Расовые различия в интеллекте. Эволюционный анализ - Ричард Линн
Книгу Расовые различия в интеллекте. Эволюционный анализ - Ричард Линн читаем онлайн бесплатно и без регистрации! Читать онлайн вы можете не только на компьютере, но и на андроид (Android), iPhone и iPad. Наслаждайтесь!
198 0 13:41, 25-05-2019Книга Расовые различия в интеллекте. Эволюционный анализ - Ричард Линн читать онлайн бесплатно без регистрации
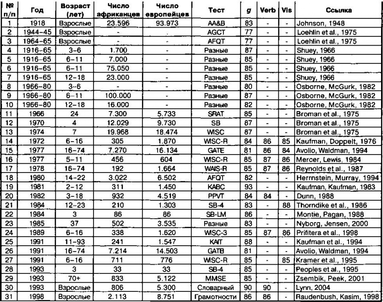
В строке 1 даны результаты первого из больших исследований — среди призывников в период Первой Мировой войны, проводившегося с помощью объединённых армейских Альфа и Бета тестов, которые измеряли невербальный и вербальный IQ и впоследствии легли в основу тестов Векслера. Число европеоидов составляло 93.973 чел.

В строке 2 приведены данные для призывников Второй Мировой войны, а в строке 3 — результаты тестирования призывников Вьетнамской войны. Примечательно, что средний IQ африканцев в периоды Второй Мировой и Вьетнамской войн был ниже (77 баллов), чем в период Первой Мировой войны, и ниже обычно приводимого среднего значения IQ афроамериканцев в Соединенных Штатах (85 баллов). В строках 4–7 приведены результаты компиляции всех американских исследований, выполненной Шу. В строке 4 дан IQ 87, полученный по данным 17 исследований среди дошкольников. В строке 5 представлен IQ 85, определённый по результатам 26 исследований среди учащихся начальной школы с использованием индивидуальных тестов, таких как тест Стенфорд-Бине. В строке 6 приведён IQ 85 для учащихся начальной школы, полученный по 103 исследованиям с применением тестов вербальной способности и 41 исследованию с помощью тестов невербальной способности. В строке 7 дан IQ 85 для студентов высшей школы. В строках 8,9 и 10 представлены результаты Осборна и Мак-Гурка (Osbome, McGurk, 1982), дополнивших суммарные данные американских исследований результатами работ, опубликованных в период 1976–1980 гг. В строке 8 дан IQ 80, полученный из результатов 66 исследований среди дошкольников 3–5 лет. В строке 9 приведён IQ 87, полученный по данным 126 исследований среди учащихся начальной школы, а в строке 10 — IQ 82, полученный по данным 17 исследований среди учащихся средней школы.
В строках 11,12 и 13 (Broman и др., 1975) даны результаты тестирования трёх больших выборок испытуемых, не представленных в обзоре Осборна и Мак-Гурка. В строке 11 приведён IQ в 85 баллов для африканских матерей, тестировавшихся в ходе выполнения Национального Коллаборативного Перинатального проекта, а в строках 12 и 13 — IQ их детей в возрасте 4 и 7 лет, составивший 87 баллов. В строке 14 представлен IQ общего интеллекта африканцев в 86 баллов по данным выборки теста стандартизации теста WISC-R. В строке 15 дан IQ в 81 балл для общего интеллекта, в 86 баллов для вербального интеллекта и в 84 балла для способности к визуализации среди работающих по найму (данные собраны Службой занятости Соединенных Штатов). В строке 16 дан IQ 85 для общего интеллекта афроамериканцев, 87 для вербального и 86 для способности к визуализации по выборке из Калифорнии. В строке 17 приведён IQ 85 для общего интеллекта, 87 для вербальной способности и 86 для способности к визуализации (по данным выборки стандартизации теста WAIS-R). В строке 18 представлен IQ 82, полученный с помощью теста AFQT. В строке 19 дан IQ 93 по данным выборки стандартизации теста К-АВС. В строке 20 даётся словарный IQ в 85 баллов по данным выборки стандартизации словарного теста Пибоди в картинках. В строке 21 представлен IQ в 83 балла, полученный по данным выборки стандартизации теста Стенфорд-Бине-4. Афроамериканцы из этой выборки получили IQ для кратковременной памяти в 89 баллов, что согласуется с результатами многих других исследователей, согласно которым афроамериканцы сравнительно успешно выполняют тесты на кратковременную память. В строке 22 дан IQ 86 для 3-летних детей по данным выборки стандартизации теста Стенфорд-Бине-LM. В строке 23 приведён IQ 83, вычисленный из значений первого главного фактора как меры общего интеллекта, полученных у военнослужащих. В строке 24 представлен IQ 85 по данным выборки стандартизации теста WISC-3. В строке 25 дан IQ 88 по данным выборки стандартизации теста интеллекта Кауфмана для подростков и взрослых. В строке 26 дан IQ 81 для выборки работающих по найму (данные собраны Службой занятости Соединенных Штатов). В строке 27 приведён IQ 85 для способности к визуализации из оценок субтеста упорядочивания блоков теста WISC-R (по данным национальной выборки NHANES III).
Приведённый в строке 28IQ в 85 баллов получен у детей в возрасте от 3,0 до 3,4 лет по данным выборки стандартизации теста Стенфорд-Бине-4. В строке 29 дан IQ 85 для репрезентативной выборки испытуемых возраста 70 лет и старше из континентальных Соединенных Штатов (т. е., исключая Аляску и Гавайи). В строке 30 дан словарный IQ взрослых афроамериканцев в 90 баллов, полученный в исследованиях NORC за 1990-96 гг. на репрезентативной выборке из континентальных Соединенных Штатах. Это необычно высокое значение можно приписать краткости теста, состоящего в определении значений десяти слов. В строке 31 приведён IQ в 86 баллов по данным Национального исследования грамотности взрослых 1992 года, тест состоял в оценке понимания вербального материала и выполнении арифметических заданий испытуемыми репрезентативной выборки из континентальных Соединенных Штатов.
Из результатов исследований интеллекта афроамериканцев можно сделать пять выводов. Во-первых, медиана IQ составляет 85 баллов, это значение многими считается наилучшей оценкой IQ афроамериканцев. Эта оценка близка к значению в 83,5 балла, полученному в итоге мета-анализа данных 105 исследований, проведённых в общей сложности среди 6.246.729 испытуемых (Roth, Bevier, Bobko, Switzer, Tyler, 2001). Вариации средних значений, полученных в разных исследованиях, вызваны, вероятно, различиями выборок, ошибками измерения и различиями способностей испытуемых, измеряемых разными тестами. Во многих исследованиях было показано, что африканцы относительно хорошо справляются с тестами памяти, таким образом, величина африканско-европейского различия отражает в некоторой мере степень, в которой тесты памяти представлены в показателях интеллекта. Например, одно из наиболее высоких значений IQ в таблице (88 баллов) было получено по тесту KAIT Кауфмана. Этот тест содержит семь субтестов, из которых один оценивает память на лица, в нём требуется опознать лица известных людей. По этому субтесту африканцы получили средний IQ в 92,5 балла.
Во-вторых, как можно видеть в строках 22 и 28, коэффициент интеллекта около 85 баллов наблюдается у 3-летних афроамериканцев. Эти результаты противоречат утверждению, часто высказываемому сторонниками средовой теории, что плохое образование и расизм полностью или в определённой степени ответственны за низкий IQ африканцев. Даже у 2-летних африканцев IQ составляет 93 балла (строка 19). Этот показатель не так низок, как в других исследованиях, потому что африканские младенцы созревают быстрее европейских до возраста двух лет (Lynn, 1998d; Rushton, 2000). Только на третьем году их IQ падает ниже европейского, и лишь на четвертом достигает величины порядка 85 баллов, как показано в строках 22 и 28.
В-третьих, характерный для афроамериканцев IQ около 85 баллов существенно выше среднего значения IQ африканцев в Африке южнее Сахары, составляющего примерно 67 баллов. Это различие можно объяснить двумя факторами. Прежде всего, афроамериканцы по многим параметрам живут в гораздо лучших условиях, чем африканцы в Африке, включая намного более высокий жизненный уровень, лучшее питание и здравоохранение. Кроме того, афроамериканцы имеют в среднем около 25 процентов европейских генов и это делает их IQ выше, чем у африканцев в Африке (Reed, 1969; Chakraborty, Kamboh, Nwanko and Ferrell, 1992).
Прочитали книгу? Предлагаем вам поделится своим впечатлением! Ваш отзыв будет полезен читателям, которые еще только собираются познакомиться с произведением.
Уважаемые читатели, слушатели и просто посетители нашей библиотеки! Просим Вас придерживаться определенных правил при комментировании литературных произведений.
Просьба отказаться от дискриминационных высказываний. Мы защищаем право наших читателей свободно выражать свою точку зрения. Вместе с тем мы не терпим агрессии. На сайте запрещено оставлять комментарий, который содержит унизительные высказывания или призывы к насилию по отношению к отдельным лицам или группам людей на основании их расы, этнического происхождения, вероисповедания, недееспособности, пола, возраста, статуса ветерана, касты или сексуальной ориентации. Просьба отказаться от оскорблений, угроз и запугиваний. Просьба отказаться от нецензурной лексики. Просьба вести себя максимально корректно как по отношению к авторам, так и по отношению к другим читателям и их комментариям.
Надеемся на Ваше понимание и благоразумие. С уважением, администратор My-Books.me.
Оставить комментарий
-
Александра15 январь 09:37
Очень интересная книга! Особенно, если любишь психологию и хочешь понимать себя и других. Обязательно послушаю до конца. Спасибо....
Кригер Борис – Гнев
-
Галина25 май 13:02
Очень уважаю Артема Шейнина, книга замечательная, очень мне близкая по духу.Перечитываю уже второй раз, столько пережитого и не...
Мне повезло вернуться - Артем Шейнин
-
Екатерина11 январь 08:05
Доброе утро. Подскажите пожалуйста как сохранять книги, ставить закладки?...
Подонок - Анастасия Леманн