О чем говорят цифры. Как понимать и использовать данные - Ким Хо
Книгу О чем говорят цифры. Как понимать и использовать данные - Ким Хо читаем онлайн бесплатно и без регистрации! Читать онлайн вы можете не только на компьютере, но и на андроид (Android), iPhone и iPad. Наслаждайтесь!
283 0 17:32, 21-05-2019Книга О чем говорят цифры. Как понимать и использовать данные - Ким Хо читать онлайн бесплатно без регистрации
Моделирование (выбор переменных). Модели оптимизации маркетинг-микса, приобретавшие все большую популярность в крупных компаниях и применявшиеся для оптимизации маркетинговых расходов, обычно включают показатели маркетингового отклика, расходов на сбыт и рентабельности отдельных видов продуктов. Ежемесячную или еженедельную сумму расходов на рекламу и сбыт, а также оптимальный уровень цен на продукты можно рассчитать с помощью оптимизационных моделей методами линейного и нелинейного программирования. В качестве критериев принимаются максимальное увеличение объема продаж, рентабельности или обоих показателей. Модели позволяют определить, какие средства массовой информации выбирать для размещения рекламы, чтобы ее эффект был максимальным. Как правило, в них включается ряд «контрольных» переменных, которые могут повлиять на расходы и поведение потребителей: это, например, погода или макроэкономические факторы.
Сбор данных. Для Transitions Optical этот шаг оказался наиболее трудным, поскольку компания работает с посредниками (например, с оптическими лабораториями), а с конечными потребителями практически не контактирует и не имеет о них информации. Соответственно, невозможно адекватно определить, заметил ли потребитель рекламу и повлияло ли это на объем продаж. Transitions Optical пришлось в течение нескольких лет вести сбор данных о потребителях через своих торговых партнеров (а среди них были и конкуренты их материнских компаний). Ленски когда-то возглавлял дистрибьюторскую фирму, поэтому занимался организацией сбора данных. Данные о потребителях попадали в Transitions Optical в тридцати разных форматах, но в итоге их удалось конвертировать и объединить в общую базу. Ленски замечал, что его департаменту маркетинга пришлось упорно убеждать различные подразделения в необходимости предоставить необходимые данные. Предыдущий аналитический проект пришлось проводить, не опираясь на общую базу данных.
Анализ данных. Transitions Optical наняла внешнего консультанта для анализа данных, поскольку никто из постоянных сотрудников не имел опыта работы с оптимизационными моделями маркетинг-микса. Сначала такой анализ занимал несколько месяцев, поскольку требовалось сначала собрать данные, затем разработать модель с учетом многочисленных внешних факторов, влияющих на поведение потребителей (погода, маркетинговые акции конкурентов и т. п.). Сейчас такие модели в достаточной степени апробированы и отработаны, поэтому результат можно получить в течение нескольких дней.
Результаты и необходимые меры. Менеджеры компании чувствовали, что интерпретация результатов анализа и оформление их для клиента – очень серьезная работа, так что для этого в штат наняли специальных сотрудников. Они ознакомились с разработанной внешним консультантом оптимизационной моделью, совместно с топ-менеджерами обсудили ее особенности и степень соответствия их взглядам на ситуацию на рынке. В итоге Transitions Optical приняла решение увеличить расходы на сбыт, в частности на телевизионную рекламу.
Под названием People vs. Collins известен суд присяжных, слушавший нашумевшее дело супругов Коллинз, в ходе которого математические методы и теория вероятности были использованы для доказательства виновности подсудимых. Однако проблему идентифицировали неверно, и результат оказался неутешительным[25]. Суд признал Малкольма Коллинза и его жену Джанет Коллинз виновными в ограблении второй степени. Малкольм обжаловал это решение, и Верховный суд штата Калифорния отменил его, подвергнув сомнению результаты статистических выкладок и способ их представления в суде. Рассмотрим этот случай в соответствии с требованиями к стандартной процедуре количественного анализа.
Определение проблемы. Сделав кое-какие покупки, миссис Хуанита Брукс шла домой по переулку в районе Сан-Педро. Внезапно ее швырнул на землю человек, лица которого ей не удалось разглядеть. Придя в себя от шока и болезненного ушиба, миссис Брукс обнаружила пропажу кошелька, в котором оставалось от 35 до 40 долларов. Очевидец происшествия сообщил, что грабителей было двое: чернокожий мужчина с бородой и усами и белая женщина с белокурыми волосами, завязанными в конский хвост. Они скрылись с места преступления на желтой машине. Подозреваемых задержали быстро, но идентифицировать их как лиц, совершивших ограбление, не удалось и через неделю. Потерпевшая не смогла опознать Джанет Коллинз и не видела лица мужчины. Показаний свидетеля также оказалось недостаточно. Прокурор, видимо, стремясь спасти разваливающееся дело, решил построить обвинение на расчете вероятности случайного совпадения внешности обвиняемых с описанной свидетелем.
Изучение предыдущих поисков решения. Известно, что обычно суд не считает несовместимыми математические расчеты и право и не отрицает, что математику можно использовать в качестве инструмента для поиска доказательств. Существует несколько судебных прецедентов, когда обвинение использовало математическую вероятность для доказательства вины подсудимого.
Моделирование (выбор переменных). Прокурор решил рассчитать математическую вероятность того, что внешность и машина задержанных супругов Коллинз случайно совпали с описанием преступников.
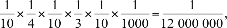
Сбор данных. Прокурор вызвал в качестве свидетеля преподавателя математики из местного колледжа. В своих показаниях он постарался убедить присяжных в том, что вероятность совпадения характерных особенностей случайной пары жителей города с описанием преступников ничтожна. В данном случае частные вероятности совпадения каждой из особенностей, упомянутых в описании преступников, можно оценить следующим образом:

Анализ данных. Преподаватель математики предположил, что все эти частные вероятности независимы, и тогда вероятность их совпадения можно рассчитать, перемножив показатели из таблицы.
Р(А) = вероятность того, что произвольно выбранная пара совпадет по описанию с описанием подозреваемых равна

или один шанс из 12 миллионов.
Презентация результатов и проведение мероприятий. Прокурор заключил, что вероятность наличия у случайно выбранной пары всех указанных характерных особенностей составляет один шанс на двенадцать миллионов. Соответственно, отсюда можно сделать вывод о том, что у пары, у которой присутствуют все эти особенности, лишь один шанс из двенадцати миллионов оказаться невиновными. Жюри присяжных вынесло вердикт: «Виновны».
Прочитали книгу? Предлагаем вам поделится своим впечатлением! Ваш отзыв будет полезен читателям, которые еще только собираются познакомиться с произведением.
Уважаемые читатели, слушатели и просто посетители нашей библиотеки! Просим Вас придерживаться определенных правил при комментировании литературных произведений.
Просьба отказаться от дискриминационных высказываний. Мы защищаем право наших читателей свободно выражать свою точку зрения. Вместе с тем мы не терпим агрессии. На сайте запрещено оставлять комментарий, который содержит унизительные высказывания или призывы к насилию по отношению к отдельным лицам или группам людей на основании их расы, этнического происхождения, вероисповедания, недееспособности, пола, возраста, статуса ветерана, касты или сексуальной ориентации. Просьба отказаться от оскорблений, угроз и запугиваний. Просьба отказаться от нецензурной лексики. Просьба вести себя максимально корректно как по отношению к авторам, так и по отношению к другим читателям и их комментариям.
Надеемся на Ваше понимание и благоразумие. С уважением, администратор My-Books.me.
Оставить комментарий
-
Александра15 январь 09:37
Очень интересная книга! Особенно, если любишь психологию и хочешь понимать себя и других. Обязательно послушаю до конца. Спасибо....
Кригер Борис – Гнев
-
Галина25 май 13:02
Очень уважаю Артема Шейнина, книга замечательная, очень мне близкая по духу.Перечитываю уже второй раз, столько пережитого и не...
Мне повезло вернуться - Артем Шейнин
-
Екатерина11 январь 08:05
Доброе утро. Подскажите пожалуйста как сохранять книги, ставить закладки?...
Подонок - Анастасия Леманн