большое. Маловероятно, что все эти каналы недоступны. Тогда изначально сложный вопрос:
С какой вероятностью разрушится связность сети?
сводится к гораздо более простому вопросу:
С какой вероятностью хотя бы один из узлов потеряет все свои каналы связи?
Чтобы доказать, что эти вероятности приблизительно равны, понадобятся длинные и нетривиальные математические выкладки. Но доказать это можно, и усилия оправдываются, потому что второй вопрос гораздо проще первого.
Например, если у нас 100 узлов и вероятность помехи 0,96, то каждый узел может оказаться оторванным от всех 99 других узлов с вероятностью
(0,96)99 (×100 %)
Это очень специфическое выражение: число, близкое к единице, возведенное в большую степень. Такие выражения хорошо известны в математике и относятся к так называемым замечательным пределам, из которых, по сути дела, и следует результат.
Результаты Эрдеша – Реньи полностью не решают проблемы устойчивости интернета. Их модель не очень похожа на реальный интернет. Например, в модели Эрдеша – Реньи число линий у разных узлов обычно близко к среднему. В интернете же разброс между серверами очень большой. У одних серверов сотни каналов связи, а у других – всего два-три.
В 2000 году журнал Nature опубликовал статью «Устойчивость к помехам и атакам в больших сетях»{11}. Авторы-физики, в том числе и весьма влиятельный и знаменитый ученый Ласло Барабаши, взяли данные небольшой части интернета и с помощью компьютерных экспериментов решили посмотреть, что произойдет, если по одному выводить из строя серверы.
Результаты получились нетривиальные. Если серверы выходят из строя случайным образом, например из-за помех, то связность сети долго сохраняется. Но если целенаправленно вывести из строя несколько серверов с самым большим количеством каналов связи, то сеть быстро распадется. Вывод звучал сенсационно: интернет надежный и в то же время довольно хрупкий. Он устойчив к помехам, но чувствителен к атакам!
Эта работа быстро приобрела широкую известность. Только инженеры, работающие в этой сфере, с недоумением пожимали плечами: «Не может быть, наши сети очень надежные!» Результаты Барабаши и соавторов вызвали волну критики, особенно резкая критика прозвучала в вышедшей в 2005 году статье специалистов по телекоммуникациям{12}.
Одним из главных аргументов критиков было то, что в интернете ключевыми являются не многоканальные серверы, а те, через которые проходит наибольшее количество информационного трафика{13}. В интернете у некоторых серверов действительно много каналов связи, но зачастую эти серверы находятся на периферии. За трафик в основном отвечает плотная сеть узлов посередине – опорная сеть. Интуитивно понятно, что для того чтобы разрушить столь густую сеть маршрутов, нужно вывести из строя большое количество серверов. Скорее всего, в ближайшем будущем интернет не развалится!
Прочитали книгу? Предлагаем вам поделится своим впечатлением! Ваш отзыв будет полезен читателям, которые еще только собираются познакомиться с произведением.
Уважаемые читатели, слушатели и просто посетители нашей библиотеки! Просим Вас придерживаться определенных правил при комментировании литературных произведений.
Просьба отказаться от дискриминационных высказываний. Мы защищаем право наших читателей свободно выражать свою точку зрения. Вместе с тем мы не терпим агрессии. На сайте запрещено оставлять комментарий, который содержит унизительные высказывания или призывы к насилию по отношению к отдельным лицам или группам людей на основании их расы, этнического происхождения, вероисповедания, недееспособности, пола, возраста, статуса ветерана, касты или сексуальной ориентации. Просьба отказаться от оскорблений, угроз и запугиваний. Просьба отказаться от нецензурной лексики. Просьба вести себя максимально корректно как по отношению к авторам, так и по отношению к другим читателям и их комментариям.
Надеемся на Ваше понимание и благоразумие. С уважением, администратор My-Books.me.
Оставить комментарий
-
Александра15 январь 09:37
Очень интересная книга! Особенно, если любишь психологию и хочешь понимать себя и других. Обязательно послушаю до конца. Спасибо....
Кригер Борис – Гнев
-
Галина25 май 13:02
Очень уважаю Артема Шейнина, книга замечательная, очень мне близкая по духу.Перечитываю уже второй раз, столько пережитого и не...
Мне повезло вернуться - Артем Шейнин
-
Екатерина11 январь 08:05
Доброе утро. Подскажите пожалуйста как сохранять книги, ставить закладки?...
Подонок - Анастасия Леманн